Vilniaus raj. - Viešinimas pagal Teritorijų planavimo įstatymo 20 straipsnio 2 dalies 2 punktą (nuo 2024-03-01)

Informuojame apie pateiktą nagrinėti prašymą pakeisti (nustatyti) žemės sklypo (kadastro Nr. 4164/0600:854), esančio Vilniaus r. sav., Paberžės sen., Šriubiškių k., pagrindinę žemės naudojimo paskirtį ir (ar) būdą.

Prašymas   Ištrauka iš Kraštovaizdžio specialiojo plano

Esama pagrindinė žemės naudojimo paskirtis ir (ar) būdas: žemės ūkio; kiti žemės ūkio paskirties žemės sklypai.

Pageidaujama pagrindinė žemės naudojimo paskirtis ir būdas: kita; vienbučių ir dvibučių gyvenamųjų pastatų teritorijos.

Prašymas viešinamas 10 darbo dienų: nuo 2026 m. balandžio 30 d. iki 2026 m. gegužės 15 d.

Viešinimo laikotarpiu galima teikti pasiūlymus Vilniaus rajono savivaldybės administracijai raštu (Rinktinės g. 50, Vilnius) ir Lietuvos Respublikos teritorijų planavimo dokumentų rengimo ir teritorijų planavimo proceso valstybinės priežiūros informacinėje sistemoje (www.planuojustatau.lt) dėl žemės sklypo pagrindinės žemės naudojimo paskirties pakeitimo ir (ar) žemės sklypo naudojimo būdo pakeitimo ar nustatymo. 

Daugiau informacijos – tel. Nr. +370 5 240 1206, el. p. svetlana.gembickiene@vrsa.lt

2026-04-30

 

Informuojame apie pateiktą nagrinėti prašymą pakeisti (nustatyti) žemės sklypo (kadastro Nr. 4162/0300:257), esančio Vilniaus r. sav., Nemėžio sen., Katilių k., Jazminų g. 4, pagrindinę žemės naudojimo paskirtį ir (ar) būdą.

Prašymas   Ištrauka iš Kraštovaizdžio specialiojo plano

Esama pagrindinė žemės naudojimo paskirtis ir (ar) būdas: žemės ūkio; kiti žemės ūkio paskirties žemės sklypai.

Pageidaujama pagrindinė žemės naudojimo paskirtis ir būdas: kita; vienbučių ir dvibučių gyvenamųjų pastatų teritorijos.

Prašymas viešinamas 10 darbo dienų: nuo 2026 m. balandžio 29 d. iki 2026 m. gegužės 14 d.

Viešinimo laikotarpiu galima teikti pasiūlymus Vilniaus rajono savivaldybės administracijai raštu (Rinktinės g. 50, Vilnius) ir Lietuvos Respublikos teritorijų planavimo dokumentų rengimo ir teritorijų planavimo proceso valstybinės priežiūros informacinėje sistemoje (www.planuojustatau.lt) dėl žemės sklypo pagrindinės žemės naudojimo paskirties pakeitimo ir (ar) žemės sklypo naudojimo būdo pakeitimo ar nustatymo. 

Daugiau informacijos – tel. Nr. +370 5 240 1206, el. p. svetlana.gembickiene@vrsa.lt

2026-04-29

 

Informuojame apie pateiktą nagrinėti prašymą pakeisti (nustatyti) žemės sklypo (kadastro Nr. 4117/0400:5040), esančio Vilniaus r. sav., Riešės sen., Didžiųjų Gulbinų k., pagrindinę žemės naudojimo paskirtį ir (ar) būdą.

Prašymas   Ištrauka iš Kraštovaizdžio specialiojo plano

Esama pagrindinė žemės naudojimo paskirtis ir (ar) būdas: žemės ūkio; kiti žemės ūkio paskirties žemės sklypai.

Pageidaujama pagrindinė žemės naudojimo paskirtis ir būdas: kita; vienbučių ir dvibučių gyvenamųjų pastatų teritorijos.

Prašymas viešinamas 10 darbo dienų: nuo 2026 m. balandžio 29 d. iki 2026 m. gegužės 14 d.

Viešinimo laikotarpiu galima teikti pasiūlymus Vilniaus rajono savivaldybės administracijai raštu (Rinktinės g. 50, Vilnius) ir Lietuvos Respublikos teritorijų planavimo dokumentų rengimo ir teritorijų planavimo proceso valstybinės priežiūros informacinėje sistemoje (www.planuojustatau.lt) dėl žemės sklypo pagrindinės žemės naudojimo paskirties pakeitimo ir (ar) žemės sklypo naudojimo būdo pakeitimo ar nustatymo. 

Daugiau informacijos – tel. Nr. +370 5 240 1206, el. p. svetlana.gembickiene@vrsa.lt

2026-04-29

 

Informuojame apie pateiktą nagrinėti prašymą pakeisti (nustatyti) žemės sklypo (kadastro Nr. 4162/0400:1910), esančio Vilniaus r. sav., Nemėžio sen., Skaidiškių mstl., pagrindinę žemės naudojimo paskirtį ir (ar) būdą.

Prašymas   Ištrauka iš Vilniaus rajono savivaldybės teritorijos dalies („U“ žemės naudojimo funkcinės zonos Avižienių, Juodšilių, Nemėžio, Pagirių, Riešės, Rudaminos ir Zujūnų seniūnijose) bendrojo plano

Esama pagrindinė žemės naudojimo paskirtis ir (ar) būdas: žemės ūkio; kiti žemės ūkio paskirties žemės sklypai.

Pageidaujama pagrindinė žemės naudojimo paskirtis ir būdas: kita; vienbučių ir dvibučių gyvenamųjų pastatų teritorijos.

Prašymas viešinamas 10 darbo dienų: nuo 2026 m. balandžio 29 d. iki 2026 m. gegužės 14 d.

Viešinimo laikotarpiu galima teikti pasiūlymus Vilniaus rajono savivaldybės administracijai raštu (Rinktinės g. 50, Vilnius) ir Lietuvos Respublikos teritorijų planavimo dokumentų rengimo ir teritorijų planavimo proceso valstybinės priežiūros informacinėje sistemoje (www.planuojustatau.lt) dėl žemės sklypo pagrindinės žemės naudojimo paskirties pakeitimo ir (ar) žemės sklypo naudojimo būdo pakeitimo ar nustatymo. 

Daugiau informacijos – tel. Nr. +370 5 240 1206, el. p. svetlana.gembickiene@vrsa.lt

2026-04-29

 

Informuojame apie pateiktą nagrinėti prašymą pakeisti (nustatyti) žemės sklypo (kadastro Nr. 4162/0400:591), esančio Vilniaus r. sav., Nemėžio sen., Daržininkų k., pagrindinę žemės naudojimo paskirtį ir (ar) būdą.

Prašymas   Ištrauka iš Vilniaus rajono savivaldybės teritorijos dalies („U“ žemės naudojimo funkcinės zonos Avižienių, Juodšilių, Nemėžio, Pagirių, Riešės, Rudaminos ir Zujūnų seniūnijose) bendrojo plano

Esama pagrindinė žemės naudojimo paskirtis ir (ar) būdas: žemės ūkio; žemės naudojimo būdas nenustatytas.

Pageidaujama pagrindinė žemės naudojimo paskirtis ir būdas: kita; vienbučių ir dvibučių gyvenamųjų pastatų teritorijos.

Prašymas viešinamas 10 darbo dienų: nuo 2026 m. balandžio 29 d. iki 2026 m. gegužės 14 d.

Viešinimo laikotarpiu galima teikti pasiūlymus Vilniaus rajono savivaldybės administracijai raštu (Rinktinės g. 50, Vilnius) ir Lietuvos Respublikos teritorijų planavimo dokumentų rengimo ir teritorijų planavimo proceso valstybinės priežiūros informacinėje sistemoje (www.planuojustatau.lt) dėl žemės sklypo pagrindinės žemės naudojimo paskirties pakeitimo ir (ar) žemės sklypo naudojimo būdo pakeitimo ar nustatymo. 

Daugiau informacijos – tel. Nr. +370 5 240 1206, el. p. svetlana.gembickiene@vrsa.lt

2026-04-29

 

Informuojame apie pateiktą nagrinėti prašymą pakeisti (nustatyti) žemės sklypo (kadastro Nr. 4154/2900:34), esančio Vilniaus r. sav., Marijampolio sen., Terešiškių k., pagrindinę žemės naudojimo paskirtį ir (ar) būdą.

Prašymas   Ištrauka iš Kraštovaizdžio specialiojo plano

Esama pagrindinė žemės naudojimo paskirtis ir (ar) būdas: žemės ūkio; kiti žemės ūkio paskirties žemės sklypai.

Pageidaujama pagrindinė žemės naudojimo paskirtis ir būdas: kita; vienbučių ir dvibučių gyvenamųjų pastatų teritorijos.

Prašymas viešinamas 10 darbo dienų: nuo 2026 m. balandžio 29 d. iki 2026 m. gegužės 14 d.

Viešinimo laikotarpiu galima teikti pasiūlymus Vilniaus rajono savivaldybės administracijai raštu (Rinktinės g. 50, Vilnius) ir Lietuvos Respublikos teritorijų planavimo dokumentų rengimo ir teritorijų planavimo proceso valstybinės priežiūros informacinėje sistemoje (www.planuojustatau.lt) dėl žemės sklypo pagrindinės žemės naudojimo paskirties pakeitimo ir (ar) žemės sklypo naudojimo būdo pakeitimo ar nustatymo. 

Daugiau informacijos – tel. Nr. +370 5 240 1206, el. p. svetlana.gembickiene@vrsa.lt

2026-04-29

 

Informuojame apie pateiktą nagrinėti prašymą pakeisti (nustatyti) žemės sklypo (kadastro Nr. 4190/0200:392), esančio Vilniaus r. sav., Kalvelių sen., Šumsko mstl., pagrindinę žemės naudojimo paskirtį ir (ar) būdą.

Prašymas  Ištrauka iš Šumsko bendrojo plano

Esama pagrindinė žemės naudojimo paskirtis ir (ar) būdas: žemės ūkio; kiti žemės ūkio paskirties žemės sklypai.

Pageidaujama pagrindinė žemės naudojimo paskirtis ir būdas: kita; vienbučių ir dvibučių gyvenamųjų pastatų teritorijos.

Prašymas viešinamas 10 darbo dienų: nuo 2026 m. balandžio 29 d. iki 2026 m. gegužės 14 d.

Viešinimo laikotarpiu galima teikti pasiūlymus Vilniaus rajono savivaldybės administracijai raštu (Rinktinės g. 50, Vilnius) ir Lietuvos Respublikos teritorijų planavimo dokumentų rengimo ir teritorijų planavimo proceso valstybinės priežiūros informacinėje sistemoje (www.planuojustatau.lt) dėl žemės sklypo pagrindinės žemės naudojimo paskirties pakeitimo ir (ar) žemės sklypo naudojimo būdo pakeitimo ar nustatymo. 

Daugiau informacijos – tel. Nr. +370 5 240 1206, el. p. svetlana.gembickiene@vrsa.lt

2026-04-29

 

Informuojame apie pateiktą nagrinėti prašymą pakeisti (nustatyti) žemės sklypo (kadastro Nr. 4167/0100:508), esančio Vilniaus r. sav., Pagirių sen., Baltosios Vokės k., pagrindinę žemės naudojimo paskirtį ir (ar) būdą.

Prašymas Ištrauka iš Vilniaus rajono savivaldybės teritorijos dalies („U“ žemės naudojimo funkcinės zonos Avižienių, Juodšilių, Nemėžio, Pagirių, Riešės, Rudaminos ir Zujūnų seniūnijose) bendrojo plano

Esama pagrindinė žemės naudojimo paskirtis ir (ar) būdas: žemės ūkio; kiti žemės ūkio paskirties žemės sklypai.

Pageidaujama pagrindinė žemės naudojimo paskirtis ir būdas: kita; komercinės paskirties objektų teritorijos.

Prašymas viešinamas 10 darbo dienų: nuo 2026 m. balandžio 28 d. iki 2026 m. gegužės 13 d.

Viešinimo laikotarpiu galima teikti pasiūlymus Vilniaus rajono savivaldybės administracijai raštu (Rinktinės g. 50, Vilnius) ir Lietuvos Respublikos teritorijų planavimo dokumentų rengimo ir teritorijų planavimo proceso valstybinės priežiūros informacinėje sistemoje (www.planuojustatau.lt) dėl žemės sklypo pagrindinės žemės naudojimo paskirties pakeitimo ir (ar) žemės sklypo naudojimo būdo pakeitimo ar nustatymo. 

Daugiau informacijos – tel. Nr. +370 5 240 1206, el. p. svetlana.gembickiene@vrsa.lt

2026-04-28

 

Informuojame apie pateiktą nagrinėti prašymą pakeisti (nustatyti) žemės sklypo (kadastro Nr. 4184/0400:951), esančio Vilniaus r. sav., Sudervės sen., Izabelinės k., pagrindinę žemės naudojimo paskirtį ir (ar) būdą.

Prašymas   Ištrauka iš Kraštovaizdžio specialiojo plano

Esama pagrindinė žemės naudojimo paskirtis ir (ar) būdas: žemės ūkio; kiti žemės ūkio paskirties žemės sklypai.

Pageidaujama pagrindinė žemės naudojimo paskirtis ir būdas: kita; vienbučių ir dvibučių gyvenamųjų pastatų teritorijos.

Prašymas viešinamas 10 darbo dienų: nuo 2026 m. balandžio 28 d. iki 2026 m. gegužės 13 d.

Viešinimo laikotarpiu galima teikti pasiūlymus Vilniaus rajono savivaldybės administracijai raštu (Rinktinės g. 50, Vilnius) ir Lietuvos Respublikos teritorijų planavimo dokumentų rengimo ir teritorijų planavimo proceso valstybinės priežiūros informacinėje sistemoje (www.planuojustatau.lt) dėl žemės sklypo pagrindinės žemės naudojimo paskirties pakeitimo ir (ar) žemės sklypo naudojimo būdo pakeitimo ar nustatymo. 

Daugiau informacijos – tel. Nr. +370 5 240 1206, el. p. svetlana.gembickiene@vrsa.lt

2026-04-28

 

Informuojame apie pateiktą nagrinėti prašymą pakeisti (nustatyti) žemės sklypų (kadastro Nr. 4142/0300:1427 ir Nr. 4142/0300:1413), esančių Vilniaus r. sav., Šatrininkų sen., Vėliučionių k., pagrindinę žemės naudojimo paskirtį ir (ar) būdą.

Prašymas   Ištrauka iš Kraštovaizdžio specialiojo plano

Esama pagrindinė žemės naudojimo paskirtis ir (ar) būdas: žemės ūkio; kiti žemės ūkio paskirties žemės sklypai.

Pageidaujama pagrindinė žemės naudojimo paskirtis ir būdas: kita; vienbučių ir dvibučių gyvenamųjų pastatų teritorijos.

Prašymas viešinamas 10 darbo dienų: nuo 2026 m. balandžio 28 d. iki 2026 m. gegužės 13 d.

Viešinimo laikotarpiu galima teikti pasiūlymus Vilniaus rajono savivaldybės administracijai raštu (Rinktinės g. 50, Vilnius) ir Lietuvos Respublikos teritorijų planavimo dokumentų rengimo ir teritorijų planavimo proceso valstybinės priežiūros informacinėje sistemoje (www.planuojustatau.lt) dėl žemės sklypo pagrindinės žemės naudojimo paskirties pakeitimo ir (ar) žemės sklypo naudojimo būdo pakeitimo ar nustatymo. 

Daugiau informacijos – tel. Nr. +370 5 240 1206, el. p. svetlana.gembickiene@vrsa.lt

2026-04-28

 

Informuojame apie pateiktą nagrinėti prašymą pakeisti (nustatyti) žemės sklypo (kadastro Nr. 4140/0400:17), esančio Vilniaus r. sav., Kalvelių sen., Kalvelių k., M. Koperniko g. 21, pagrindinę žemės naudojimo paskirtį ir (ar) būdą.

Prašymas   Ištrauka iš Kraštovaizdžio specialiojo plano

Esama pagrindinė žemės naudojimo paskirtis ir (ar) būdas: žemės ūkio; žemės naudojimo būdas nenustatytas.

Pageidaujama pagrindinė žemės naudojimo paskirtis ir būdas: kita; vienbučių ir dvibučių gyvenamųjų pastatų teritorijos.

Prašymas viešinamas 10 darbo dienų: nuo 2026 m. balandžio 24 d. iki 2026 m. gegužės 11 d.

Viešinimo laikotarpiu galima teikti pasiūlymus Vilniaus rajono savivaldybės administracijai raštu (Rinktinės g. 50, Vilnius) ir Lietuvos Respublikos teritorijų planavimo dokumentų rengimo ir teritorijų planavimo proceso valstybinės priežiūros informacinėje sistemoje (www.planuojustatau.lt) dėl žemės sklypo pagrindinės žemės naudojimo paskirties pakeitimo ir (ar) žemės sklypo naudojimo būdo pakeitimo ar nustatymo. 

Daugiau informacijos – tel. Nr. +370 5 240 1206, el. p. svetlana.gembickiene@vrsa.lt

2026-04-24

 

Informuojame apie pateiktą nagrinėti prašymą pakeisti (nustatyti) žemės sklypo (kadastro Nr. 4167/0300:1289), esančio Vilniaus r. sav., Pagirių sen., Tarnėnų k., pagrindinę žemės naudojimo paskirtį ir (ar) būdą.

Prašymas   Ištrauka iš Kraštovaizdžio specialiojo plano

Esama pagrindinė žemės naudojimo paskirtis ir (ar) būdas: žemės ūkio; kiti žemės ūkio paskirties žemės sklypai.

Pageidaujama pagrindinė žemės naudojimo paskirtis ir būdas: kita; rekreacinės teritorijos.

Prašymas viešinamas 10 darbo dienų: nuo 2026 m. balandžio 24 d. iki 2026 m. gegužės 11 d.

Viešinimo laikotarpiu galima teikti pasiūlymus Vilniaus rajono savivaldybės administracijai raštu (Rinktinės g. 50, Vilnius) ir Lietuvos Respublikos teritorijų planavimo dokumentų rengimo ir teritorijų planavimo proceso valstybinės priežiūros informacinėje sistemoje (www.planuojustatau.lt) dėl žemės sklypo pagrindinės žemės naudojimo paskirties pakeitimo ir (ar) žemės sklypo naudojimo būdo pakeitimo ar nustatymo. 

Daugiau informacijos – tel. Nr. +370 5 240 1206, el. p. svetlana.gembickiene@vrsa.lt

2026-04-24

 

Informuojame apie pateiktą nagrinėti prašymą pakeisti (nustatyti) žemės sklypo (kadastro Nr. 4152/0800:953), esančio Vilniaus r. sav., Mickūnų sen., Naujakiemio k., pagrindinę žemės naudojimo paskirtį ir (ar) būdą.

Prašymas   Ištrauka iš Kraštovaizdžio specialiojo plano

Esama pagrindinė žemės naudojimo paskirtis ir (ar) būdas: žemės ūkio; kiti žemės ūkio paskirties žemės sklypai.

Pageidaujama pagrindinė žemės naudojimo paskirtis ir būdas: kita; vienbučių ir dvibučių gyvenamųjų pastatų teritorijos.

Prašymas viešinamas 10 darbo dienų: nuo 2026 m. balandžio 24 d. iki 2026 m. gegužės 11 d.

Viešinimo laikotarpiu galima teikti pasiūlymus Vilniaus rajono savivaldybės administracijai raštu (Rinktinės g. 50, Vilnius) ir Lietuvos Respublikos teritorijų planavimo dokumentų rengimo ir teritorijų planavimo proceso valstybinės priežiūros informacinėje sistemoje (www.planuojustatau.lt) dėl žemės sklypo pagrindinės žemės naudojimo paskirties pakeitimo ir (ar) žemės sklypo naudojimo būdo pakeitimo ar nustatymo. 

Daugiau informacijos – tel. Nr. +370 5 240 1206, el. p. svetlana.gembickiene@vrsa.lt

2026-04-24

 

Informuojame apie pateiktą nagrinėti prašymą pakeisti (nustatyti) žemės sklypo (kadastro Nr. 4152/0800:952), esančio Vilniaus r. sav., Mickūnų sen., Naujakiemio k., pagrindinę žemės naudojimo paskirtį ir (ar) būdą.

Prašymas   Ištrauka iš Kraštovaizdžio specialiojo plano

Esama pagrindinė žemės naudojimo paskirtis ir (ar) būdas: žemės ūkio; kiti žemės ūkio paskirties žemės sklypai.

Pageidaujama pagrindinė žemės naudojimo paskirtis ir būdas: kita; vienbučių ir dvibučių gyvenamųjų pastatų teritorijos.

Prašymas viešinamas 10 darbo dienų: nuo 2026 m. balandžio 24 d. iki 2026 m. gegužės 11 d.

Viešinimo laikotarpiu galima teikti pasiūlymus Vilniaus rajono savivaldybės administracijai raštu (Rinktinės g. 50, Vilnius) ir Lietuvos Respublikos teritorijų planavimo dokumentų rengimo ir teritorijų planavimo proceso valstybinės priežiūros informacinėje sistemoje (www.planuojustatau.lt) dėl žemės sklypo pagrindinės žemės naudojimo paskirties pakeitimo ir (ar) žemės sklypo naudojimo būdo pakeitimo ar nustatymo. 

Daugiau informacijos – tel. Nr. +370 5 240 1206, el. p. svetlana.gembickiene@vrsa.lt

2026-04-24

 

Priimtas sprendimas dėl  kitos paskirties žemės sklypo (kadastro Nr. 4147/0100:3), esančio Vilniaus r. sav., Maišiagalos sen., Maišiagalos mstl., Algirdo g. 9, žemės  naudojimo būdo nustatymo 

Sprendimas

2026-04-17

 

Informuojame apie pateiktą nagrinėti prašymą pakeisti (nustatyti) žemės sklypo (kadastro Nr. 4167/0300:1181), esančio Vilniaus r. sav., Pagirių sen., Skurbutėnų k., pagrindinę žemės naudojimo paskirtį ir (ar) būdą.

Prašymas   Ištrauka iš Kraštovaizdžio specialiojo plano

Esama pagrindinė žemės naudojimo paskirtis ir (ar) būdas: žemės ūkio; kiti žemės ūkio paskirties žemės sklypai.

Pageidaujama pagrindinė žemės naudojimo paskirtis ir būdas: kita; vienbučių ir dvibučių gyvenamųjų pastatų teritorijos.

Prašymas viešinamas 10 darbo dienų: nuo 2026 m. balandžio 20 d. iki 2026 m. gegužės 5 d.

Viešinimo laikotarpiu galima teikti pasiūlymus Vilniaus rajono savivaldybės administracijai raštu (Rinktinės g. 50, Vilnius) ir Lietuvos Respublikos teritorijų planavimo dokumentų rengimo ir teritorijų planavimo proceso valstybinės priežiūros informacinėje sistemoje (www.planuojustatau.lt) dėl žemės sklypo pagrindinės žemės naudojimo paskirties pakeitimo ir (ar) žemės sklypo naudojimo būdo pakeitimo ar nustatymo. 

Daugiau informacijos – tel. Nr. +370 5 240 1206, el. p. svetlana.gembickiene@vrsa.lt

2026-04-20

 

Informuojame apie pateiktą nagrinėti prašymą pakeisti (nustatyti) žemės sklypo (kadastro Nr. 4117/0200:5222), esančio Vilniaus r. sav., Riešės sen., Paežerių k., Molėtų pl. 199E, pagrindinę žemės naudojimo paskirtį ir (ar) būdą.

Prašymas   Ištrauka iš Kraštovaizdžio specialiojo plano

Esama pagrindinė žemės naudojimo paskirtis ir (ar) būdas: žemės ūkio; kiti žemės ūkio paskirties žemės sklypai.

Pageidaujama pagrindinė žemės naudojimo paskirtis ir būdas: kita; komercinės paskirties objektų teritorijos.

Prašymas viešinamas 10 darbo dienų: nuo 2026 m. balandžio 20 d. iki 2026 m. gegužės 5 d.

Viešinimo laikotarpiu galima teikti pasiūlymus Vilniaus rajono savivaldybės administracijai raštu (Rinktinės g. 50, Vilnius) ir Lietuvos Respublikos teritorijų planavimo dokumentų rengimo ir teritorijų planavimo proceso valstybinės priežiūros informacinėje sistemoje (www.planuojustatau.lt) dėl žemės sklypo pagrindinės žemės naudojimo paskirties pakeitimo ir (ar) žemės sklypo naudojimo būdo pakeitimo ar nustatymo. 

Daugiau informacijos – tel. Nr. +370 5 240 1206, el. p. svetlana.gembickiene@vrsa.lt

2026-04-20

 

Informuojame apie pateiktą nagrinėti prašymą pakeisti (nustatyti) žemės sklypo (kadastro Nr. 4170/1100:269), esančio Vilniaus r. sav., Riešės sen., Ažulaukės k., pagrindinę žemės naudojimo paskirtį ir (ar) būdą.

Prašymas   Ištrauka iš Kraštovaizdžio specialiojo plano

Esama pagrindinė žemės naudojimo paskirtis ir (ar) būdas: žemės ūkio; kiti žemės ūkio paskirties žemės sklypai.

Pageidaujama pagrindinė žemės naudojimo paskirtis ir būdas: kita; vienbučių ir dvibučių gyvenamųjų pastatų teritorijos.

Prašymas viešinamas 10 darbo dienų: nuo 2026 m. balandžio 17 d. iki 2026 m. gegužės 4 d.

Viešinimo laikotarpiu galima teikti pasiūlymus Vilniaus rajono savivaldybės administracijai raštu (Rinktinės g. 50, Vilnius) ir Lietuvos Respublikos teritorijų planavimo dokumentų rengimo ir teritorijų planavimo proceso valstybinės priežiūros informacinėje sistemoje (www.planuojustatau.lt) dėl žemės sklypo pagrindinės žemės naudojimo paskirties pakeitimo ir (ar) žemės sklypo naudojimo būdo pakeitimo ar nustatymo. 

Daugiau informacijos – tel. Nr. +370 5 240 1206, el. p. svetlana.gembickiene@vrsa.lt

2026-04-17

 

Priimtas sprendimas dėl  žemės ūkio paskirties – kiti žemės ūkio paskirties žemės sklypai – žemės sklypo (kadastro Nr. 4180/0100:377), esančio Vilniaus r. sav., Rukainių sen., Pajuodžių k., pagrindinės žemės naudojimo paskirties ir žemės naudojimo būdo keitimo.

Sprendimas

2026-04-09

Priimtas sprendimas dėl  žemės ūkio paskirties – kiti žemės ūkio paskirties žemės sklypai – žemės sklypo (kadastro Nr. 4103/0300:8303), esančio Vilniaus r. sav., Avižienių sen., Bukiškio k., pagrindinės žemės naudojimo paskirties ir žemės naudojimo būdo keitimo.

Sprendimas

2026-04-09

Priimtas sprendimas dėl  kitos paskirties – visuomeninės paskirties teritorijos – žemės sklypo (kadastro Nr. 4167/0100:1292), esančio Vilniaus r. sav., Pagirių sen., Pagirių mstl., Alyvų g. 2, žemės naudojimo būdo keitimo.

Sprendimas

2026-04-02

Priimtas sprendimas dėl  žemės ūkio paskirties – kiti žemės ūkio paskirties žemės sklypai – žemės sklypo (kadastro Nr. 4117/0700:5059), esančio Vilniaus r. sav., Riešės sen., Didžiosios Riešės mstl., pagrindinės žemės naudojimo paskirties ir žemės naudojimo būdo keitimo.

Sprendimas

2026-04-02

Priimtas sprendimas dėl  žemės ūkio paskirties žemės sklypo (kadastro Nr. 4187/0100:157), esančio Vilniaus r. sav., Sužionių sen., Sužionių k., Vilniaus g. 14, pagrindinės žemės naudojimo paskirties ir žemės naudojimo būdo keitimo.

Sprendimas

2026-04-02

Priimtas sprendimas dėl  kitos paskirties – pramonės ir sandėliavimo objektų teritorijos – žemės sklypo (kadastro Nr. 4110/0700:840), esančio Vilniaus r. sav., Zujūnų sen., Geležių k., Lauknos g. 4, žemės naudojimo būdo keitimo.

Sprendimas

2026-04-02

Priimtas sprendimas dėl  kitos paskirties – susisiekimo ir inžinerinių komunikacijų aptarnavimo objektų teritorijos – žemės sklypo (kadastro Nr. 4110/0800:4539), esančio Vilniaus r. sav., Zujūnų sen., Buivydiškių k., Dvaro g. 1A, žemės naudojimo būdo keitimo.

Sprendimas

2026-04-02

 

Informuojame apie pateiktą nagrinėti prašymą pakeisti (nustatyti) žemės sklypo (kadastro Nr. 4132/0400:37), esančio Vilniaus r. sav., Maišiagalos sen., Melkio k., Antano Giedraičio g. 145, pagrindinę žemės naudojimo paskirtį ir (ar) būdą.

Prašymas   Ištrauka iš Kraštovaizdžio specialiojo plano

Esama pagrindinė žemės naudojimo paskirtis ir (ar) būdas: žemės ūkio; kiti žemės ūkio paskirties žemės sklypai.

Pageidaujama pagrindinė žemės naudojimo paskirtis ir būdas: kita; rekreacinės teritorijos.

Prašymas viešinamas 10 darbo dienų: nuo 2026 m. balandžio 14 d. iki 2026 m. balandžio 28 d.

Viešinimo laikotarpiu galima teikti pasiūlymus Vilniaus rajono savivaldybės administracijai raštu (Rinktinės g. 50, Vilnius) ir Lietuvos Respublikos teritorijų planavimo dokumentų rengimo ir teritorijų planavimo proceso valstybinės priežiūros informacinėje sistemoje (www.planuojustatau.lt) dėl žemės sklypo pagrindinės žemės naudojimo paskirties pakeitimo ir (ar) žemės sklypo naudojimo būdo pakeitimo ar nustatymo. 

Daugiau informacijos – tel. Nr. +370 5 240 1206, el. p. svetlana.gembickiene@vrsa.lt

2026-04-14

 

Informuojame apie pateiktą nagrinėti prašymą pakeisti (nustatyti) žemės sklypo (kadastro Nr. 4142/0200:600), esančio Vilniaus r. sav., Šatrininkų sen., Karklėnų k., pagrindinę žemės naudojimo paskirtį ir (ar) būdą.

Prašymas   Ištrauka iš Kraštovaizdžio specialiojo plano

Esama pagrindinė žemės naudojimo paskirtis ir (ar) būdas: žemės ūkio; kiti žemės ūkio paskirties žemės sklypai.

Pageidaujama pagrindinė žemės naudojimo paskirtis ir būdas: kita; vienbučių ir dvibučių gyvenamųjų pastatų teritorijos.

Prašymas viešinamas 10 darbo dienų: nuo 2026 m. balandžio 14 d. iki 2026 m. balandžio 28 d.

Viešinimo laikotarpiu galima teikti pasiūlymus Vilniaus rajono savivaldybės administracijai raštu (Rinktinės g. 50, Vilnius) ir Lietuvos Respublikos teritorijų planavimo dokumentų rengimo ir teritorijų planavimo proceso valstybinės priežiūros informacinėje sistemoje (www.planuojustatau.lt) dėl žemės sklypo pagrindinės žemės naudojimo paskirties pakeitimo ir (ar) žemės sklypo naudojimo būdo pakeitimo ar nustatymo. 

Daugiau informacijos – tel. Nr. +370 5 240 1206, el. p. svetlana.gembickiene@vrsa.lt

2026-04-14

 

Informuojame apie pateiktą nagrinėti prašymą pakeisti (nustatyti) žemės sklypo (kadastro Nr. 4122/0100:344), esančio Vilniaus r. sav., Pagirių sen., Užubrasčio k., pagrindinę žemės naudojimo paskirtį ir (ar) būdą.

Prašymas   Ištrauka iš Kraštovaizdžio specialiojo plano

Esama pagrindinė žemės naudojimo paskirtis ir (ar) būdas: žemės ūkio; kiti žemės ūkio paskirties žemės sklypai.

Pageidaujama pagrindinė žemės naudojimo paskirtis ir būdas: kita; vienbučių ir dvibučių gyvenamųjų pastatų teritorijos.

Prašymas viešinamas 10 darbo dienų: nuo 2026 m. balandžio 14 d. iki 2026 m. balandžio 28 d.

Viešinimo laikotarpiu galima teikti pasiūlymus Vilniaus rajono savivaldybės administracijai raštu (Rinktinės g. 50, Vilnius) ir Lietuvos Respublikos teritorijų planavimo dokumentų rengimo ir teritorijų planavimo proceso valstybinės priežiūros informacinėje sistemoje (www.planuojustatau.lt) dėl žemės sklypo pagrindinės žemės naudojimo paskirties pakeitimo ir (ar) žemės sklypo naudojimo būdo pakeitimo ar nustatymo. 

Daugiau informacijos – tel. Nr. +370 5 240 1206, el. p. svetlana.gembickiene@vrsa.lt

2026-04-14

 

Informuojame apie pateiktą nagrinėti prašymą pakeisti (nustatyti) žemės sklypo (kadastro Nr. 4117/0200:5211), esančio Vilniaus r. sav., Riešės sen., Paraudondvarių k., pagrindinę žemės naudojimo paskirtį ir (ar) būdą.

Prašymas   Ištrauka iš Kraštovaizdžio specialiojo plano

Esama pagrindinė žemės naudojimo paskirtis ir (ar) būdas: žemės ūkio; kiti žemės ūkio paskirties žemės sklypai.

Pageidaujama pagrindinė žemės naudojimo paskirtis ir būdas: kita; vienbučių ir dvibučių gyvenamųjų pastatų teritorijos.

Prašymas viešinamas 10 darbo dienų: nuo 2026 m. balandžio 10 d. iki 2026 m. balandžio 24 d.

Viešinimo laikotarpiu galima teikti pasiūlymus Vilniaus rajono savivaldybės administracijai raštu (Rinktinės g. 50, Vilnius) ir Lietuvos Respublikos teritorijų planavimo dokumentų rengimo ir teritorijų planavimo proceso valstybinės priežiūros informacinėje sistemoje (www.planuojustatau.lt) dėl žemės sklypo pagrindinės žemės naudojimo paskirties pakeitimo ir (ar) žemės sklypo naudojimo būdo pakeitimo ar nustatymo. 

Daugiau informacijos – tel. Nr. +370 5 240 1206, el. p. svetlana.gembickiene@vrsa.lt

2026-04-10

 

Informuojame apie pateiktą nagrinėti prašymą pakeisti (nustatyti) žemės sklypo (kadastro Nr. 4117/0200:2199), esančio Vilniaus r. sav., Riešės sen., Paraudondvarių k., pagrindinę žemės naudojimo paskirtį ir (ar) būdą.

Prašymas   Ištrauka iš Kraštovaizdžio specialiojo plano

Esama pagrindinė žemės naudojimo paskirtis ir (ar) būdas: žemės ūkio; kiti žemės ūkio paskirties žemės sklypai.

Pageidaujama pagrindinė žemės naudojimo paskirtis ir būdas: kita; vienbučių ir dvibučių gyvenamųjų pastatų teritorijos.

Prašymas viešinamas 10 darbo dienų: nuo 2026 m. balandžio 10 d. iki 2026 m. balandžio 24 d.

Viešinimo laikotarpiu galima teikti pasiūlymus Vilniaus rajono savivaldybės administracijai raštu (Rinktinės g. 50, Vilnius) ir Lietuvos Respublikos teritorijų planavimo dokumentų rengimo ir teritorijų planavimo proceso valstybinės priežiūros informacinėje sistemoje (www.planuojustatau.lt) dėl žemės sklypo pagrindinės žemės naudojimo paskirties pakeitimo ir (ar) žemės sklypo naudojimo būdo pakeitimo ar nustatymo. 

Daugiau informacijos – tel. Nr. +370 5 240 1206, el. p. svetlana.gembickiene@vrsa.lt

2026-04-10

 

Informuojame apie pateiktą nagrinėti prašymą pakeisti (nustatyti) žemės sklypo (kadastro Nr. 4103/0200:2592), esančio Vilniaus r. sav., Avižienių sen., Avižienių mstl., pagrindinę žemės naudojimo paskirtį ir (ar) būdą.

Prašymas   Ištrauka iš Vilniaus rajono savivaldybės teritorijos dalies („U“ žemės naudojimo funkcinės zonos Avižienių, Juodšilių, Nemėžio, Pagirių, Riešės, Rudaminos ir Zujūnų seniūnijose) bendrojo plano

Esama pagrindinė žemės naudojimo paskirtis ir (ar) būdas: žemės ūkio; kiti žemės ūkio paskirties žemės sklypai.

Pageidaujama pagrindinė žemės naudojimo paskirtis ir būdas: kita; daugiabučių gyvenamųjų pastatų ir bendrabučių teritorijos.

Prašymas viešinamas 10 darbo dienų: nuo 2026 m. balandžio 10 d. iki 2026 m. balandžio 24 d.

Viešinimo laikotarpiu galima teikti pasiūlymus Vilniaus rajono savivaldybės administracijai raštu (Rinktinės g. 50, Vilnius) ir Lietuvos Respublikos teritorijų planavimo dokumentų rengimo ir teritorijų planavimo proceso valstybinės priežiūros informacinėje sistemoje (www.planuojustatau.lt) dėl žemės sklypo pagrindinės žemės naudojimo paskirties pakeitimo ir (ar) žemės sklypo naudojimo būdo pakeitimo ar nustatymo. 

Daugiau informacijos – tel. Nr. +370 5 240 1206, el. p. svetlana.gembickiene@vrsa.lt

2026-04-10

 

Informuojame apie pateiktą nagrinėti prašymą pakeisti (nustatyti) žemės sklypo (kadastro Nr. 4167/0500:396), esančio Vilniaus r. sav., Pagirių sen., Papiškių k., pagrindinę žemės naudojimo paskirtį ir (ar) būdą.

Prašymas   Ištrauka iš Kraštovaizdžio specialiojo plano

Esama pagrindinė žemės naudojimo paskirtis ir (ar) būdas: žemės ūkio; kiti žemės ūkio paskirties žemės sklypai.

Pageidaujama pagrindinė žemės naudojimo paskirtis ir būdas: kita; vienbučių ir dvibučių gyvenamųjų pastatų teritorijos.

Prašymas viešinamas 10 darbo dienų: nuo 2026 m. balandžio 10 d. iki 2026 m. balandžio 24 d.

Viešinimo laikotarpiu galima teikti pasiūlymus Vilniaus rajono savivaldybės administracijai raštu (Rinktinės g. 50, Vilnius) ir Lietuvos Respublikos teritorijų planavimo dokumentų rengimo ir teritorijų planavimo proceso valstybinės priežiūros informacinėje sistemoje (www.planuojustatau.lt) dėl žemės sklypo pagrindinės žemės naudojimo paskirties pakeitimo ir (ar) žemės sklypo naudojimo būdo pakeitimo ar nustatymo. 

Daugiau informacijos – tel. Nr. +370 5 240 1206, el. p. svetlana.gembickiene@vrsa.lt

2026-04-10

 

Informuojame apie pateiktą nagrinėti prašymą pakeisti (nustatyti) žemės sklypo (kadastro Nr. 4117/0700:5144), esančio Vilniaus r. sav., Didžioji Riešė, Riešės g. 21A, pagrindinę žemės naudojimo paskirtį ir (ar) būdą.

Prašymas   Ištrauka iš Vilniaus rajono savivaldybės teritorijos dalies („U“ žemės naudojimo funkcinės zonos Avižienių, Juodšilių, Nemėžio, Pagirių, Riešės, Rudaminos ir Zujūnų seniūnijose) bendrojo plano

Esama pagrindinė žemės naudojimo paskirtis ir (ar) būdas: kita; vienbučių ir dvibučių gyvenamųjų pastatų teritorijos.

Pageidaujama pagrindinė žemės naudojimo paskirtis ir būdas: kita; komercinės paskirties objektų teritorijos.

Prašymas viešinamas 10 darbo dienų: nuo 2026 m. balandžio 9 d. iki 2026 m. balandžio 23 d.

Viešinimo laikotarpiu galima teikti pasiūlymus Vilniaus rajono savivaldybės administracijai raštu (Rinktinės g. 50, Vilnius) ir Lietuvos Respublikos teritorijų planavimo dokumentų rengimo ir teritorijų planavimo proceso valstybinės priežiūros informacinėje sistemoje (www.planuojustatau.lt) dėl žemės sklypo pagrindinės žemės naudojimo paskirties pakeitimo ir (ar) žemės sklypo naudojimo būdo pakeitimo ar nustatymo. 

Daugiau informacijos – tel. Nr. +370 5 240 1206, el. p. svetlana.gembickiene@vrsa.lt

2026-04-09

 

Informuojame apie pateiktą nagrinėti prašymą pakeisti (nustatyti) žemės sklypo (kadastro Nr. 4154/2000:684), esančio Vilniaus r. sav., Marijampolio sen., Marijampolio k., Dvaro g. 4, pagrindinę žemės naudojimo paskirtį ir (ar) būdą.

Prašymas   Ištrauka iš Kraštovaizdžio specialiojo plano

Esama pagrindinė žemės naudojimo paskirtis ir (ar) būdas: kita; vienbučių ir dvibučių gyvenamųjų pastatų teritorijos.

Pageidaujama pagrindinė žemės naudojimo paskirtis ir būdas: kita; daugiabučių gyvenamųjų pastatų ir bendrabučių teritorijos.

Prašymas viešinamas 10 darbo dienų: nuo 2026 m. balandžio 7 d. iki 2026 m. balandžio 21 d.

Viešinimo laikotarpiu galima teikti pasiūlymus Vilniaus rajono savivaldybės administracijai raštu (Rinktinės g. 50, Vilnius) ir Lietuvos Respublikos teritorijų planavimo dokumentų rengimo ir teritorijų planavimo proceso valstybinės priežiūros informacinėje sistemoje (www.planuojustatau.lt) dėl žemės sklypo pagrindinės žemės naudojimo paskirties pakeitimo ir (ar) žemės sklypo naudojimo būdo pakeitimo ar nustatymo. 

Daugiau informacijos – tel. Nr. +370 5 240 1206, el. p. svetlana.gembickiene@vrsa.lt

2026-04-03

 

Informuojame apie pateiktą nagrinėti prašymą pakeisti (nustatyti) žemės sklypo (kadastro Nr. 4152/0400:732), esančio Vilniaus r. sav., Mickūnų sen., Kairėnų k., pagrindinę žemės naudojimo paskirtį ir (ar) būdą.

Prašymas   Ištrauka iš Kraštovaizdžio specialiojo plano

Esama pagrindinė žemės naudojimo paskirtis ir (ar) būdas: žemės ūkio; kiti žemės ūkio paskirties žemės sklypai.

Pageidaujama pagrindinė žemės naudojimo paskirtis ir būdas: kita; vienbučių ir dvibučių gyvenamųjų pastatų teritorijos.

Prašymas viešinamas 10 darbo dienų: nuo 2026 m. balandžio 7 d. iki 2026 m. balandžio 21 d.

Viešinimo laikotarpiu galima teikti pasiūlymus Vilniaus rajono savivaldybės administracijai raštu (Rinktinės g. 50, Vilnius) ir Lietuvos Respublikos teritorijų planavimo dokumentų rengimo ir teritorijų planavimo proceso valstybinės priežiūros informacinėje sistemoje (www.planuojustatau.lt) dėl žemės sklypo pagrindinės žemės naudojimo paskirties pakeitimo ir (ar) žemės sklypo naudojimo būdo pakeitimo ar nustatymo. 

Daugiau informacijos – tel. Nr. +370 5 240 1206, el. p. svetlana.gembickiene@vrsa.lt

2026-04-03

 

Informuojame apie pateiktą nagrinėti prašymą pakeisti (nustatyti) žemės sklypo (kadastro Nr. 4184/0700:133, buvęs kadastro Nr. 4184/0100:9984), esančio Vilniaus r. sav., Sudervės sen., Geležių k., pagrindinę žemės naudojimo paskirtį ir (ar) būdą.

Prašymas   Ištrauka iš Kraštovaizdžio specialiojo plano

Esama pagrindinė žemės naudojimo paskirtis ir (ar) būdas: žemės ūkio; kiti žemės ūkio paskirties žemės sklypai.

Pageidaujama pagrindinė žemės naudojimo paskirtis ir būdas: kita; vienbučių ir dvibučių gyvenamųjų pastatų teritorijos.

Prašymas viešinamas 10 darbo dienų: nuo 2026 m. balandžio 7 d. iki 2026 m. balandžio 21 d.

Viešinimo laikotarpiu galima teikti pasiūlymus Vilniaus rajono savivaldybės administracijai raštu (Rinktinės g. 50, Vilnius) ir Lietuvos Respublikos teritorijų planavimo dokumentų rengimo ir teritorijų planavimo proceso valstybinės priežiūros informacinėje sistemoje (www.planuojustatau.lt) dėl žemės sklypo pagrindinės žemės naudojimo paskirties pakeitimo ir (ar) žemės sklypo naudojimo būdo pakeitimo ar nustatymo. 

Daugiau informacijos – tel. Nr. +370 5 240 1206, el. p. svetlana.gembickiene@vrsa.lt

2026-04-03

 

Informuojame apie pateiktą nagrinėti prašymą pakeisti (nustatyti) žemės sklypo (kadastro Nr. 4177/0100:42), esančio Vilniaus r. sav., Juodšilių sen., Juodšilių mstl., pagrindinę žemės naudojimo paskirtį ir (ar) būdą.

Prašymas   Ištrauka iš Vilniaus rajono savivaldybės teritorijos dalies („U“ žemės naudojimo funkcinės zonos Avižienių, Juodšilių, Nemėžio, Pagirių, Riešės, Rudaminos ir Zujūnų seniūnijose) bendrojo plano

Esama pagrindinė žemės naudojimo paskirtis ir (ar) būdas: žemės ūkio; kiti žemės ūkio paskirties žemės sklypai.

Pageidaujama pagrindinė žemės naudojimo paskirtis ir būdas: kita; vienbučių ir dvibučių gyvenamųjų pastatų teritorijos.

Prašymas viešinamas 10 darbo dienų: nuo 2026 m. balandžio 7 d. iki 2026 m. balandžio 21 d.

Viešinimo laikotarpiu galima teikti pasiūlymus Vilniaus rajono savivaldybės administracijai raštu (Rinktinės g. 50, Vilnius) ir Lietuvos Respublikos teritorijų planavimo dokumentų rengimo ir teritorijų planavimo proceso valstybinės priežiūros informacinėje sistemoje (www.planuojustatau.lt) dėl žemės sklypo pagrindinės žemės naudojimo paskirties pakeitimo ir (ar) žemės sklypo naudojimo būdo pakeitimo ar nustatymo. 

Daugiau informacijos – tel. Nr. +370 5 240 1206, el. p. svetlana.gembickiene@vrsa.lt

2026-04-07

 

Informuojame apie pateiktą nagrinėti prašymą pakeisti (nustatyti) žemės sklypo (kadastro Nr. 4170/1100:270), esančio Vilniaus r. sav., Riešės sen., Ažulaukės k., pagrindinę žemės naudojimo paskirtį ir (ar) būdą.

Prašymas   Ištrauka iš Kraštovaizdžio specialiojo plano

Esama pagrindinė žemės naudojimo paskirtis ir (ar) būdas: žemės ūkio; kiti žemės ūkio paskirties žemės sklypai.

Pageidaujama pagrindinė žemės naudojimo paskirtis ir būdas: kita; vienbučių ir dvibučių gyvenamųjų pastatų teritorijos.

Prašymas viešinamas 10 darbo dienų: nuo 2026 m. balandžio 3 d. iki 2026 m. balandžio 20 d.

Viešinimo laikotarpiu galima teikti pasiūlymus Vilniaus rajono savivaldybės administracijai raštu (Rinktinės g. 50, Vilnius) ir Lietuvos Respublikos teritorijų planavimo dokumentų rengimo ir teritorijų planavimo proceso valstybinės priežiūros informacinėje sistemoje (www.planuojustatau.lt) dėl žemės sklypo pagrindinės žemės naudojimo paskirties pakeitimo ir (ar) žemės sklypo naudojimo būdo pakeitimo ar nustatymo. 

Daugiau informacijos – tel. Nr. +370 5 240 1206, el. p. svetlana.gembickiene@vrsa.lt

2026-04-03

 

Informuojame apie pateiktą nagrinėti prašymą pakeisti (nustatyti) žemės sklypo (kadastro Nr. 4170/1000:559), esančio Vilniaus r. sav., Riešės sen., Kunos k., pagrindinę žemės naudojimo paskirtį ir (ar) būdą.

Prašymas   Ištrauka iš Kraštovaizdžio specialiojo plano

Esama pagrindinė žemės naudojimo paskirtis ir (ar) būdas: žemės ūkio; kiti žemės ūkio paskirties žemės sklypai.

Pageidaujama pagrindinė žemės naudojimo paskirtis ir būdas: kita; vienbučių ir dvibučių gyvenamųjų pastatų teritorijos.

Prašymas viešinamas 10 darbo dienų: nuo 2026 m. balandžio 3 d. iki 2026 m. balandžio 20 d.

Viešinimo laikotarpiu galima teikti pasiūlymus Vilniaus rajono savivaldybės administracijai raštu (Rinktinės g. 50, Vilnius) ir Lietuvos Respublikos teritorijų planavimo dokumentų rengimo ir teritorijų planavimo proceso valstybinės priežiūros informacinėje sistemoje (www.planuojustatau.lt) dėl žemės sklypo pagrindinės žemės naudojimo paskirties pakeitimo ir (ar) žemės sklypo naudojimo būdo pakeitimo ar nustatymo. 

Daugiau informacijos – tel. Nr. +370 5 240 1206, el. p. svetlana.gembickiene@vrsa.lt

2026-04-03

 

Informuojame apie pateiktą nagrinėti prašymą pakeisti (nustatyti) žemės sklypo (kadastro Nr. 4103/0100:1236), esančio Vilniaus r. sav., Avižienių sen., Pikutiškių k., pagrindinę žemės naudojimo paskirtį ir (ar) būdą.

Prašymas   Ištrauka iš Vilniaus rajono savivaldybės teritorijos dalies („U“ žemės naudojimo funkcinės zonos Avižienių, Juodšilių, Nemėžio, Pagirių, Riešės, Rudaminos ir Zujūnų seniūnijose) bendrojo plano

Esama pagrindinė žemės naudojimo paskirtis ir (ar) būdas: žemės ūkio; žemės naudojimo būdas nenustatytas.

Pageidaujama pagrindinė žemės naudojimo paskirtis ir būdas: kita; vienbučių ir dvibučių gyvenamųjų pastatų teritorijos.

Prašymas viešinamas 10 darbo dienų: nuo 2026 m. balandžio 3 d. iki 2026 m. balandžio 20 d.

Viešinimo laikotarpiu galima teikti pasiūlymus Vilniaus rajono savivaldybės administracijai raštu (Rinktinės g. 50, Vilnius) ir Lietuvos Respublikos teritorijų planavimo dokumentų rengimo ir teritorijų planavimo proceso valstybinės priežiūros informacinėje sistemoje (www.planuojustatau.lt) dėl žemės sklypo pagrindinės žemės naudojimo paskirties pakeitimo ir (ar) žemės sklypo naudojimo būdo pakeitimo ar nustatymo. 

Daugiau informacijos – tel. Nr. +370 5 240 1206, el. p. svetlana.gembickiene@vrsa.lt

2026-04-03

 

Informuojame apie pateiktą nagrinėti prašymą pakeisti (nustatyti) žemės sklypo (kadastro Nr. 4184/0400:940), esančio Vilniaus r. sav., Avižienių sen., Švedų k., pagrindinę žemės naudojimo paskirtį ir (ar) būdą.

Prašymas   Ištrauka iš Vilniaus rajono savivaldybės teritorijos dalies („U“ žemės naudojimo funkcinės zonos Avižienių, Juodšilių, Nemėžio, Pagirių, Riešės, Rudaminos ir Zujūnų seniūnijose) bendrojo plano

Esama pagrindinė žemės naudojimo paskirtis ir (ar) būdas: žemės ūkio; kiti žemės ūkio paskirties žemės sklypai.

Pageidaujama pagrindinė žemės naudojimo paskirtis ir būdas: kita; vienbučių ir dvibučių gyvenamųjų pastatų teritorijos.

Prašymas viešinamas 10 darbo dienų: nuo 2026 m. kovo 30 d. iki 2026 m. balandžio 13 d.

Viešinimo laikotarpiu galima teikti pasiūlymus Vilniaus rajono savivaldybės administracijai raštu (Rinktinės g. 50, Vilnius) ir Lietuvos Respublikos teritorijų planavimo dokumentų rengimo ir teritorijų planavimo proceso valstybinės priežiūros informacinėje sistemoje (www.planuojustatau.lt) dėl žemės sklypo pagrindinės žemės naudojimo paskirties pakeitimo ir (ar) žemės sklypo naudojimo būdo pakeitimo ar nustatymo. 

Daugiau informacijos – tel. Nr. +370 5 240 1206, el. p. svetlana.gembickiene@vrsa.lt

2026-03-30

 

Informuojame apie pateiktą nagrinėti prašymą nustatyti žemės sklypo (kadastro Nr. 4147/0100:0003), esančio Vilniaus r. sav., Maišiagalos sen., Maišiagalos mstl., Algirdo g. 9, žemės sklypo naudojimo  būdą.

Prašymas   Ištrauka iš Kraštovaizdžio specialiojo plano

Esama pagrindinė žemės naudojimo paskirtis: kita.

Pageidaujama žemės sklypo naudojimo būdas: komercinės paskirties objektų teritorijos.

Prašymas viešinamas 10 darbo dienų: nuo 2026 m. kovo 30 d. iki 2026 m. balandžio 13 d.

Viešinimo laikotarpiu galima teikti pasiūlymus Vilniaus rajono savivaldybės administracijai raštu (Rinktinės g. 50, Vilnius) ir Lietuvos Respublikos teritorijų planavimo dokumentų rengimo ir teritorijų planavimo proceso valstybinės priežiūros informacinėje sistemoje (www.planuojustatau.lt) dėl žemės sklypo pagrindinės žemės naudojimo paskirties pakeitimo ir (ar) žemės sklypo naudojimo būdo pakeitimo ar nustatymo. 

 

Informuojame apie pateiktą nagrinėti prašymą pakeisti (nustatyti) žemės sklypo (kadastro Nr. 4170/0500:172), esančio Vilniaus r. sav., Riešės sen., Nemenčinėlės k., pagrindinę žemės naudojimo paskirtį ir (ar) būdą.

Prašymas   Ištrauka iš Kraštovaizdžio specialiojo plano

Esama pagrindinė žemės naudojimo paskirtis ir (ar) būdas: žemės ūkio; kiti žemės ūkio paskirties žemės sklypai.

Pageidaujama pagrindinė žemės naudojimo paskirtis ir būdas: kita; komercinės paskirties objektų teritorijos.

Prašymas viešinamas 10 darbo dienų: nuo 2026 m. kovo 30 d. iki 2026 m. balandžio 13 d.

Viešinimo laikotarpiu galima teikti pasiūlymus Vilniaus rajono savivaldybės administracijai raštu (Rinktinės g. 50, Vilnius) ir Lietuvos Respublikos teritorijų planavimo dokumentų rengimo ir teritorijų planavimo proceso valstybinės priežiūros informacinėje sistemoje (www.planuojustatau.lt) dėl žemės sklypo pagrindinės žemės naudojimo paskirties pakeitimo ir (ar) žemės sklypo naudojimo būdo pakeitimo ar nustatymo. 

 

Informuojame apie pateiktą nagrinėti prašymą pakeisti (nustatyti) žemės sklypo (kadastro Nr. 4132/0600:856), esančio Vilniaus r. sav., Maišiagalos sen., Gudelių Plytinės vs., pagrindinę žemės naudojimo paskirtį ir (ar) būdą.

Prašymas   Ištrauka iš Kraštovaizdžio specialiojo plano

Esama pagrindinė žemės naudojimo paskirtis ir (ar) būdas: žemės ūkio; kiti žemės ūkio paskirties žemės sklypai.

Pageidaujama pagrindinė žemės naudojimo paskirtis ir būdas: kita; vienbučių ir dvibučių gyvenamųjų pastatų teritorijos.

Prašymas viešinamas 10 darbo dienų: nuo 2026 m. kovo 30 d. iki 2026 m. balandžio 13 d.

Viešinimo laikotarpiu galima teikti pasiūlymus Vilniaus rajono savivaldybės administracijai raštu (Rinktinės g. 50, Vilnius) ir Lietuvos Respublikos teritorijų planavimo dokumentų rengimo ir teritorijų planavimo proceso valstybinės priežiūros informacinėje sistemoje (www.planuojustatau.lt) dėl žemės sklypo pagrindinės žemės naudojimo paskirties pakeitimo ir (ar) žemės sklypo naudojimo būdo pakeitimo ar nustatymo. 

 

Informuojame apie pateiktą nagrinėti prašymą pakeisti (nustatyti) žemės sklypo (kadastro Nr. 4167/0500:152), esančio Vilniaus r. sav., Pagirių sen., Papiškių k., pagrindinę žemės naudojimo paskirtį ir (ar) būdą.

Prašymas   Ištrauka iš Kraštovaizdžio specialiojo plano

Esama pagrindinė žemės naudojimo paskirtis ir (ar) būdas: žemės ūkio; kiti žemės ūkio paskirties žemės sklypai.

Pageidaujama pagrindinė žemės naudojimo paskirtis ir būdas: kita; vienbučių ir dvibučių gyvenamųjų pastatų teritorijos.

Prašymas viešinamas 10 darbo dienų: nuo 2026 m. kovo 30 d. iki 2026 m. balandžio 13 d.

Viešinimo laikotarpiu galima teikti pasiūlymus Vilniaus rajono savivaldybės administracijai raštu (Rinktinės g. 50, Vilnius) ir Lietuvos Respublikos teritorijų planavimo dokumentų rengimo ir teritorijų planavimo proceso valstybinės priežiūros informacinėje sistemoje (www.planuojustatau.lt) dėl žemės sklypo pagrindinės žemės naudojimo paskirties pakeitimo ir (ar) žemės sklypo naudojimo būdo pakeitimo ar nustatymo. 

Daugiau informacijos – tel. Nr. +370 5 240 1206, el. p. svetlana.gembickiene@vrsa.lt

2026-03-30

 

Informuojame apie pateiktą nagrinėti prašymą pakeisti (nustatyti) žemės sklypo (kadastro Nr. 4184/0300:104), esančio Vilniaus r. sav., Sudervės sen., Užuežerės k., pagrindinę žemės naudojimo paskirtį ir (ar) būdą.

Prašymas   Vilniaus rajono savivaldybės teritorijos dalies („ZRg“ žemės naudojimo funkcinės zonos Sudervės seniūnijoje) bendrojo plano ištrauka

Esama pagrindinė žemės naudojimo paskirtis ir (ar) būdas: žemės ūkio; būdas nenustatytas.

Pageidaujama pagrindinė žemės naudojimo paskirtis ir būdas: kita; vienbučių ir dvibučių gyvenamųjų pastatų teritorijos.

Prašymas viešinamas 10 darbo dienų: nuo 2026 m. kovo 30 d. iki 2026 m. balandžio 13 d.

Viešinimo laikotarpiu galima teikti pasiūlymus Vilniaus rajono savivaldybės administracijai raštu (Rinktinės g. 50, Vilnius) ir Lietuvos Respublikos teritorijų planavimo dokumentų rengimo ir teritorijų planavimo proceso valstybinės priežiūros informacinėje sistemoje (www.planuojustatau.lt) dėl žemės sklypo pagrindinės žemės naudojimo paskirties pakeitimo ir (ar) žemės sklypo naudojimo būdo pakeitimo ar nustatymo. 

Daugiau informacijos – tel. Nr. +370 5 240 1206, el. p. svetlana.gembickiene@vrsa.lt

2026-03-30

 

Informuojame apie pateiktą nagrinėti prašymą pakeisti (nustatyti) žemės sklypo (kadastro Nr. 4152/1600:633), esančio Vilniaus r. sav., Mickūnų sen., Mickūnų mstl., pagrindinę žemės naudojimo paskirtį ir (ar) būdą.

Prašymas   Ištrauka iš Kraštovaizdžio spec. plano

Esama pagrindinė žemės naudojimo paskirtis ir (ar) būdas: žemės ūkio; kiti žemės ūkio paskirties žemės sklypai.

Pageidaujama pagrindinė žemės naudojimo paskirtis ir būdas: kita; vienbučių ir dvibučių gyvenamųjų pastatų teritorijos.

Prašymas viešinamas 10 darbo dienų: nuo 2026 m. kovo 27 d. iki 2026 m. balandžio 10 d.

Viešinimo laikotarpiu galima teikti pasiūlymus Vilniaus rajono savivaldybės administracijai raštu (Rinktinės g. 50, Vilnius) ir Lietuvos Respublikos teritorijų planavimo dokumentų rengimo ir teritorijų planavimo proceso valstybinės priežiūros informacinėje sistemoje (www.planuojustatau.lt) dėl žemės sklypo pagrindinės žemės naudojimo paskirties pakeitimo ir (ar) žemės sklypo naudojimo būdo pakeitimo ar nustatymo. 

Daugiau informacijos – tel. Nr. +370 5 240 1206, el. p. svetlana.gembickiene@vrsa.lt

2026-03-27

 

Informuojame apie pateiktą nagrinėti prašymą pakeisti (nustatyti) žemės sklypo (kadastro Nr. 4172/200:398), esančio Vilniaus r. sav., Nemenčinės sen., Tuščiaulių k., Kranto g. 6, pagrindinę žemės naudojimo paskirtį ir (ar) būdą.

Prašymas Ištrauka iš Kraštovaizdžio spec. plano

Esama pagrindinė žemės naudojimo paskirtis ir (ar) būdas: žemės ūkio, kiti žemės ūkio paskirties žemės sklypai.

Pageidaujama pagrindinė žemės naudojimo paskirtis ir būdas: kita; vienbučių ir dvibučių gyvenamųjų pastatų teritorijos.

Prašymas viešinamas 10 darbo dienų: nuo 2026 m. kovo 25 d. iki 2026 m. balandžio 8 d.

Viešinimo laikotarpiu galima teikti pasiūlymus Vilniaus rajono savivaldybės administracijai raštu (Rinktinės g. 50, Vilnius) ir Lietuvos Respublikos teritorijų planavimo dokumentų rengimo ir teritorijų planavimo proceso valstybinės priežiūros informacinėje sistemoje (www.planuojustatau.lt) dėl žemės sklypo pagrindinės žemės naudojimo paskirties pakeitimo ir (ar) žemės sklypo naudojimo būdo pakeitimo ar nustatymo. 

Daugiau informacijos – tel. Nr. +370 5 2755082, el. p. ivona.marcinkevic@vrsa.lt

2026-03-25

 

Priimtas sprendimas dėl  kitos paskirties , bendrojo naudojimo (miestų, miestelių ir kaimų ar savivaldybių bendrojo naudojimo) teritorijos, žemės sklypo (kadastro Nr.4152/0800:379), esančio Vilniaus r. sav., Mickūnų sen., Mickūnų mstl., žemės naudojimo būdo keitimo

Sprendimas

2026-03-25

 

Informuojame apie pateiktą nagrinėti prašymą pakeisti (nustatyti) žemės sklypo (kadastro Nr. 4152/1300:100), esančio Vilniaus r. sav., Mickūnų sen., Uosininkų II k., pagrindinę žemės naudojimo paskirtį ir (ar) būdą.

Prašymas Ištrauka iš Kraštovaizdžio spec. plano

Esama pagrindinė žemės naudojimo paskirtis ir (ar) būdas: žemės ūkio, kiti žemės ūkio paskirties žemės sklypai.

Pageidaujama pagrindinė žemės naudojimo paskirtis ir būdas: kita; vienbučių ir dvibučių gyvenamųjų pastatų teritorijos.

Prašymas viešinamas 10 darbo dienų: nuo 2026 m. kovo 24 d. iki 2026 m. balandžio 7 d.

Viešinimo laikotarpiu galima teikti pasiūlymus Vilniaus rajono savivaldybės administracijai raštu (Rinktinės g. 50, Vilnius) ir Lietuvos Respublikos teritorijų planavimo dokumentų rengimo ir teritorijų planavimo proceso valstybinės priežiūros informacinėje sistemoje (www.planuojustatau.lt) dėl žemės sklypo pagrindinės žemės naudojimo paskirties pakeitimo ir (ar) žemės sklypo naudojimo būdo pakeitimo ar nustatymo. 

Daugiau informacijos – tel. Nr. +370 5 2755082, el. p. ivona.marcinkevic@vrsa.lt

2026-03-24

 

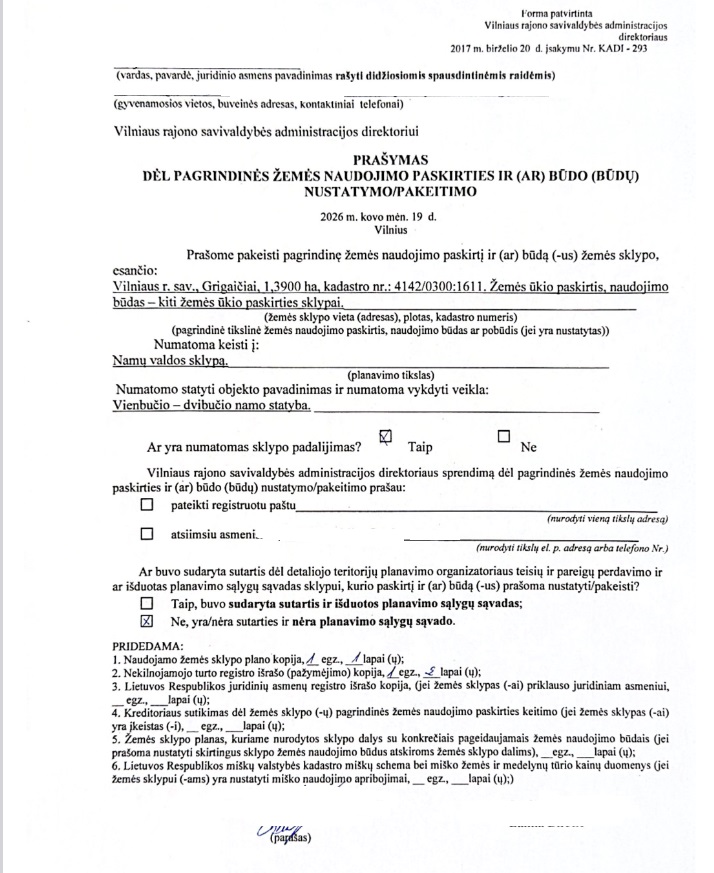
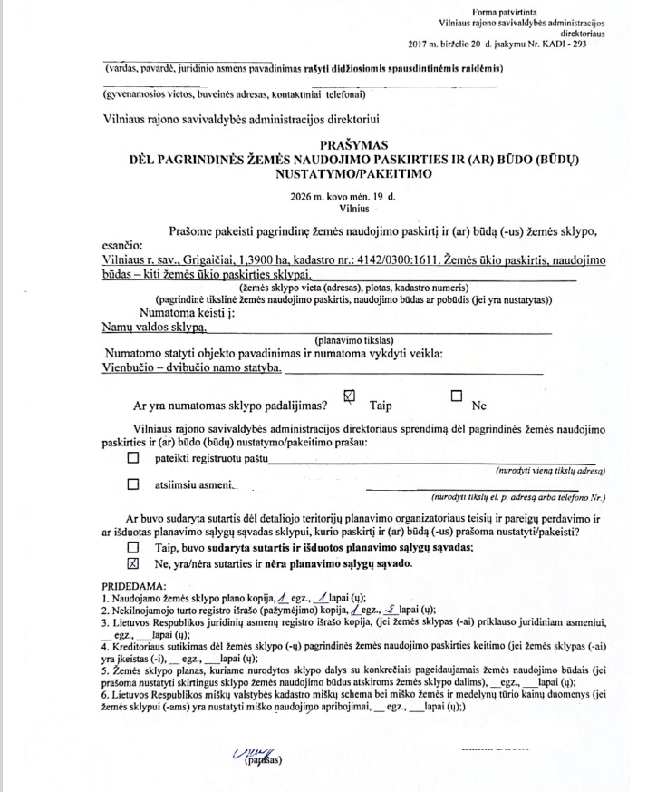
Informuojame apie pateiktą nagrinėti prašymą pakeisti (nustatyti) žemės sklypo (kadastro Nr. 4142/0300:1611), esančio Vilniaus r. sav., Šatrininkų sen., Grigaičių mstl., pagrindinę žemės naudojimo paskirtį ir (ar) būdą.

Prašymas  Ištrauka iš Kraštovaizdžio spec. plano

Esama pagrindinė žemės naudojimo paskirtis ir (ar) būdas: žemės ūkio, kiti žemės ūkio paskirties žemės sklypai.

Pageidaujama pagrindinė žemės naudojimo paskirtis ir būdas: kita; vienbučių ir dvibučių gyvenamųjų pastatų teritorijos.

Prašymas viešinamas 10 darbo dienų: nuo 2026 m. kovo 24 d. iki 2026 m. balandžio 7 d.

Viešinimo laikotarpiu galima teikti pasiūlymus Vilniaus rajono savivaldybės administracijai raštu (Rinktinės g. 50, Vilnius) ir Lietuvos Respublikos teritorijų planavimo dokumentų rengimo ir teritorijų planavimo proceso valstybinės priežiūros informacinėje sistemoje (www.planuojustatau.lt) dėl žemės sklypo pagrindinės žemės naudojimo paskirties pakeitimo ir (ar) žemės sklypo naudojimo būdo pakeitimo ar nustatymo. 

Daugiau informacijos – tel. Nr. +370 5 2755082, el. p. ivona.marcinkevic@vrsa.lt

2026-03-24

 

Informuojame apie pateiktą nagrinėti prašymą pakeisti (nustatyti) žemės sklypo (kadastro Nr. 4117/0100:1162), esančio Vilniaus r. sav., Riešės sen., Dvariškių k., pagrindinę žemės naudojimo paskirtį ir (ar) būdą.

Prašymas  Ištrauka iš Kraštovaizdžio spec. plano

Esama pagrindinė žemės naudojimo paskirtis ir (ar) būdas: žemės ūkio, kiti žemės ūkio paskirties žemės sklypai.

Pageidaujama pagrindinė žemės naudojimo paskirtis ir būdas: kita; vienbučių ir dvibučių gyvenamųjų pastatų teritorijos.

Prašymas viešinamas 10 darbo dienų: nuo 2026 m. kovo 24 d. iki 2026 m. balandžio 7 d.

Viešinimo laikotarpiu galima teikti pasiūlymus Vilniaus rajono savivaldybės administracijai raštu (Rinktinės g. 50, Vilnius) ir Lietuvos Respublikos teritorijų planavimo dokumentų rengimo ir teritorijų planavimo proceso valstybinės priežiūros informacinėje sistemoje (www.planuojustatau.lt) dėl žemės sklypo pagrindinės žemės naudojimo paskirties pakeitimo ir (ar) žemės sklypo naudojimo būdo pakeitimo ar nustatymo. 

Daugiau informacijos – tel. Nr. +370 5 2755082, el. p. ivona.marcinkevic@vrsa.lt

2026-03-24

 

Informuojame apie pateiktą nagrinėti prašymą pakeisti (nustatyti) žemės sklypo (kadastro Nr. 4103/0200:2468), esančio Vilniaus r. sav., Avižienių sen., Pikutiškių k., Grybų g. 23, pagrindinę žemės naudojimo paskirtį ir (ar) būdą.

Prašymas  Ištrauka iš Kraštovaizdžio spec. plano

Esama pagrindinė žemės naudojimo paskirtis ir (ar) būdas: žemės ūkio, kiti žemės ūkio paskirties žemės sklypai.

Pageidaujama pagrindinė žemės naudojimo paskirtis ir būdas: kita; vienbučių ir dvibučių gyvenamųjų pastatų teritorijos.

Prašymas viešinamas 10 darbo dienų: nuo 2026 m. kovo 24 d. iki 2026 m. balandžio 7 d.

Viešinimo laikotarpiu galima teikti pasiūlymus Vilniaus rajono savivaldybės administracijai raštu (Rinktinės g. 50, Vilnius) ir Lietuvos Respublikos teritorijų planavimo dokumentų rengimo ir teritorijų planavimo proceso valstybinės priežiūros informacinėje sistemoje (www.planuojustatau.lt) dėl žemės sklypo pagrindinės žemės naudojimo paskirties pakeitimo ir (ar) žemės sklypo naudojimo būdo pakeitimo ar nustatymo. 

Daugiau informacijos – tel. Nr. +370 5 2755082, el. p. ivona.marcinkevic@vrsa.lt

2026-03-24

 

Informuojame apie pateiktą nagrinėti prašymą pakeisti (nustatyti) žemės sklypo (kadastro Nr. 4152/2100:148), esančio Vilniaus r. sav., Mickūnų sen., Skaisterių k., Muknos g. 32, pagrindinę žemės naudojimo paskirtį ir (ar) būdą.

Prašymas   Ištrauka iš Kraštovaizdžio spec. plano

Esama pagrindinė žemės naudojimo paskirtis ir (ar) būdas: žemės ūkio; būdas nenustatytas.

Pageidaujama pagrindinė žemės naudojimo paskirtis ir būdas: kita; vienbučių ir dvibučių gyvenamųjų pastatų teritorijos.

Prašymas viešinamas 10 darbo dienų: nuo 2026 m. kovo 19 d. iki 2026 m. balandžio 02 d.

Viešinimo laikotarpiu galima teikti pasiūlymus Vilniaus rajono savivaldybės administracijai raštu (Rinktinės g. 50, Vilnius) ir Lietuvos Respublikos teritorijų planavimo dokumentų rengimo ir teritorijų planavimo proceso valstybinės priežiūros informacinėje sistemoje (www.planuojustatau.lt) dėl žemės sklypo pagrindinės žemės naudojimo paskirties pakeitimo ir (ar) žemės sklypo naudojimo būdo pakeitimo ar nustatymo. 

Daugiau informacijos – tel. Nr. +370 5 240 1206, el. p. svetlana.gembickiene@vrsa.lt

2026-03-19

 

Informuojame apie pateiktą nagrinėti prašymą pakeisti (nustatyti) žemės sklypo (kadastro Nr. 4152/2100:149), esančio Vilniaus r. sav., Mickūnų sen., Skaisterių k., pagrindinę žemės naudojimo paskirtį ir (ar) būdą.

Prašymas   Ištrauka iš Kraštovaizdžio spec. plano

Esama pagrindinė žemės naudojimo paskirtis ir (ar) būdas: žemės ūkio; būdas nenustatytas.

Pageidaujama pagrindinė žemės naudojimo paskirtis ir būdas: kita; vienbučių ir dvibučių gyvenamųjų pastatų teritorijos.

Prašymas viešinamas 10 darbo dienų: nuo 2026 m. kovo 19 d. iki 2026 m. balandžio 02 d.

Viešinimo laikotarpiu galima teikti pasiūlymus Vilniaus rajono savivaldybės administracijai raštu (Rinktinės g. 50, Vilnius) ir Lietuvos Respublikos teritorijų planavimo dokumentų rengimo ir teritorijų planavimo proceso valstybinės priežiūros informacinėje sistemoje (www.planuojustatau.lt) dėl žemės sklypo pagrindinės žemės naudojimo paskirties pakeitimo ir (ar) žemės sklypo naudojimo būdo pakeitimo ar nustatymo. 

Daugiau informacijos – tel. Nr. +370 5 240 1206, el. p. svetlana.gembickiene@vrsa.lt

2026-03-19

 

Informuojame apie pateiktą nagrinėti prašymą pakeisti (nustatyti) žemės sklypo (kadastro Nr. 4103/0300:8303), esančio Vilniaus r. sav., Avižienių sen., Bukiškio k., pagrindinę žemės naudojimo paskirtį ir (ar) būdą.

Prašymas   Ištrauka iš Vilniaus rajono savivaldybės teritorijos dalies („U“ žemės naudojimo funkcinės zonos Avižienių, Juodšilių, Nemėžio, Pagirių, Riešės, Rudaminos ir Zujūnų seniūnijose) bendrojo plano

Esama pagrindinė žemės naudojimo paskirtis ir (ar) būdas: žemės ūkio; kiti žemės ūkio paskirties žemės sklypai.

Pageidaujama pagrindinė žemės naudojimo paskirtis ir būdas: kita; Komercinės paskirties objektų teritorijos.

Prašymas viešinamas 10 darbo dienų: nuo 2026 m. kovo 19 d. iki 2026 m. balandžio 02 d.

Viešinimo laikotarpiu galima teikti pasiūlymus Vilniaus rajono savivaldybės administracijai raštu (Rinktinės g. 50, Vilnius) ir Lietuvos Respublikos teritorijų planavimo dokumentų rengimo ir teritorijų planavimo proceso valstybinės priežiūros informacinėje sistemoje (www.planuojustatau.lt) dėl žemės sklypo pagrindinės žemės naudojimo paskirties pakeitimo ir (ar) žemės sklypo naudojimo būdo pakeitimo ar nustatymo. 

Daugiau informacijos – tel. Nr. +370 5 240 1206, el. p. svetlana.gembickiene@vrsa.lt

2026-03-19

 

Informuojame apie pateiktą nagrinėti prašymą pakeisti (nustatyti) žemės sklypo (kadastro Nr. 4152/0800:821), esančio Vilniaus r. sav., Mickūnų sen., Mickūnų mstl., pagrindinę žemės naudojimo paskirtį ir (ar) būdą.

Prašymas   Ištrauka iš Kraštovaizdžio spec. plano

Esama pagrindinė žemės naudojimo paskirtis ir (ar) būdas: žemės ūkio; kiti žemės ūkio paskirties žemės sklypai.

Pageidaujama pagrindinė žemės naudojimo paskirtis ir būdas: kita; vienbučių ir dvibučių gyvenamųjų pastatų teritorijos.

Prašymas viešinamas 10 darbo dienų: nuo 2026 m. kovo 19 d. iki 2026 m. balandžio 02 d.

Viešinimo laikotarpiu galima teikti pasiūlymus Vilniaus rajono savivaldybės administracijai raštu (Rinktinės g. 50, Vilnius) ir Lietuvos Respublikos teritorijų planavimo dokumentų rengimo ir teritorijų planavimo proceso valstybinės priežiūros informacinėje sistemoje (www.planuojustatau.lt) dėl žemės sklypo pagrindinės žemės naudojimo paskirties pakeitimo ir (ar) žemės sklypo naudojimo būdo pakeitimo ar nustatymo. 

Daugiau informacijos – tel. Nr. +370 5 240 1206, el. p. svetlana.gembickiene@vrsa.lt

2026-03-19

 

Informuojame apie pateiktą nagrinėti prašymą pakeisti (nustatyti) žemės sklypo (kadastro Nr. 4152/0800:822), esančio Vilniaus r. sav., Mickūnų sen., Mickūnų mstl., pagrindinę žemės naudojimo paskirtį ir (ar) būdą.

Prašymas   Ištrauka iš Kraštovaizdžio spec. plano

Esama pagrindinė žemės naudojimo paskirtis ir (ar) būdas: žemės ūkio; kiti žemės ūkio paskirties žemės sklypai.

Pageidaujama pagrindinė žemės naudojimo paskirtis ir būdas: kita; vienbučių ir dvibučių gyvenamųjų pastatų teritorijos.

Prašymas viešinamas 10 darbo dienų: nuo 2026 m. kovo 19 d. iki 2026 m. balandžio 02 d.

Viešinimo laikotarpiu galima teikti pasiūlymus Vilniaus rajono savivaldybės administracijai raštu (Rinktinės g. 50, Vilnius) ir Lietuvos Respublikos teritorijų planavimo dokumentų rengimo ir teritorijų planavimo proceso valstybinės priežiūros informacinėje sistemoje (www.planuojustatau.lt) dėl žemės sklypo pagrindinės žemės naudojimo paskirties pakeitimo ir (ar) žemės sklypo naudojimo būdo pakeitimo ar nustatymo. 

Daugiau informacijos – tel. Nr. +370 5 240 1206, el. p. svetlana.gembickiene@vrsa.lt

2026-03-19

 

Priimtas sprendimas dėl  žemės ūkio paskirties – kiti žemės ūkio paskirties žemės sklypai – žemės sklypo (kadastro Nr. 4164/0400:457), esančio Vilniaus r. sav., Paberžės sen., Paberžės k., Vilties g. 18, pagrindinės žemės naudojimo paskirties ir žemės naudojimo būdo keitimo.

Sprendimas

2026-03-18

Informuojame apie pateiktą nagrinėti prašymą dėl žemės sklypo (kadastro Nr. 4184/0100:1176), esančio Vilniaus r. sav., Sudervės sen., Rastinėnų k. (toliau – Žemės sklypas)  pagrindinės žemės naudojimo paskirties ir būdo keitimo. Prašymo tikslas: 0,2167 ha ploto žemės ūkio paskirties Žemės sklypo pagrindinės naudojimo paskirties ir žemės naudojimo būdo keitimas į kitos paskirties vienbučių ir dvibučių gyvenamųjų pastatų teritorijos naudojimo būdą. Su prašymu galima susipažinti nuo 2026-03-18 iki 2026-04-01 Lietuvos Respublikos teritorijų planavimo dokumentų rengimo ir teritorijų planavimo proceso valstybės priežiūros informacinėje svetainėje (TPDRIS.lt) ir Vilniaus rajono savivaldybės interneto svetainėje (vrsa.lt). Pasiūlymus dėl pagrindinės žemės naudojimo paskirties ir žemės naudojimo būdo keitimo galima teikti iki 2026-04-01 Vilniaus rajono savivaldybės administracijai (Rinktinės g. 50, Vilnius) raštu ir Lietuvos Respublikos teritorijų planavimo dokumentų rengimo ir teritorijų planavimo proceso valstybinės priežiūros informacinėje sistemoje.

Ištrauka iš Kraštovaizdžio spec. plano

Prašymas

2026-03-18

 

Informuojame apie pateiktą nagrinėti prašymą dėl žemės sklypo (kadastro Nr. 4184/0100:1104), esančio Vilniaus r. sav., Sudervės sen., Rastinėnų k. (toliau – Žemės sklypas)  pagrindinės žemės naudojimo paskirties ir būdo keitimo. Prašymo tikslas: 0,1966 ha ploto žemės ūkio paskirties Žemės sklypo pagrindinės naudojimo paskirties ir žemės naudojimo būdo keitimas į kitos paskirties vienbučių ir dvibučių gyvenamųjų pastatų teritorijos naudojimo būdą. Su prašymu galima susipažinti nuo 2026-03-18 iki 2026-04-01 Lietuvos Respublikos teritorijų planavimo dokumentų rengimo ir teritorijų planavimo proceso valstybės priežiūros informacinėje svetainėje (TPDRIS.lt) ir Vilniaus rajono savivaldybės interneto svetainėje (vrsa.lt). Pasiūlymus dėl pagrindinės žemės naudojimo paskirties ir žemės naudojimo būdo keitimo galima teikti iki 2026-04-01 Vilniaus rajono savivaldybės administracijai (Rinktinės g. 50, Vilnius) raštu ir Lietuvos Respublikos teritorijų planavimo dokumentų rengimo ir teritorijų planavimo proceso valstybinės priežiūros informacinėje sistemoje.

Ištrauka iš Kraštovaizdžio spec. plano

Prašymas

2026-03-18

 

Informuojame apie pateiktą nagrinėti prašymą dėl žemės sklypo (kadastro Nr. 4154/2000:679), esančio Vilniaus r. sav., Marijampolio sen., Marijampolio k.  (toliau – Žemės sklypas)  pagrindinės žemės naudojimo paskirties ir būdo keitimo. Prašymo tikslas: 0,2528 ha ploto žemės ūkio paskirties Žemės sklypo pagrindinės naudojimo paskirties ir žemės naudojimo būdo keitimas į kitos paskirties vienbučių ir dvibučių gyvenamųjų pastatų teritorijos naudojimo būdą. Su prašymu galima susipažinti nuo 2026-03-17 iki 2026-03-31 Lietuvos Respublikos teritorijų planavimo dokumentų rengimo ir teritorijų planavimo proceso valstybės priežiūros informacinėje svetainėje (TPDRIS.lt) ir Vilniaus rajono savivaldybės interneto svetainėje (vrsa.lt). Pasiūlymus dėl pagrindinės žemės naudojimo paskirties ir žemės naudojimo būdo keitimo galima teikti iki 2026-03-31 Vilniaus rajono savivaldybės administracijai (Rinktinės g. 50, Vilnius) raštu ir Lietuvos Respublikos teritorijų planavimo dokumentų rengimo ir teritorijų planavimo proceso valstybinės priežiūros informacinėje sistemoje.

Ištrauka iš Kraštovaizdžio spec. plano

Prašymas

2026-03-17

Informuojame apie pateiktą nagrinėti prašymą dėl žemės sklypo (kadastro Nr. 4162/0400:650), esančio Vilniaus r. sav., Skaidiškių mstl., Pakalnės g. 5 (toliau – Žemės sklypas) naudojimo būdo nustatymo. Prašymo tikslas: 0,1257 ha ploto žemės ūkio paskirties Žemės sklypo pagrindinė naudojimo paskirtis kita, naudojimo būdas nenustatytas. Su prašymu galima susipažinti nuo 2026-03-17 iki 2026-03-31 Lietuvos Respublikos teritorijų planavimo dokumentų rengimo ir teritorijų planavimo proceso valstybės priežiūros informacinėje svetainėje (TPDRIS.lt) ir Vilniaus rajono savivaldybės interneto svetainėje (vrsa.lt). Pasiūlymus dėl pagrindinės žemės naudojimo paskirties ir žemės naudojimo būdo keitimo galima teikti iki 2026-03-31 Vilniaus rajono savivaldybės administracijai (Rinktinės g. 50, Vilnius) raštu ir Lietuvos Respublikos teritorijų planavimo dokumentų rengimo ir teritorijų planavimo proceso valstybinės priežiūros informacinėje sistemoje.

Ištrauka iš Vilniaus rajono savivaldybės teritorijos dalies („U“ žemės naudojimo funkcinės zonos Avižienių, Juodšilių, Nemėžio, Pagirių, Riešės, Rudaminos ir Zujūnų seniūnijose) bendrojo plano

Prašymas

2026-03-17

 

Informuojame apie pateiktą nagrinėti prašymą dėl žemės sklypo (kadastro Nr. 4140/0500:356), esančio Vilniaus r. sav., Kalvelių sen., Kuosinės k.  (toliau – Žemės sklypas)  pagrindinės žemės naudojimo paskirties ir būdo keitimo. Prašymo tikslas: 0,1500 ha ploto žemės ūkio paskirties Žemės sklypo pagrindinės naudojimo paskirties ir žemės naudojimo būdo keitimas į kitos paskirties vienbučių ir dvibučių gyvenamųjų pastatų teritorijos naudojimo būdą. Su prašymu galima susipažinti nuo 2026-03-17 iki 2026-03-31 Lietuvos Respublikos teritorijų planavimo dokumentų rengimo ir teritorijų planavimo proceso valstybės priežiūros informacinėje svetainėje (TPDRIS.lt) ir Vilniaus rajono savivaldybės interneto svetainėje (vrsa.lt). Pasiūlymus dėl pagrindinės žemės naudojimo paskirties ir žemės naudojimo būdo keitimo galima teikti iki 2026-03-31 Vilniaus rajono savivaldybės administracijai (Rinktinės g. 50, Vilnius) raštu ir Lietuvos Respublikos teritorijų planavimo dokumentų rengimo ir teritorijų planavimo proceso valstybinės priežiūros informacinėje sistemoje.

Ištrauka iš Kraštovaizdžio spec. plano

Prašymas

2026-03-17

Informuojame apie pateiktą nagrinėti prašymą dėl žemės sklypo (kadastro Nr. 4137/0200:1163), esančio Vilniaus r. sav., Juodšilių sen., Juodšilių mstl. (toliau – Žemės sklypas)  pagrindinės žemės naudojimo paskirties ir būdo keitimo. Prašymo tikslas: 0,4119 ha ploto žemės ūkio paskirties Žemės sklypo pagrindinės naudojimo paskirties ir žemės naudojimo būdo keitimas į kitos paskirties Komercinės paskirties objektų teritorijos. Su prašymu galima susipažinti nuo 2026-03-17 iki 2026-03-31 Lietuvos Respublikos teritorijų planavimo dokumentų rengimo ir teritorijų planavimo proceso valstybės priežiūros informacinėje svetainėje (TPDRIS.lt) ir Vilniaus rajono savivaldybės interneto svetainėje (vrsa.lt). Pasiūlymus dėl pagrindinės žemės naudojimo paskirties ir žemės naudojimo būdo keitimo galima teikti iki 2026-03-31 Vilniaus rajono savivaldybės administracijai (Rinktinės g. 50, Vilnius) raštu ir Lietuvos Respublikos teritorijų planavimo dokumentų rengimo ir teritorijų planavimo proceso valstybinės priežiūros informacinėje sistemoje.

Ištrauka iš Vilniaus rajono savivaldybės teritorijos dalies („U“ žemės naudojimo funkcinės zonos Avižienių, Juodšilių, Nemėžio, Pagirių, Riešės, Rudaminos ir Zujūnų seniūnijose) bendrojo plano

Prašymas

2026-03-17

 

Informuojame apie pateiktą nagrinėti prašymą dėl žemės sklypo (kadastro Nr. 4127/0200:241), esančio Vilniaus r. sav., Nemenčinės sen., Radžiulių k., Krašto g. 18  (toliau – Žemės sklypas)  pagrindinės žemės naudojimo paskirties ir būdo keitimo. Prašymo tikslas: 0,3750 ha ploto žemės ūkio paskirties Žemės sklypo pagrindinės naudojimo paskirties ir žemės naudojimo būdo keitimas į kitos paskirties vienbučių ir dvibučių gyvenamųjų pastatų teritorijos naudojimo būdą. Su prašymu galima susipažinti nuo 2026-03-17 iki 2026-03-31 Lietuvos Respublikos teritorijų planavimo dokumentų rengimo ir teritorijų planavimo proceso valstybės priežiūros informacinėje svetainėje (TPDRIS.lt) ir Vilniaus rajono savivaldybės interneto svetainėje (vrsa.lt). Pasiūlymus dėl pagrindinės žemės naudojimo paskirties ir žemės naudojimo būdo keitimo galima teikti iki 2026-03-31 Vilniaus rajono savivaldybės administracijai (Rinktinės g. 50, Vilnius) raštu ir Lietuvos Respublikos teritorijų planavimo dokumentų rengimo ir teritorijų planavimo proceso valstybinės priežiūros informacinėje sistemoje.

Ištrauka iš Kraštovaizdžio spec. plano

Prašymas

2026-03-17

 

Informuojame apie pateiktą nagrinėti prašymą dėl žemės sklypo (kadastro Nr. 4154/2600:1111), esančio Vilniaus r. sav., Marijampolio sen., Kalvelių k.  (toliau – Žemės sklypas)  pagrindinės žemės naudojimo paskirties ir būdo keitimo. Prašymo tikslas: 0,3100 ha ploto žemės ūkio paskirties Žemės sklypo pagrindinės naudojimo paskirties ir žemės naudojimo būdo keitimas į kitos paskirties vienbučių ir dvibučių gyvenamųjų pastatų teritorijos naudojimo būdą. Su prašymu galima susipažinti nuo 2026-03-17 iki 2026-03-31 Lietuvos Respublikos teritorijų planavimo dokumentų rengimo ir teritorijų planavimo proceso valstybės priežiūros informacinėje svetainėje (TPDRIS.lt) ir Vilniaus rajono savivaldybės interneto svetainėje (vrsa.lt). Pasiūlymus dėl pagrindinės žemės naudojimo paskirties ir žemės naudojimo būdo keitimo galima teikti iki 2026-03-31 Vilniaus rajono savivaldybės administracijai (Rinktinės g. 50, Vilnius) raštu ir Lietuvos Respublikos teritorijų planavimo dokumentų rengimo ir teritorijų planavimo proceso valstybinės priežiūros informacinėje sistemoje.

Ištrauka iš Kraštovaizdžio spec. plano

Prašymas

2026-03-17

Priimtas sprendimas dėl  žemės ūkio paskirties – kiti žemės ūkio paskirties žemės sklypai – žemės sklypo (kadastro Nr. 4117/0600:1), esančio Vilniaus r. sav., Riešės sen., Vanaginės k., pagrindinės žemės naudojimo paskirties ir žemės naudojimo būdo keitimo.

Sprendimas

2026-03-13

 

Informuojame apie pateiktą nagrinėti prašymą dėl žemės sklypo (kadastro Nr.4110/0800:4539), esančio Vilniaus r. sav., Zujūnų sen., Buivydiškių k., Dvaro g. 1A (toliau – Žemės sklypas)  žemės naudojimo būdo keitimo. Prašymo tikslas: 0,1000 ha ploto kitos paskirties Žemės sklypo  žemės naudojimo būdo keitimas į kitos – komercinės paskirties objektų teritorijos. Su prašymu galima susipažinti nuo 2026-03-12 iki 2026-03-26 Lietuvos Respublikos teritorijų planavimo dokumentų rengimo ir teritorijų planavimo proceso valstybės priežiūros informacinėje svetainėje (TPDRIS.lt) ir Vilniaus rajono savivaldybės interneto svetainėje (vrsa.lt). Pasiūlymus dėl pagrindinės žemės naudojimo paskirties ir žemės naudojimo būdo keitimo galima teikti iki 2026-03-26 Vilniaus rajono savivaldybės administracijai (Rinktinės g. 50, Vilnius) raštu ir Lietuvos Respublikos teritorijų planavimo dokumentų rengimo ir teritorijų planavimo proceso valstybinės priežiūros informacinėje sistemoje.

Ištrauka iš Vilniaus rajono savivaldybės teritorijos dalies („U“ žemės naudojimo funkcinės zonos Avižienių, Juodšilių, Nemėžio, Pagirių, Riešės, Rudaminos ir Zujūnų seniūnijose) bendrojo plano

Prašymas

2026-03-12

 

Informuojame apie pateiktą nagrinėti prašymą dėl žemės sklypo (kadastro Nr. 4152/1700:53), esančio Vilniaus r. sav., Mickūnų sen., Mickūnų mstl., Vilniaus g. 16C (toliau – Žemės sklypas)  žemės naudojimo būdo keitimo. Prašymo tikslas: 0,4800 ha ploto kitos paskirties Žemės sklypo  žemės naudojimo būdo keitimas į kitos –  pramonės ir sandėliavimo objektų teritorijos. Su prašymu galima susipažinti nuo 2026-03-06 iki 2026-03-20 Lietuvos Respublikos teritorijų planavimo dokumentų rengimo ir teritorijų planavimo proceso valstybės priežiūros informacinėje svetainėje (TPDRIS.lt) ir Vilniaus rajono savivaldybės interneto svetainėje (vrsa.lt). Pasiūlymus dėl pagrindinės žemės naudojimo paskirties ir žemės naudojimo būdo keitimo galima teikti iki 2026-03-20 Vilniaus rajono savivaldybės administracijai (Rinktinės g. 50, Vilnius) raštu ir Lietuvos Respublikos teritorijų planavimo dokumentų rengimo ir teritorijų planavimo proceso valstybinės priežiūros informacinėje sistemoje.

Ištrauka iš Kraštovaizdžio spec. plano

Prašymas

Prašymas

2026-03-06

 

 

Informuojame apie pateiktą nagrinėti prašymą dėl žemės sklypo (kadastro Nr. 4167/0300:1198), esančio Vilniaus r. sav., Pagirių sen., Tarnėnų k., Ežero g. 10  (toliau – Žemės sklypas)  pagrindinės žemės naudojimo paskirties ir būdo keitimo. Prašymo tikslas: 0,5010 ha ploto žemės ūkio paskirties Žemės sklypo žemės naudojimo būdo keitimas į kitos – vienbučių ir dvibučių gyvenamųjų pastatų teritorijos. Su prašymu galima susipažinti nuo 2026-03-06 iki 2026-03-20 Lietuvos Respublikos teritorijų planavimo dokumentų rengimo ir teritorijų planavimo proceso valstybės priežiūros informacinėje svetainėje (TPDRIS.lt) ir Vilniaus rajono savivaldybės interneto svetainėje (vrsa.lt). Pasiūlymus dėl pagrindinės žemės naudojimo paskirties ir žemės naudojimo būdo keitimo galima teikti iki 2026-03-20 Vilniaus rajono savivaldybės administracijai (Rinktinės g. 50, Vilnius) raštu ir Lietuvos Respublikos teritorijų planavimo dokumentų rengimo ir teritorijų planavimo proceso valstybinės priežiūros informacinėje sistemoje.

Ištrauka iš Kraštovaizdžio spec. plano

Prašymas

2026-03-06

 

Informuojame apie pateiktą nagrinėti prašymą dėl žemės sklypo (kadastro Nr. 4134/0500:118), esančio Vilniaus r. sav., Paberžės sen., Baronėlių I vs.  (toliau – Žemės sklypas)  pagrindinės žemės naudojimo paskirties ir būdo keitimo. Prašymo tikslas: 1.0003 ha ploto žemės ūkio paskirties Žemės sklypo žemės naudojimo būdo keitimas į kitos –rekreacinės teritorijos. Su prašymu galima susipažinti nuo 2026-03-06 iki 2026-03-20 Lietuvos Respublikos teritorijų planavimo dokumentų rengimo ir teritorijų planavimo proceso valstybės priežiūros informacinėje svetainėje (TPDRIS.lt) ir Vilniaus rajono savivaldybės interneto svetainėje (vrsa.lt). Pasiūlymus dėl pagrindinės žemės naudojimo paskirties ir žemės naudojimo būdo keitimo galima teikti iki 2026-03-20 Vilniaus rajono savivaldybės administracijai (Rinktinės g. 50, Vilnius) raštu ir Lietuvos Respublikos teritorijų planavimo dokumentų rengimo ir teritorijų planavimo proceso valstybinės priežiūros informacinėje sistemoje.

Ištrauka iš Kraštovaizdžio spec. plano

Prašymas

2026-03-06

 

Informuojame apie pateiktą nagrinėti prašymą dėl žemės sklypo (kadastro Nr. 4152/0300:0278), esančio Vilniaus r. sav., Mickūnų sen., Kairėnų k. (toliau – Žemės sklypas)  pagrindinės žemės naudojimo paskirties ir būdo keitimo. Prašymo tikslas: 0,8619 ha ploto žemės ūkio paskirties Žemės sklypo žemės naudojimo būdo keitimas į kitos – vienbučių ir dvibučių gyvenamųjų pastatų teritorijos. Su prašymu galima susipažinti nuo 2026-03-06 iki 2026-03-20 Lietuvos Respublikos teritorijų planavimo dokumentų rengimo ir teritorijų planavimo proceso valstybės priežiūros informacinėje svetainėje (TPDRIS.lt) ir Vilniaus rajono savivaldybės interneto svetainėje (vrsa.lt). Pasiūlymus dėl pagrindinės žemės naudojimo paskirties ir žemės naudojimo būdo keitimo galima teikti iki 2026-03-20 Vilniaus rajono savivaldybės administracijai (Rinktinės g. 50, Vilnius) raštu ir Lietuvos Respublikos teritorijų planavimo dokumentų rengimo ir teritorijų planavimo proceso valstybinės priežiūros informacinėje sistemoje.

Ištrauka iš Kraštovaizdžio spec. plano

Prašymas

2026-03-06

 

Informuojame apie pateiktą nagrinėti prašymą dėl žemės sklypo (kadastro Nr. 4152/0800:0379), esančio Vilniaus r. sav., Mickūnų sen., Mickūnų mstl. (toliau – Žemės sklypas)  žemės naudojimo būdo keitimo. Prašymo tikslas: 0,3391 ha ploto kitos paskirties Žemės sklypo  žemės naudojimo būdo keitimas į kitos – visuomeninės paskirties teritorijos. Su prašymu galima susipažinti nuo 2026-03-04 iki 2026-03-17 Lietuvos Respublikos teritorijų planavimo dokumentų rengimo ir teritorijų planavimo proceso valstybės priežiūros informacinėje svetainėje (TPDRIS.lt) ir Vilniaus rajono savivaldybės interneto svetainėje (vrsa.lt). Pasiūlymus dėl pagrindinės žemės naudojimo paskirties ir žemės naudojimo būdo keitimo galima teikti iki 2026-03-17 Vilniaus rajono savivaldybės administracijai (Rinktinės g. 50, Vilnius) raštu ir Lietuvos Respublikos teritorijų planavimo dokumentų rengimo ir teritorijų planavimo proceso valstybinės priežiūros informacinėje sistemoje.

Ištrauka iš Kraštovaizdžio spec. plano

Prašymas

2026-03-04

 

Informuojame apie pateiktą nagrinėti prašymą dėl žemės sklypo (kad. Nr. 4167/0300:781), esančio Vilniaus r. sav., Pagirių sen., Keturiasdešimt Totorių k. (toliau – Žemės sklypi)  žemės naudojimo būdo keitimo. Prašymo tikslas: 0,3512 ploto kitos paskirties Žemės sklypo  žemės naudojimo būdo keitimas į kitos – vienbučių ir dvibučių gyvenamųjų pastatų teritorijos. Su prašymu galima susipažinti nuo 2026-02-25 iki 2026-03-12 Lietuvos Respublikos teritorijų planavimo dokumentų rengimo ir teritorijų planavimo proceso valstybės priežiūros informacinėje svetainėje (TPDRIS.lt) ir Vilniaus rajono savivaldybės interneto svetainėje (vrsa.lt). Pasiūlymus dėl pagrindinės žemės naudojimo paskirties ir žemės naudojimo būdo keitimo galima teikti iki 2026-03-12 Vilniaus rajono savivaldybės administracijai (Rinktinės g. 50, Vilnius) raštu ir Lietuvos Respublikos teritorijų planavimo dokumentų rengimo ir teritorijų planavimo proceso valstybinės priežiūros informacinėje sistemoje.

Ištrauka iš Kraštovaizdžio spec. plano

Prašymas

2026-02-25

Informuojame apie pateiktą nagrinėti prašymą dėl žemės sklypo (kad. Nr. 4167/0200:1066), esančio Vilniaus r. sav., Pagirių sen., Melekonių k. (toliau – Žemės sklypi)  žemės naudojimo būdo keitimo. Prašymo tikslas: 0,4700 ploto kitos paskirties Žemės sklypo  žemės naudojimo būdo keitimas į kitos – vienbučių ir dvibučių gyvenamųjų pastatų teritorijos. Su prašymu galima susipažinti nuo 2026-02-25 iki 2026-03-12 Lietuvos Respublikos teritorijų planavimo dokumentų rengimo ir teritorijų planavimo proceso valstybės priežiūros informacinėje svetainėje (TPDRIS.lt) ir Vilniaus rajono savivaldybės interneto svetainėje (vrsa.lt). Pasiūlymus dėl pagrindinės žemės naudojimo paskirties ir žemės naudojimo būdo keitimo galima teikti iki 2026-03-12 Vilniaus rajono savivaldybės administracijai (Rinktinės g. 50, Vilnius) raštu ir Lietuvos Respublikos teritorijų planavimo dokumentų rengimo ir teritorijų planavimo proceso valstybinės priežiūros informacinėje sistemoje.

Ištrauka iš Kraštovaizdžio spec. plano

Prašymas

2026-02-25

Informuojame apie pateiktą nagrinėti prašymą dėl žemės sklypo (kad. Nr. 4167/0200:1068), esančio Vilniaus r. sav., Pagirių sen., Melekonių k. (toliau – Žemės sklypi)  žemės naudojimo būdo keitimo. Prašymo tikslas: 1,1200 ploto kitos paskirties Žemės sklypo  žemės naudojimo būdo keitimas į kitos – vienbučių ir dvibučių gyvenamųjų pastatų teritorijos. Su prašymu galima susipažinti nuo 2026-02-25 iki 2026-03-12 Lietuvos Respublikos teritorijų planavimo dokumentų rengimo ir teritorijų planavimo proceso valstybės priežiūros informacinėje svetainėje (TPDRIS.lt) ir Vilniaus rajono savivaldybės interneto svetainėje (vrsa.lt). Pasiūlymus dėl pagrindinės žemės naudojimo paskirties ir žemės naudojimo būdo keitimo galima teikti iki 2026-03-12 Vilniaus rajono savivaldybės administracijai (Rinktinės g. 50, Vilnius) raštu ir Lietuvos Respublikos teritorijų planavimo dokumentų rengimo ir teritorijų planavimo proceso valstybinės priežiūros informacinėje sistemoje.

Ištrauka iš Kraštovaizdžio spec. plano

Prašymas

2026-02-25

Informuojame apie pateiktą nagrinėti prašymą dėl žemės sklypo (kad. Nr. 4167/0200:1067), esančio Vilniaus r. sav., Pagirių sen., Melekonių k. (toliau – Žemės sklypi)  žemės naudojimo būdo keitimo. Prašymo tikslas: 3,0000 ploto kitos paskirties Žemės sklypo  žemės naudojimo būdo keitimas į kitos – vienbučių ir dvibučių gyvenamųjų pastatų teritorijos. Su prašymu galima susipažinti nuo 2026-02-25 iki 2026-03-12 Lietuvos Respublikos teritorijų planavimo dokumentų rengimo ir teritorijų planavimo proceso valstybės priežiūros informacinėje svetainėje (TPDRIS.lt) ir Vilniaus rajono savivaldybės interneto svetainėje (vrsa.lt). Pasiūlymus dėl pagrindinės žemės naudojimo paskirties ir žemės naudojimo būdo keitimo galima teikti iki 2026-03-12 Vilniaus rajono savivaldybės administracijai (Rinktinės g. 50, Vilnius) raštu ir Lietuvos Respublikos teritorijų planavimo dokumentų rengimo ir teritorijų planavimo proceso valstybinės priežiūros informacinėje sistemoje.

Ištrauka iš Kraštovaizdžio spec. plano

Prašymas

2026-02-25

Informuojame apie pateiktą nagrinėti prašymą dėl žemės sklypo (kad. Nr. 4167/0200:1231), esančio Vilniaus r. sav., Pagirių sen., Melekonių k. (toliau – Žemės sklypi)  žemės naudojimo būdo keitimo. Prašymo tikslas: 0,3200 ploto kitos paskirties Žemės sklypo  žemės naudojimo būdo keitimas į kitos – vienbučių ir dvibučių gyvenamųjų pastatų teritorijos. Su prašymu galima susipažinti nuo 2026-02-25 iki 2026-03-12 Lietuvos Respublikos teritorijų planavimo dokumentų rengimo ir teritorijų planavimo proceso valstybės priežiūros informacinėje svetainėje (TPDRIS.lt) ir Vilniaus rajono savivaldybės interneto svetainėje (vrsa.lt). Pasiūlymus dėl pagrindinės žemės naudojimo paskirties ir žemės naudojimo būdo keitimo galima teikti iki 2026-03-12 Vilniaus rajono savivaldybės administracijai (Rinktinės g. 50, Vilnius) raštu ir Lietuvos Respublikos teritorijų planavimo dokumentų rengimo ir teritorijų planavimo proceso valstybinės priežiūros informacinėje sistemoje.

Ištrauka iš Kraštovaizdžio spec. plano

Prašymas

2026-02-25

Informuojame apie pateiktą nagrinėti prašymą dėl žemės sklypo (kad. Nr.4167/0100:439 ), esančio Vilniaus r. sav., Pagirių sen., Pagirių mstl. (toliau – Žemės sklypi)  žemės naudojimo būdo keitimo. Prašymo tikslas: 0,5425 ha ploto kitos paskirties Žemės sklypo  žemės naudojimo būdo keitimas į kitos – vienbučių ir dvibučių gyvenamųjų pastatų teritorijos. Su prašymu galima susipažinti nuo 2026-02-13 iki 2026-03-02 Lietuvos Respublikos teritorijų planavimo dokumentų rengimo ir teritorijų planavimo proceso valstybės priežiūros informacinėje svetainėje (TPDRIS.lt) ir Vilniaus rajono savivaldybės interneto svetainėje (vrsa.lt). Pasiūlymus dėl pagrindinės žemės naudojimo paskirties ir žemės naudojimo būdo keitimo galima teikti iki 2026-03-02 Vilniaus rajono savivaldybės administracijai (Rinktinės g. 50, Vilnius) raštu ir Lietuvos Respublikos teritorijų planavimo dokumentų rengimo ir teritorijų planavimo proceso valstybinės priežiūros informacinėje sistemoje.

Ištrauka iš Vilniaus rajono savivaldybės teritorijos dalies („U“ žemės naudojimo funkcinės zonos Avižienių, Juodšilių, Nemėžio, Pagirių, Riešės, Rudaminos ir Zujūnų seniūnijose) bendrojo plano

Prašymas

2026-02-13

Informuojame apie pateiktą nagrinėti prašymą dėl žemės sklypo (kad. Nr.4117/0700:5059), esančio Vilniaus r. sav., Riešės sen., Didžiosios Riešės mstl. (toliau – Žemės sklypi)  žemės naudojimo būdo keitimo. Prašymo tikslas: 0,3168 ploto kitos paskirties Žemės sklypo  žemės naudojimo būdo keitimas į kitos – vienbučių ir dvibučių gyvenamųjų pastatų teritorijos. Su prašymu galima susipažinti nuo 2026-02-12 iki 2026-02-27 Lietuvos Respublikos teritorijų planavimo dokumentų rengimo ir teritorijų planavimo proceso valstybės priežiūros informacinėje svetainėje (TPDRIS.lt) ir Vilniaus rajono savivaldybės interneto svetainėje (vrsa.lt). Pasiūlymus dėl pagrindinės žemės naudojimo paskirties ir žemės naudojimo būdo keitimo galima teikti iki 2026-02-27 Vilniaus rajono savivaldybės administracijai (Rinktinės g. 50, Vilnius) raštu ir Lietuvos Respublikos teritorijų planavimo dokumentų rengimo ir teritorijų planavimo proceso valstybinės priežiūros informacinėje sistemoje.

Ištrauka iš Vilniaus rajono savivaldybės teritorijos dalies („U“ žemės naudojimo funkcinės zonos Avižienių, Juodšilių, Nemėžio, Pagirių, Riešės, Rudaminos ir Zujūnų seniūnijose) bendrojo plano

Prašymas

2026-02-12

Informuojame apie pateiktą nagrinėti prašymą dėl žemės sklypo (kad. Nr.4152/0800:696), esančio Vilniaus r. sav., Mickūnų sen., Mickūnų mstl., Lytos g. 80 (toliau – Žemės sklypi)  žemės naudojimo būdo keitimo. Prašymo tikslas: 0,1344 ploto kitos paskirties Žemės sklypo  žemės naudojimo būdo keitimas į kitos – vienbučių ir dvibučių gyvenamųjų pastatų teritorijos. Su prašymu galima susipažinti nuo 2026-02-12 iki 2026-02-27 Lietuvos Respublikos teritorijų planavimo dokumentų rengimo ir teritorijų planavimo proceso valstybės priežiūros informacinėje svetainėje (TPDRIS.lt) ir Vilniaus rajono savivaldybės interneto svetainėje (vrsa.lt). Pasiūlymus dėl pagrindinės žemės naudojimo paskirties ir žemės naudojimo būdo keitimo galima teikti iki 2026-02-27 Vilniaus rajono savivaldybės administracijai (Rinktinės g. 50, Vilnius) raštu ir Lietuvos Respublikos teritorijų planavimo dokumentų rengimo ir teritorijų planavimo proceso valstybinės priežiūros informacinėje sistemoje.

Ištrauka iš Kraštovaizdžio spec. plano

Prašymas

2026-02-12

Informuojame apie pateiktą nagrinėti prašymą dėl žemės sklypo (kad. Nr.4110/0700:840), esančio Vilniaus r. sav., Zujūnų sen., Geležių k., Lauknos g. 4 (toliau – Žemės sklypas)  žemės naudojimo būdo keitimo. Prašymo tikslas: 0,2310 ploto kitos paskirties Žemės sklypo  žemės naudojimo būdo keitimas į kitos – vienbučių ir dvibučių gyvenamųjų pastatų teritorijos. Su prašymu galima susipažinti nuo 2026-02-12 iki 2026-02-27 Lietuvos Respublikos teritorijų planavimo dokumentų rengimo ir teritorijų planavimo proceso valstybės priežiūros informacinėje svetainėje (TPDRIS.lt) ir Vilniaus rajono savivaldybės interneto svetainėje (vrsa.lt). Pasiūlymus dėl pagrindinės žemės naudojimo paskirties ir žemės naudojimo būdo keitimo galima teikti iki 2026-02-27 Vilniaus rajono savivaldybės administracijai (Rinktinės g. 50, Vilnius) raštu ir Lietuvos Respublikos teritorijų planavimo dokumentų rengimo ir teritorijų planavimo proceso valstybinės priežiūros informacinėje sistemoje.

Ištrauka iš Vilniaus rajono savivaldybės teritorijos dalies („U“ žemės naudojimo funkcinės zonos Avižienių, Juodšilių, Nemėžio, Pagirių, Riešės, Rudaminos ir Zujūnų seniūnijose) bendrojo plano

Prašymas

2026-02-12

 

Priimtas sprendimas kitos paskirties – pramonės ir sandėliavimo objektų teritorijos – žemės sklypo (kadastro Nr. 4150/0800:164), esančio Vilniaus r. sav., Medininkų sen., Alaburdiškių vs. 2,  žemės naudojimo būdo keitimo.

 

Sprendimas

2026-02-11

Informuojame apie pateiktą nagrinėti prašymą dėl žemės sklypo (kad. Nr.4103/0200:9299), esančio Vilniaus r. sav., Avižieniai, Ožiarūčių g. 67 (toliau – Žemės sklypas) žemės naudojimo būdo keitimo. Prašymo tikslas: 0,5244 ploto kitos paskirties Žemės sklypo žemės naudojimo būdo keitimas į kitos – komercinės paskirties teritorijos. Su prašymu galima susipažinti nuo 2026-02-11 iki 2026-02-26 Lietuvos Respublikos teritorijų planavimo dokumentų rengimo ir teritorijų planavimo proceso valstybės priežiūros informacinėje svetainėje (TPDRIS.lt) ir Vilniaus rajono savivaldybės interneto svetainėje (vrsa.lt). Pasiūlymus dėl pagrindinės žemės naudojimo paskirties ir žemės naudojimo būdo keitimo galima teikti iki 2026-02-26 Vilniaus rajono savivaldybės administracijai (Rinktinės g. 50, Vilnius) raštu ir Lietuvos Respublikos teritorijų planavimo dokumentų rengimo ir teritorijų planavimo proceso valstybinės priežiūros informacinėje sistemoje.

Ištrauka iš Vilniaus rajono savivaldybės teritorijos dalies („U“ žemės naudojimo funkcinės zonos Avižienių, Juodšilių, Nemėžio, Pagirių, Riešės, Rudaminos ir Zujūnų seniūnijose) bendrojo plano

Prašymas

2026-02-11

Informuojame apie pateiktą nagrinėti prašymą dėl žemės sklypo (kadastro Nr. 4167/0300:1225), esančio Vilniaus r. sav., Pagirių sen., Tarnėnų k. (toliau – Žemės sklypas) naudojimo būdo keitimo. Prašymo tikslas: 0,5500 ploto žemės ūkio paskirties Žemės sklypo žemės naudojimo būdo keitimas į kitos – vienbučių ir dvibučių gyvenamųjų pastatų teritorijos. Su prašymu galima susipažinti nuo 2026-02-11 iki 2026-02-26 Lietuvos Respublikos teritorijų planavimo dokumentų rengimo ir teritorijų planavimo proceso valstybės priežiūros informacinėje svetainėje (TPDRIS.lt) ir Vilniaus rajono savivaldybės interneto svetainėje (vrsa.lt). Pasiūlymus dėl pagrindinės žemės naudojimo paskirties ir žemės naudojimo būdo keitimo galima teikti iki 2026-02-26 Vilniaus rajono savivaldybės administracijai (Rinktinės g. 50, Vilnius) raštu ir Lietuvos Respublikos teritorijų planavimo dokumentų rengimo ir teritorijų planavimo proceso valstybinės priežiūros informacinėje sistemoje.

Ištrauka iš Kraštovaizdžio spec. plano

Prašymas

2026-02-11

Informuojame apie pateiktą nagrinėti prašymą dėl žemės sklypo (kadastro Nr. 4167/0300:1195), esančio Vilniaus r. sav., Pagirių sen., Keturiasdešimt Totorių k. (toliau – Žemės sklypas) naudojimo būdo keitimo. Prašymo tikslas: 0,5383 ploto žemės ūkio paskirties Žemės sklypo žemės naudojimo būdo keitimas į kitos – vienbučių ir dvibučių gyvenamųjų pastatų teritorijos. Su prašymu galima susipažinti nuo 2026-02-11 iki 2026-02-26 Lietuvos Respublikos teritorijų planavimo dokumentų rengimo ir teritorijų planavimo proceso valstybės priežiūros informacinėje svetainėje (TPDRIS.lt) ir Vilniaus rajono savivaldybės interneto svetainėje (vrsa.lt). Pasiūlymus dėl pagrindinės žemės naudojimo paskirties ir žemės naudojimo būdo keitimo galima teikti iki 2026-02-26 Vilniaus rajono savivaldybės administracijai (Rinktinės g. 50, Vilnius) raštu ir Lietuvos Respublikos teritorijų planavimo dokumentų rengimo ir teritorijų planavimo proceso valstybinės priežiūros informacinėje sistemoje.

Ištrauka iš Kraštovaizdžio spec. plano

Prašymas

2026-02-11

Informuojame apie pateiktą nagrinėti prašymą dėl žemės sklypo (kadastro Nr. 4167/0300:1194), esančio Vilniaus r. sav., Pagirių sen., Keturiasdešimt Totorių k. (toliau – Žemės sklypas) naudojimo būdo keitimo. Prašymo tikslas: 0,5200 ploto žemės ūkio paskirties Žemės sklypo žemės naudojimo būdo keitimas į kitos – vienbučių ir dvibučių gyvenamųjų pastatų teritorijos. Su prašymu galima susipažinti nuo 2026-02-11 iki 2026-02-26 Lietuvos Respublikos teritorijų planavimo dokumentų rengimo ir teritorijų planavimo proceso valstybės priežiūros informacinėje svetainėje (TPDRIS.lt) ir Vilniaus rajono savivaldybės interneto svetainėje (vrsa.lt). Pasiūlymus dėl pagrindinės žemės naudojimo paskirties ir žemės naudojimo būdo keitimo galima teikti iki 2026-02-26 Vilniaus rajono savivaldybės administracijai (Rinktinės g. 50, Vilnius) raštu ir Lietuvos Respublikos teritorijų planavimo dokumentų rengimo ir teritorijų planavimo proceso valstybinės priežiūros informacinėje sistemoje.

Ištrauka iš Kraštovaizdžio spec. plano

Prašymas

2026-02-11

Informuojame apie pateiktą nagrinėti prašymą dėl žemės sklypo (kadastro Nr. 4167/0300:862), esančio Vilniaus r. sav., Pagirių sen., Tarnėnų k. (toliau – Žemės sklypas) naudojimo būdo keitimo. Prašymo tikslas: 0,3841 ploto žemės ūkio paskirties Žemės sklypo žemės naudojimo būdo keitimas į kitos – vienbučių ir dvibučių gyvenamųjų pastatų teritorijos. Su prašymu galima susipažinti nuo 2026-02-11 iki 2026-02-26 Lietuvos Respublikos teritorijų planavimo dokumentų rengimo ir teritorijų planavimo proceso valstybės priežiūros informacinėje svetainėje (TPDRIS.lt) ir Vilniaus rajono savivaldybės interneto svetainėje (vrsa.lt). Pasiūlymus dėl pagrindinės žemės naudojimo paskirties ir žemės naudojimo būdo keitimo galima teikti iki 2026-02-26 Vilniaus rajono savivaldybės administracijai (Rinktinės g. 50, Vilnius) raštu ir Lietuvos Respublikos teritorijų planavimo dokumentų rengimo ir teritorijų planavimo proceso valstybinės priežiūros informacinėje sistemoje.

Ištrauka iš Kraštovaizdžio spec. plano

Prašymas

2026-02-11

Informuojame apie pateiktą nagrinėti prašymą dėl žemės sklypo (kadastro Nr. 4142/0700:317), esančio Vilniaus r. sav., Šatrininkų sen., Juodalaukio k. (toliau – Žemės sklypas) naudojimo būdo keitimo. Prašymo tikslas: 0,1000 ploto žemės ūkio paskirties Žemės sklypo žemės naudojimo būdo keitimas į kitos – vienbučių ir dvibučių gyvenamųjų pastatų teritorijos. Su prašymu galima susipažinti nuo 2026-02-11 iki 2026-02-26 Lietuvos Respublikos teritorijų planavimo dokumentų rengimo ir teritorijų planavimo proceso valstybės priežiūros informacinėje svetainėje (TPDRIS.lt) ir Vilniaus rajono savivaldybės interneto svetainėje (vrsa.lt). Pasiūlymus dėl pagrindinės žemės naudojimo paskirties ir žemės naudojimo būdo keitimo galima teikti iki 2026-02-26 Vilniaus rajono savivaldybės administracijai (Rinktinės g. 50, Vilnius) raštu ir Lietuvos Respublikos teritorijų planavimo dokumentų rengimo ir teritorijų planavimo proceso valstybinės priežiūros informacinėje sistemoje.

Ištrauka iš Kraštovaizdžio spec. plano

Prašymas

2026-02-11

Informuojame apie pateiktą nagrinėti prašymą dėl žemės sklypo (kadastro Nr. 4120/0100:231), esančio Vilniaus r. sav., Nemenčinės sen., Pučkalaukio k. (toliau – Žemės sklypas) naudojimo būdo keitimo. Prašymo tikslas: 1,7451 ploto žemės ūkio paskirties Žemės sklypo žemės naudojimo būdo keitimas į kitos – komercinės paskirties objektų teritorijos. Su prašymu galima susipažinti nuo 2026-02-11 iki 2026-02-26 Lietuvos Respublikos teritorijų planavimo dokumentų rengimo ir teritorijų planavimo proceso valstybės priežiūros informacinėje svetainėje (TPDRIS.lt) ir Vilniaus rajono savivaldybės interneto svetainėje (vrsa.lt). Pasiūlymus dėl pagrindinės žemės naudojimo paskirties ir žemės naudojimo būdo keitimo galima teikti iki 2026-02-26 Vilniaus rajono savivaldybės administracijai (Rinktinės g. 50, Vilnius) raštu ir Lietuvos Respublikos teritorijų planavimo dokumentų rengimo ir teritorijų planavimo proceso valstybinės priežiūros informacinėje sistemoje.

Ištrauka iš Kraštovaizdžio spec. plano

Prašymas

2026-02-11

Informuojame apie pateiktą nagrinėti prašymą dėl žemės sklypo (kadastro Nr. 4180/0100:403), esančio Vilniaus r. sav., Rukainių sen., Naujasėdžių k. (toliau – Žemės sklypas) naudojimo būdo keitimo. Prašymo tikslas: 0,9784 ploto žemės ūkio paskirties Žemės sklypo žemės naudojimo būdo keitimas į kitos – vienbučių ir dvibučių gyvenamųjų pastatų teritorijos. Su prašymu galima susipažinti nuo 2026-02-10 iki 2026-02-25 Lietuvos Respublikos teritorijų planavimo dokumentų rengimo ir teritorijų planavimo proceso valstybės priežiūros informacinėje svetainėje (TPDRIS.lt) ir Vilniaus rajono savivaldybės interneto svetainėje (vrsa.lt). Pasiūlymus dėl pagrindinės žemės naudojimo paskirties ir žemės naudojimo būdo keitimo galima teikti iki 2026-02-25 Vilniaus rajono savivaldybės administracijai (Rinktinės g. 50, Vilnius) raštu ir Lietuvos Respublikos teritorijų planavimo dokumentų rengimo ir teritorijų planavimo proceso valstybinės priežiūros informacinėje sistemoje.

Ištrauka iš Kraštovaizdžio spec. plano

Prašymas

2026-02-10

Informuojame apie pateiktą nagrinėti prašymą dėl žemės sklypo (kadastro Nr. 4167/0300:1182), esančio Vilniaus r. sav., Pagirių sen., Skurbutėnų k. (toliau – Žemės sklypas) naudojimo būdo keitimo. Prašymo tikslas: 0,1768 ploto žemės ūkio paskirties Žemės sklypo žemės naudojimo būdo keitimas į kitos – vienbučių ir dvibučių gyvenamųjų pastatų teritorijos. Su prašymu galima susipažinti nuo 2026-02-10 iki 2026-02-25 Lietuvos Respublikos teritorijų planavimo dokumentų rengimo ir teritorijų planavimo proceso valstybės priežiūros informacinėje svetainėje (TPDRIS.lt) ir Vilniaus rajono savivaldybės interneto svetainėje (vrsa.lt). Pasiūlymus dėl pagrindinės žemės naudojimo paskirties ir žemės naudojimo būdo keitimo galima teikti iki 2026-02-25 Vilniaus rajono savivaldybės administracijai (Rinktinės g. 50, Vilnius) raštu ir Lietuvos Respublikos teritorijų planavimo dokumentų rengimo ir teritorijų planavimo proceso valstybinės priežiūros informacinėje sistemoje.

Ištrauka iš Kraštovaizdžio spec. plano

Prašymas

2026-02-10

Informuojame apie pateiktą nagrinėti prašymą dėl žemės sklypo (kadastro Nr. 4184/0500:463), esančio Vilniaus r. sav., Sudervės sen., Sudervės k. (toliau – Žemės sklypas) naudojimo būdo keitimo. Prašymo tikslas: 0,5537 ploto žemės ūkio paskirties Žemės sklypo žemės naudojimo būdo keitimas į kitos – vienbučių ir dvibučių gyvenamųjų pastatų teritorijos. Su prašymu galima susipažinti nuo 2026-02-10 iki 2026-02-25 Lietuvos Respublikos teritorijų planavimo dokumentų rengimo ir teritorijų planavimo proceso valstybės priežiūros informacinėje svetainėje (TPDRIS.lt) ir Vilniaus rajono savivaldybės interneto svetainėje (vrsa.lt). Pasiūlymus dėl pagrindinės žemės naudojimo paskirties ir žemės naudojimo būdo keitimo galima teikti iki 2026-02-25 Vilniaus rajono savivaldybės administracijai (Rinktinės g. 50, Vilnius) raštu ir Lietuvos Respublikos teritorijų planavimo dokumentų rengimo ir teritorijų planavimo proceso valstybinės priežiūros informacinėje sistemoje.

Vilniaus rajono savivaldybės teritorijos dalies („ZRg“ žemės naudojimo funkcinės zonos Sudervės seniūnijoje) bendrojo plano ištrauka

Prašymas

2026-02-10

Priimtas sprendimas dėl  kitos paskirties – daugiabučių gyvenamųjų pastatų ir bendrabučių teritorijos – žemės sklypo (kadastro Nr. 4174/0100:1894), esančio Vilniaus r. sav., Avižienių sen., Riešės k., Pergalės g. 1A,  žemės naudojimo būdo keitimo.

Sprendimas

2026-02-06

Informuojame apie pateiktą nagrinėti prašymą dėl žemės sklypo (kad. Nr. 4110/0400:236), esančio Vilniaus r. sav., Zujūnų sen., Koplyčninkų k. (toliau – Žemės sklypi) pagrindinės žemės naudojimo paskirties ir  naudojimo būdo keitimo. Prašymo tikslas: 0,4847 ploto žemės ūkio paskirties Žemės sklypo pagrindinės žemės naudojimo paskirties ir žemės naudojimo būdo keitimas į kitos – vienbučių ir dvibučių gyvenamųjų pastatų teritorijos. Su prašymu galima susipažinti nuo 2026-02-06 iki 2026-02-23 Lietuvos Respublikos teritorijų planavimo dokumentų rengimo ir teritorijų planavimo proceso valstybės priežiūros informacinėje svetainėje (TPDRIS.lt) ir Vilniaus rajono savivaldybės interneto svetainėje (vrsa.lt). Pasiūlymus dėl pagrindinės žemės naudojimo paskirties ir žemės naudojimo būdo keitimo galima teikti iki 2026-02-23 Vilniaus rajono savivaldybės administracijai (Rinktinės g. 50, Vilnius) raštu ir Lietuvos Respublikos teritorijų planavimo dokumentų rengimo ir teritorijų planavimo proceso valstybinės priežiūros informacinėje sistemoje.

Ištrauka iš Kraštovaizdžio spec. plano

Prašymas

2026-02-06

Informuojame apie pateiktą nagrinėti prašymą dėl žemės sklypo (kad. Nr.4177/0400:707), esančio Vilniaus r. sav., Rudaminos sen., Rudaminos mstl. (toliau – Žemės sklypi) pagrindinės žemės naudojimo paskirties ir  naudojimo būdo keitimo. Prašymo tikslas: 0,6500 ploto žemės ūkio paskirties Žemės sklypo pagrindinės žemės naudojimo paskirties ir žemės naudojimo būdo keitimas į kitos – visuomeninės paskirties teritorijos. Su prašymu galima susipažinti nuo 2026-02-05 iki 2026-02-20 Lietuvos Respublikos teritorijų planavimo dokumentų rengimo ir teritorijų planavimo proceso valstybės priežiūros informacinėje svetainėje (TPDRIS.lt) ir Vilniaus rajono savivaldybės interneto svetainėje (vrsa.lt). Pasiūlymus dėl pagrindinės žemės naudojimo paskirties ir žemės naudojimo būdo keitimo galima teikti iki 2026-02-20 Vilniaus rajono savivaldybės administracijai (Rinktinės g. 50, Vilnius) raštu ir Lietuvos Respublikos teritorijų planavimo dokumentų rengimo ir teritorijų planavimo proceso valstybinės priežiūros informacinėje sistemoje.

Ištrauka iš Vilniaus rajono savivaldybės teritorijos dalies („U“ žemės naudojimo funkcinės zonos Avižienių, Juodšilių, Nemėžio, Pagirių, Riešės, Rudaminos ir Zujūnų seniūnijose) bendrojo plano

Prašymas

2026-02-05

Informuojame apie pateiktą nagrinėti prašymą dėl žemės sklypo (kad. Nr.4167/0200:1811), esančio Vilniaus r. sav., Pagirių sen., Melekonių k. (toliau – Žemės sklypi) pagrindinės žemės naudojimo paskirties ir  naudojimo būdo keitimo. Prašymo tikslas: 0,7815 ploto žemės ūkio paskirties Žemės sklypo pagrindinės žemės naudojimo paskirties ir žemės naudojimo būdo keitimas į kitos – komercinės paskirties objektų teritorijos. Su prašymu galima susipažinti nuo 2026-02-04 iki 2026-02-19 Lietuvos Respublikos teritorijų planavimo dokumentų rengimo ir teritorijų planavimo proceso valstybės priežiūros informacinėje svetainėje (TPDRIS.lt) ir Vilniaus rajono savivaldybės interneto svetainėje (vrsa.lt). Pasiūlymus dėl pagrindinės žemės naudojimo paskirties ir žemės naudojimo būdo keitimo galima teikti iki 2026-02-19 Vilniaus rajono savivaldybės administracijai (Rinktinės g. 50, Vilnius) raštu ir Lietuvos Respublikos teritorijų planavimo dokumentų rengimo ir teritorijų planavimo proceso valstybinės priežiūros informacinėje sistemoje.

Ištrauka iš Kraštovaizdžio spec. plano

Prašymas

2026-02-04

Informuojame apie pateiktą nagrinėti prašymą dėl žemės sklypo (kad. Nr. 4107/0100:22), esančio Vilniaus r. sav., Bezdonių sen., Vilkiškių k. (toliau – Žemės sklypi) pagrindinės žemės naudojimo paskirties ir  naudojimo būdo keitimo. Prašymo tikslas: 1,9400 ploto žemės ūkio paskirties Žemės sklypo pagrindinės žemės naudojimo paskirties ir žemės naudojimo būdo keitimas į kitos – vienbučių ir dvibučių gyvenamųjų pastatų teritorijos. Su prašymu galima susipažinti nuo 2026-02-04 iki 2026-02-19 Lietuvos Respublikos teritorijų planavimo dokumentų rengimo ir teritorijų planavimo proceso valstybės priežiūros informacinėje svetainėje (TPDRIS.lt) ir Vilniaus rajono savivaldybės interneto svetainėje (vrsa.lt). Pasiūlymus dėl pagrindinės žemės naudojimo paskirties ir žemės naudojimo būdo keitimo galima teikti iki 2026-02-19 Vilniaus rajono savivaldybės administracijai (Rinktinės g. 50, Vilnius) raštu ir Lietuvos Respublikos teritorijų planavimo dokumentų rengimo ir teritorijų planavimo proceso valstybinės priežiūros informacinėje sistemoje.

Ištrauka iš Kraštovaizdžio spec. plano

Prašymas

2026-02-04

Informuojame apie pateiktą nagrinėti prašymą dėl žemės sklypo (kad. Nr.4177/0200:860), esančio Vilniaus r. sav., Rudaminos sen., Rudaminos mstl. (toliau – Žemės sklypi) pagrindinės žemės naudojimo paskirties ir  naudojimo būdo keitimo. Prašymo tikslas: 0,3957 ploto žemės ūkio paskirties Žemės sklypo pagrindinės žemės naudojimo paskirties ir žemės naudojimo būdo keitimas į kitos – vienbučių ir dvibučių gyvenamųjų pastatų teritorijos. Su prašymu galima susipažinti nuo 2026-02-03 iki 2026-02-18 Lietuvos Respublikos teritorijų planavimo dokumentų rengimo ir teritorijų planavimo proceso valstybės priežiūros informacinėje svetainėje (TPDRIS.lt) ir Vilniaus rajono savivaldybės interneto svetainėje (vrsa.lt). Pasiūlymus dėl pagrindinės žemės naudojimo paskirties ir žemės naudojimo būdo keitimo galima teikti iki 2026-02-18 Vilniaus rajono savivaldybės administracijai (Rinktinės g. 50, Vilnius) raštu ir Lietuvos Respublikos teritorijų planavimo dokumentų rengimo ir teritorijų planavimo proceso valstybinės priežiūros informacinėje sistemoje.

Ištrauka iš Vilniaus rajono savivaldybės teritorijos dalies („U“ žemės naudojimo funkcinės zonos Avižienių, Juodšilių, Nemėžio, Pagirių, Riešės, Rudaminos ir Zujūnų seniūnijose) bendrojo plano

Prašymas

2026-02-03

Priimtas sprendimas dėl  ploto žemės ūkio paskirties – kiti žemės ūkio paskirties žemės sklypai – žemės sklypo (kadastro Nr. 4174/0100:1223), esančio Vilniaus r. sav., Avižienių sen., Lindiniškių k., pagrindinės žemės naudojimo paskirties ir žemės naudojimo būdo keitimo.

Sprendimas

2026-02-02

Informuojame apie pateiktą nagrinėti prašymą dėl žemės sklypo (kad. Nr. 4152/1700:747), esančio Vilniaus r. sav., Mickūnų sen., Parūdupių k. (toliau – Žemės sklypi) pagrindinės žemės naudojimo paskirties ir  naudojimo būdo keitimo. Prašymo tikslas: 0,1398 ploto žemės ūkio paskirties Žemės sklypo pagrindinės žemės naudojimo paskirties ir žemės naudojimo būdo keitimas į kitos – vienbučių ir dvibučių gyvenamųjų pastatų teritorijos. Su prašymu galima susipažinti nuo 2026-01-30 iki 2026-02-13 Lietuvos Respublikos teritorijų planavimo dokumentų rengimo ir teritorijų planavimo proceso valstybės priežiūros informacinėje svetainėje (TPDRIS.lt) ir Vilniaus rajono savivaldybės interneto svetainėje (vrsa.lt). Pasiūlymus dėl pagrindinės žemės naudojimo paskirties ir žemės naudojimo būdo keitimo galima teikti iki 2026-02-13 Vilniaus rajono savivaldybės administracijai (Rinktinės g. 50, Vilnius) raštu ir Lietuvos Respublikos teritorijų planavimo dokumentų rengimo ir teritorijų planavimo proceso valstybinės priežiūros informacinėje sistemoje.

Ištrauka iš Kraštovaizdžio spec. plano

Prašymas

2026-01-30

Informuojame apie pateiktą nagrinėti prašymą dėl žemės sklypo (kad. Nr. 4117/0600:1), esančio Vilniaus r. sav., Riešės sen., Vanaginės k. (toliau – Žemės sklypi) pagrindinės žemės naudojimo paskirties ir  naudojimo būdo keitimo. Prašymo tikslas: 0,2842 ploto žemės ūkio paskirties Žemės sklypo pagrindinės žemės naudojimo paskirties ir žemės naudojimo būdo keitimas į kitos – komercinės paskirties ojektų teritorijos. Su prašymu galima susipažinti nuo 2026-01-29 iki 2026-02-12 Lietuvos Respublikos teritorijų planavimo dokumentų rengimo ir teritorijų planavimo proceso valstybės priežiūros informacinėje svetainėje (TPDRIS.lt) ir Vilniaus rajono savivaldybės interneto svetainėje (vrsa.lt). Pasiūlymus dėl pagrindinės žemės naudojimo paskirties ir žemės naudojimo būdo keitimo galima teikti iki 2026-02-12 Vilniaus rajono savivaldybės administracijai (Rinktinės g. 50, Vilnius) raštu ir Lietuvos Respublikos teritorijų planavimo dokumentų rengimo ir teritorijų planavimo proceso valstybinės priežiūros informacinėje sistemoje.

Ištrauka iš Kraštovaizdžio spec. planoIštrauka iš Vilniaus rajono savivaldybės teritorijos dalies („U“ žemės naudojimo funkcinės zonos Avižienių, Juodšilių, Nemėžio, Pagirių, Riešės, Rudaminos ir Zujūnų seniūnijose) bendrojo plano

Prašymas

2026-01-29

Informuojame apie pateiktą nagrinėti prašymą dėl žemės sklypo (kad. Nr. 4152/1700:30 ), esančio Vilniaus r. sav., Mickūnų sen., Parūdupių k. (toliau – Žemės sklypi) pagrindinės žemės naudojimo paskirties ir  naudojimo būdo keitimo. Prašymo tikslas: 0,1900 ploto žemės ūkio paskirties Žemės sklypo pagrindinės žemės naudojimo paskirties ir žemės naudojimo būdo keitimas į kitos – vienbučių ir dvibučių gyvenamųjų pastatų teritorijos. Su prašymu galima susipažinti nuo 2026-01-29 iki 2026-02-12 Lietuvos Respublikos teritorijų planavimo dokumentų rengimo ir teritorijų planavimo proceso valstybės priežiūros informacinėje svetainėje (TPDRIS.lt) ir Vilniaus rajono savivaldybės interneto svetainėje (vrsa.lt). Pasiūlymus dėl pagrindinės žemės naudojimo paskirties ir žemės naudojimo būdo keitimo galima teikti iki 2026-02-12 Vilniaus rajono savivaldybės administracijai (Rinktinės g. 50, Vilnius) raštu ir Lietuvos Respublikos teritorijų planavimo dokumentų rengimo ir teritorijų planavimo proceso valstybinės priežiūros informacinėje sistemoje.

Ištrauka iš Kraštovaizdžio spec. plano

Prašymas

2026-01-29

Informuojame apie pateiktą nagrinėti prašymą dėl žemės sklypo (kad. Nr. 4162/0200:953 ), esančio Vilniaus r. sav., Šatrininkų sen., Grigaičių mstl. (toliau – Žemės sklypi) pagrindinės žemės naudojimo paskirties ir  naudojimo būdo keitimo. Prašymo tikslas: 0,3700 ploto žemės ūkio paskirties Žemės sklypo pagrindinės žemės naudojimo paskirties ir žemės naudojimo būdo keitimas į kitos – vienbučių ir dvibučių gyvenamųjų pastatų teritorijos. Su prašymu galima susipažinti nuo 2026-01-28 iki 2026-02-11 Lietuvos Respublikos teritorijų planavimo dokumentų rengimo ir teritorijų planavimo proceso valstybės priežiūros informacinėje svetainėje (TPDRIS.lt) ir Vilniaus rajono savivaldybės interneto svetainėje (vrsa.lt). Pasiūlymus dėl pagrindinės žemės naudojimo paskirties ir žemės naudojimo būdo keitimo galima teikti iki 2026-02-11 Vilniaus rajono savivaldybės administracijai (Rinktinės g. 50, Vilnius) raštu ir Lietuvos Respublikos teritorijų planavimo dokumentų rengimo ir teritorijų planavimo proceso valstybinės priežiūros informacinėje sistemoje.

Ištrauka iš Kraštovaizdžio spec. plano

Prašymas

2026-01-28

Informuojame apie pateiktą nagrinėti prašymą dėl žemės sklypo (kad. Nr. 4162/0200:953 ), esančio Vilniaus r. sav., Nemėžio sen., Didžiasalio k. (toliau – Žemės sklypi) pagrindinės žemės naudojimo paskirties ir  naudojimo būdo keitimo. Prašymo tikslas: 0,9240 ploto žemės ūkio paskirties Žemės sklypo pagrindinės žemės naudojimo paskirties ir žemės naudojimo būdo keitimas į kitos – vienbučių ir dvibučių gyvenamųjų pastatų teritorijos. Su prašymu galima susipažinti nuo 2026-01-28 iki 2026-02-11 Lietuvos Respublikos teritorijų planavimo dokumentų rengimo ir teritorijų planavimo proceso valstybės priežiūros informacinėje svetainėje (TPDRIS.lt) ir Vilniaus rajono savivaldybės interneto svetainėje (vrsa.lt). Pasiūlymus dėl pagrindinės žemės naudojimo paskirties ir žemės naudojimo būdo keitimo galima teikti iki 2026-02-11 Vilniaus rajono savivaldybės administracijai (Rinktinės g. 50, Vilnius) raštu ir Lietuvos Respublikos teritorijų planavimo dokumentų rengimo ir teritorijų planavimo proceso valstybinės priežiūros informacinėje sistemoje.

Ištrauka iš Kraštovaizdžio spec. plano

Prašymas

2026-01-28

Informuojame apie pateiktą nagrinėti prašymą dėl žemės sklypo (kad. Nr. 4167/0100:683), esančio Vilniaus r. sav., Pagirių sen., Pagirių mstl. (toliau – Žemės sklypi) pagrindinės žemės naudojimo paskirties ir  naudojimo būdo keitimo. Prašymo tikslas: 0,2260 ploto žemės ūkio paskirties Žemės sklypo pagrindinės žemės naudojimo paskirties ir žemės naudojimo būdo keitimas į kitos – vienbučių ir dvibučių gyvenamųjų pastatų teritorijos. Su prašymu galima susipažinti nuo 2026-01-28 iki 2026-02-11 Lietuvos Respublikos teritorijų planavimo dokumentų rengimo ir teritorijų planavimo proceso valstybės priežiūros informacinėje svetainėje (TPDRIS.lt) ir Vilniaus rajono savivaldybės interneto svetainėje (vrsa.lt). Pasiūlymus dėl pagrindinės žemės naudojimo paskirties ir žemės naudojimo būdo keitimo galima teikti iki 2026-02-11 Vilniaus rajono savivaldybės administracijai (Rinktinės g. 50, Vilnius) raštu ir Lietuvos Respublikos teritorijų planavimo dokumentų rengimo ir teritorijų planavimo proceso valstybinės priežiūros informacinėje sistemoje.

Ištrauka iš Vilniaus rajono savivaldybės teritorijos dalies („U“ žemės naudojimo funkcinės zonos Avižienių, Juodšilių, Nemėžio, Pagirių, Riešės, Rudaminos ir Zujūnų seniūnijose) bendrojo plano

Prašymas

2026-01-28

Informuojame apie pateiktą nagrinėti prašymą dėl žemės sklypo (kadastro Nr. 4144/0500:293), esančio Vilniaus r. sav., Lavoriškių sen., Lavoriškių k. (toliau – Žemės sklypas) naudojimo būdo keitimo. Prašymo tikslas: 0,0600 ploto žemės ūkio paskirties Žemės sklypo žemės naudojimo būdo keitimas į kitos – vienbučių ir dvibučių gyvenamųjų pastatų teritorijos. Su prašymu galima susipažinti nuo 2026-01-27 iki 2026-02-10 Lietuvos Respublikos teritorijų planavimo dokumentų rengimo ir teritorijų planavimo proceso valstybės priežiūros informacinėje svetainėje (TPDRIS.lt) ir Vilniaus rajono savivaldybės interneto svetainėje (vrsa.lt). Pasiūlymus dėl pagrindinės žemės naudojimo paskirties ir žemės naudojimo būdo keitimo galima teikti iki 2026-02-10 Vilniaus rajono savivaldybės administracijai (Rinktinės g. 50, Vilnius) raštu ir Lietuvos Respublikos teritorijų planavimo dokumentų rengimo ir teritorijų planavimo proceso valstybinės priežiūros informacinėje sistemoje.

Ištrauka iš Kraštovaizdžio spec. plano

Prašymas

2026-01-27

Informuojame apie pateiktą nagrinėti prašymą dėl žemės sklypo (kadastro Nr. 4144/0500:292), esančio Vilniaus r. sav., Lavoriškių sen., Lavoriškių k. (toliau – Žemės sklypas) naudojimo būdo keitimo. Prašymo tikslas: 0,2642ploto žemės ūkio paskirties Žemės sklypo žemės naudojimo būdo keitimas į kitos – vienbučių ir dvibučių gyvenamųjų pastatų teritorijos. Su prašymu galima susipažinti nuo 2026-01-27 iki 2026-02-10 Lietuvos Respublikos teritorijų planavimo dokumentų rengimo ir teritorijų planavimo proceso valstybės priežiūros informacinėje svetainėje (TPDRIS.lt) ir Vilniaus rajono savivaldybės interneto svetainėje (vrsa.lt). Pasiūlymus dėl pagrindinės žemės naudojimo paskirties ir žemės naudojimo būdo keitimo galima teikti iki 2026-02-10 Vilniaus rajono savivaldybės administracijai (Rinktinės g. 50, Vilnius) raštu ir Lietuvos Respublikos teritorijų planavimo dokumentų rengimo ir teritorijų planavimo proceso valstybinės priežiūros informacinėje sistemoje.

Ištrauka iš Kraštovaizdžio spec. plano

Prašymas

2026-01-27

Informuojame apie pateiktą nagrinėti prašymą dėl žemės sklypo (kadastro Nr. 4187/0100:157), esančio Vilniaus r. sav., Sužionių sen., Sužionių k., Vilniaus g. 14 (toliau – Žemės sklypas) naudojimo būdo keitimo. Prašymo tikslas: 0,1498 ploto žemės ūkio paskirties Žemės sklypo žemės naudojimo būdo keitimas į kitos – vienbučių ir dvibučių gyvenamųjų pastatų teritorijos. Su prašymu galima susipažinti nuo 2026-01-27 iki 2026-02-10 Lietuvos Respublikos teritorijų planavimo dokumentų rengimo ir teritorijų planavimo proceso valstybės priežiūros informacinėje svetainėje (TPDRIS.lt) ir Vilniaus rajono savivaldybės interneto svetainėje (vrsa.lt). Pasiūlymus dėl pagrindinės žemės naudojimo paskirties ir žemės naudojimo būdo keitimo galima teikti iki 2026-02-10 Vilniaus rajono savivaldybės administracijai (Rinktinės g. 50, Vilnius) raštu ir Lietuvos Respublikos teritorijų planavimo dokumentų rengimo ir teritorijų planavimo proceso valstybinės priežiūros informacinėje sistemoje.

Ištrauka iš Kraštovaizdžio spec. plano

Prašymas

2026-01-27

Informuojame apie pateiktą nagrinėti prašymą dėl žemės sklypo (kadastro Nr. 4147/0200:77), esančio Vilniaus r. sav., Maišiagalos sen., Maišiagalos mstl. (toliau – Žemės sklypas) naudojimo būdo keitimo. Prašymo tikslas: 2,2700 ploto žemės ūkio paskirties Žemės sklypo žemės naudojimo būdo keitimas į kitos – vienbučių ir dvibučių gyvenamųjų pastatų teritorijos. Su prašymu galima susipažinti nuo 2026-01-27 iki 2026-02-10 Lietuvos Respublikos teritorijų planavimo dokumentų rengimo ir teritorijų planavimo proceso valstybės priežiūros informacinėje svetainėje (TPDRIS.lt) ir Vilniaus rajono savivaldybės interneto svetainėje (vrsa.lt). Pasiūlymus dėl pagrindinės žemės naudojimo paskirties ir žemės naudojimo būdo keitimo galima teikti iki 2026-02-10 Vilniaus rajono savivaldybės administracijai (Rinktinės g. 50, Vilnius) raštu ir Lietuvos Respublikos teritorijų planavimo dokumentų rengimo ir teritorijų planavimo proceso valstybinės priežiūros informacinėje sistemoje.

Ištrauka iš Kraštovaizdžio spec. plano

Prašymas

2026-01-27

Priimtas sprendimas dėl  žemės ūkio paskirties – kiti žemės ūkio paskirties žemės sklypai – žemės sklypo (kadastro Nr. 4154/2000:835), esančio Vilniaus r. sav., Marijampolio sen., Marijampolio k., pagrindinės žemės naudojimo paskirties ir žemės naudojimo būdo keitimo.

Sprendimas

2026-01-22

Informuojame apie pateiktą nagrinėti prašymą dėl žemės sklypo (kadastro Nr. 4150/0800:164), esančio Vilniaus r. sav., Medininkų sen., Alaburdiškių vs. 2 (toliau – Žemės sklypas) naudojimo būdo keitimo. Prašymo tikslas: 0,0800 ploto kitos paskirties Žemės sklypo žemės naudojimo būdo keitimas į kitos – susisiekimo ir nžinerinių tinklų objektų aptarnavimo teritorijos. Su prašymu galima susipažinti nuo 2026-01-23 iki 2026-02-06 Lietuvos Respublikos teritorijų planavimo dokumentų rengimo ir teritorijų planavimo proceso valstybės priežiūros informacinėje svetainėje (TPDRIS.lt) ir Vilniaus rajono savivaldybės interneto svetainėje (vrsa.lt). Pasiūlymus dėl pagrindinės žemės naudojimo paskirties ir žemės naudojimo būdo keitimo galima teikti iki 2026-02-06 Vilniaus rajono savivaldybės administracijai (Rinktinės g. 50, Vilnius) raštu ir Lietuvos Respublikos teritorijų planavimo dokumentų rengimo ir teritorijų planavimo proceso valstybinės priežiūros informacinėje sistemoje.

Ištrauka iš Kraštovaizdžio spec. plano

Prašymas

2026-01-23

Informuojame apie pateiktą nagrinėti prašymą dėl žemės sklypo (kad. Nr. 4162/0200:113), esančio Vilniaus r. sav., Nemėžio sen., Didžiasalio k., Ežero g. 10 (toliau – Žemės sklypi)  naudojimo būdo nustatymo. Prašymo tikslas: 2,1973 ploto kitos paskirties Žemės sklypo žemės naudojimo būdo nustatymas. Su prašymu galima susipažinti nuo 2026-01-21 iki 2026-02-04 Lietuvos Respublikos teritorijų planavimo dokumentų rengimo ir teritorijų planavimo proceso valstybės priežiūros informacinėje svetainėje (TPDRIS.lt) ir Vilniaus rajono savivaldybės interneto svetainėje (vrsa.lt). Pasiūlymus dėl pagrindinės žemės naudojimo paskirties ir žemės naudojimo būdo keitimo galima teikti iki 2026-02-04 Vilniaus rajono savivaldybės administracijai (Rinktinės g. 50, Vilnius) raštu ir Lietuvos Respublikos teritorijų planavimo dokumentų rengimo ir teritorijų planavimo proceso valstybinės priežiūros informacinėje sistemoje.

Ištrauka iš Vilniaus rajono savivaldybės teritorijos dalies („U“ žemės naudojimo funkcinės zonos Avižienių, Juodšilių, Nemėžio, Pagirių, Riešės, Rudaminos ir Zujūnų seniūnijose) bendrojo plano

Prašymas

2026-01-21

Informuojame apie pateiktą nagrinėti prašymą dėl žemės sklypo (kad. Nr. 4167/0100:438), esančio Vilniaus r. sav., Pagirių sen., Baltosios Vokės k. (toliau – Žemės sklypi) pagrindinės žemės naudojimo paskirties ir  naudojimo būdo keitimo. Prašymo tikslas: 0,0199 ploto žemės ūkio paskirties Žemės sklypo pagrindinės žemės naudojimo paskirties ir žemės naudojimo būdo keitimas į kitos – vienbučių ir dvibučių gyvenamųjų pastatų teritorijos. Su prašymu galima susipažinti nuo 2026-01-21 iki 2026-02-04 Lietuvos Respublikos teritorijų planavimo dokumentų rengimo ir teritorijų planavimo proceso valstybės priežiūros informacinėje svetainėje (TPDRIS.lt) ir Vilniaus rajono savivaldybės interneto svetainėje (vrsa.lt). Pasiūlymus dėl pagrindinės žemės naudojimo paskirties ir žemės naudojimo būdo keitimo galima teikti iki 2026-02-04 Vilniaus rajono savivaldybės administracijai (Rinktinės g. 50, Vilnius) raštu ir Lietuvos Respublikos teritorijų planavimo dokumentų rengimo ir teritorijų planavimo proceso valstybinės priežiūros informacinėje sistemoje.

Ištrauka iš Vilniaus rajono savivaldybės teritorijos dalies („U“ žemės naudojimo funkcinės zonos Avižienių, Juodšilių, Nemėžio, Pagirių, Riešės, Rudaminos ir Zujūnų seniūnijose) bendrojo plano

Prašymas

2026-01-21

 

 

Informuojame apie pateiktą nagrinėti prašymą dėl žemės sklypo (kadastro Nr. 4174/0300:0054), esančio Vilniaus r. sav., Avižienių sen., Laidagalių k. (toliau – Žemės sklypas) naudojimo būdo keitimo. Prašymo tikslas: 0,9361 ploto žemės ūkio paskirties Žemės sklypo žemės naudojimo būdo keitimas į kitos – vienbučių ir dvibučių gyvenamųjų pastatų teritorijos. Su prašymu galima susipažinti nuo 2026-01-21 iki 2026-02-04 Lietuvos Respublikos teritorijų planavimo dokumentų rengimo ir teritorijų planavimo proceso valstybės priežiūros informacinėje svetainėje (TPDRIS.lt) ir Vilniaus rajono savivaldybės interneto svetainėje (vrsa.lt). Pasiūlymus dėl pagrindinės žemės naudojimo paskirties ir žemės naudojimo būdo keitimo galima teikti iki 2026-02-04 Vilniaus rajono savivaldybės administracijai (Rinktinės g. 50, Vilnius) raštu ir Lietuvos Respublikos teritorijų planavimo dokumentų rengimo ir teritorijų planavimo proceso valstybinės priežiūros informacinėje sistemoje.

Ištrauka iš Kraštovaizdžio spec. plano

Prašymas

2026-01-21

Informuojame apie pateiktą nagrinėti prašymą dėl žemės sklypo (kadastro Nr. 4184/0100:1491), esančio Vilniaus r. sav., Sudervės sen., Žemagulių k. (toliau – Žemės sklypas) naudojimo būdo keitimo. Prašymo tikslas: 0,5040 ploto žemės ūkio paskirties Žemės sklypo žemės naudojimo būdo keitimas į kitos – vienbučių ir dvibučių gyvenamųjų pastatų teritorijos. Su prašymu galima susipažinti nuo 2026-01-21 iki 2026-02-04 Lietuvos Respublikos teritorijų planavimo dokumentų rengimo ir teritorijų planavimo proceso valstybės priežiūros informacinėje svetainėje (TPDRIS.lt) ir Vilniaus rajono savivaldybės interneto svetainėje (vrsa.lt). Pasiūlymus dėl pagrindinės žemės naudojimo paskirties ir žemės naudojimo būdo keitimo galima teikti iki 2026-02-04 Vilniaus rajono savivaldybės administracijai (Rinktinės g. 50, Vilnius) raštu ir Lietuvos Respublikos teritorijų planavimo dokumentų rengimo ir teritorijų planavimo proceso valstybinės priežiūros informacinėje sistemoje.

Vilniaus rajono savivaldybės teritorijos dalies („ZRg“ žemės naudojimo funkcinės zonos Sudervės seniūnijoje) bendrojo plano ištrauka

Prašymas

2026-01-21

Informuojame apie pateiktą nagrinėti prašymą dėl žemės sklypo (kadastro Nr. 4110/0600:441), esančio Vilniaus r. sav., Zujūnų sen., Dvarykščių k. (toliau – Žemės sklypas) naudojimo būdo keitimo. Prašymo tikslas: 1,5868 ploto žemės ūkio paskirties Žemės sklypo žemės naudojimo būdo keitimas į kitos – vienbučių ir dvibučių gyvenamųjų pastatų teritorijos. Su prašymu galima susipažinti nuo 2026-01-21 iki 2026-02-04 Lietuvos Respublikos teritorijų planavimo dokumentų rengimo ir teritorijų planavimo proceso valstybės priežiūros informacinėje svetainėje (TPDRIS.lt) ir Vilniaus rajono savivaldybės interneto svetainėje (vrsa.lt). Pasiūlymus dėl pagrindinės žemės naudojimo paskirties ir žemės naudojimo būdo keitimo galima teikti iki 2026-02-04 Vilniaus rajono savivaldybės administracijai (Rinktinės g. 50, Vilnius) raštu ir Lietuvos Respublikos teritorijų planavimo dokumentų rengimo ir teritorijų planavimo proceso valstybinės priežiūros informacinėje sistemoje.

Ištrauka iš Kraštovaizdžio spec. plano

Prašymas

2026-01-21

Informuojame apie pateiktą nagrinėti prašymą dėl žemės sklypo (kadastro Nr. 4110/0600:442), esančio Vilniaus r. sav., Zujūnų sen., Dvarykščių k. (toliau – Žemės sklypas) naudojimo būdo keitimo. Prašymo tikslas: 2,2141 ploto žemės ūkio paskirties Žemės sklypo žemės naudojimo būdo keitimas į kitos – vienbučių ir dvibučių gyvenamųjų pastatų teritorijos. Su prašymu galima susipažinti nuo 2026-01-21 iki 2026-02-04 Lietuvos Respublikos teritorijų planavimo dokumentų rengimo ir teritorijų planavimo proceso valstybės priežiūros informacinėje svetainėje (TPDRIS.lt) ir Vilniaus rajono savivaldybės interneto svetainėje (vrsa.lt). Pasiūlymus dėl pagrindinės žemės naudojimo paskirties ir žemės naudojimo būdo keitimo galima teikti iki 2026-02-04 Vilniaus rajono savivaldybės administracijai (Rinktinės g. 50, Vilnius) raštu ir Lietuvos Respublikos teritorijų planavimo dokumentų rengimo ir teritorijų planavimo proceso valstybinės priežiūros informacinėje sistemoje.

Ištrauka iš Kraštovaizdžio spec. plano

Prašymas

2026-01-21

Informuojame apie pateiktą nagrinėti prašymą dėl žemės sklypo (kad. Nr. 4103/0100:645), esančio Vilniaus r. sav., Avižienių sen., Pikutiškių k. (toliau – Žemės sklypi) pagrindinės žemės naudojimo paskirties ir  naudojimo būdo keitimo. Prašymo tikslas: 0,3183 ploto žemės ūkio paskirties Žemės sklypo pagrindinės žemės naudojimo paskirties ir žemės naudojimo būdo keitimas į kitos – susisiekimo ir ninžinerinių tinjklų koridorių teritorijos. Su prašymu galima susipažinti nuo 2026-01-20 iki 2026-02-03 Lietuvos Respublikos teritorijų planavimo dokumentų rengimo ir teritorijų planavimo proceso valstybės priežiūros informacinėje svetainėje (TPDRIS.lt) ir Vilniaus rajono savivaldybės interneto svetainėje (vrsa.lt). Pasiūlymus dėl pagrindinės žemės naudojimo paskirties ir žemės naudojimo būdo keitimo galima teikti iki 2026-02-03 Vilniaus rajono savivaldybės administracijai (Rinktinės g. 50, Vilnius) raštu ir Lietuvos Respublikos teritorijų planavimo dokumentų rengimo ir teritorijų planavimo proceso valstybinės priežiūros informacinėje sistemoje.

Ištrauka iš Vilniaus rajono savivaldybės teritorijos dalies („U“ žemės naudojimo funkcinės zonos Avižienių, Juodšilių, Nemėžio, Pagirių, Riešės, Rudaminos ir Zujūnų seniūnijose) bendrojo plano

Prašymas

2026-01-20

Priimtas sprendimas dėl  žemės ūkio paskirties – kiti žemės ūkio paskirties žemės sklypai – žemės sklypo (kadastro Nr. 4174/0100:2046), esančio Vilniaus r. sav., Avižienių sen., Lindiniškių k., pagrindinės žemės naudojimo paskirties ir žemės naudojimo būdo keitimo.

Sprendimas

2026-01-14

Priimtas sprendimas dėl  žemės ūkio paskirties – kiti žemės ūkio paskirties žemės sklypai – žemės sklypo (kadastro Nr. 4174/0100:2045), esančio Vilniaus r. sav., Avižienių sen., Lindiniškių k., pagrindinės žemės naudojimo paskirties ir žemės naudojimo būdo keitimo.

Sprendimas

2026-01-14

Informuojame apie pateiktą nagrinėti prašymą dėl žemės sklypo (kad. Nr. 4142/0500:54), esančio Vilniaus r. sav., Šatrininkų sen., Šiaudinės k. (toliau – Žemės sklypi) pagrindinės žemės naudojimo paskirties ir  naudojimo būdo keitimo. Prašymo tikslas: 1,2350 ploto žemės ūkio paskirties Žemės sklypo pagrindinės žemės naudojimo paskirties ir žemės naudojimo būdo keitimas į kitos – vienbučių ir dvibučių gyvenamųjų pastatų teritorijos. Su prašymu galima susipažinti nuo 2026-01-15 iki 2026-01-29 Lietuvos Respublikos teritorijų planavimo dokumentų rengimo ir teritorijų planavimo proceso valstybės priežiūros informacinėje svetainėje (TPDRIS.lt) ir Vilniaus rajono savivaldybės interneto svetainėje (vrsa.lt). Pasiūlymus dėl pagrindinės žemės naudojimo paskirties ir žemės naudojimo būdo keitimo galima teikti iki 2026-01-29 Vilniaus rajono savivaldybės administracijai (Rinktinės g. 50, Vilnius) raštu ir Lietuvos Respublikos teritorijų planavimo dokumentų rengimo ir teritorijų planavimo proceso valstybinės priežiūros informacinėje sistemoje.

Ištrauka iš Kraštovaizdžio spec. plano

Prašymas

2026-01-15

Informuojame apie pateiktą nagrinėti prašymą dėl žemės sklypo (kad. Nr. 4152/0800:504), esančio Vilniaus r. sav., Mickūnų sen., Mažeikių k. (toliau – Žemės sklypi) pagrindinės žemės naudojimo paskirties ir  naudojimo būdo keitimo. Prašymo tikslas: 3,4319 ploto žemės ūkio paskirties Žemės sklypo pagrindinės žemės naudojimo paskirties ir žemės naudojimo būdo keitimas į kitos – vienbučių ir dvibučių gyvenamųjų pastatų teritorijos. Su prašymu galima susipažinti nuo 2026-01-15 iki 2026-01-29 Lietuvos Respublikos teritorijų planavimo dokumentų rengimo ir teritorijų planavimo proceso valstybės priežiūros informacinėje svetainėje (TPDRIS.lt) ir Vilniaus rajono savivaldybės interneto svetainėje (vrsa.lt). Pasiūlymus dėl pagrindinės žemės naudojimo paskirties ir žemės naudojimo būdo keitimo galima teikti iki 2026-01-29 Vilniaus rajono savivaldybės administracijai (Rinktinės g. 50, Vilnius) raštu ir Lietuvos Respublikos teritorijų planavimo dokumentų rengimo ir teritorijų planavimo proceso valstybinės priežiūros informacinėje sistemoje.

Ištrauka iš Kraštovaizdžio spec. plano

Prašymas

2026-01-15

Informuojame apie pateiktą nagrinėti prašymą dėl žemės sklypo (kad. Nr. 4150/0700:41), esančio Vilniaus r. sav., Medininkų sen., Vaitkiškių k. 2 (toliau – Žemės sklypi) pagrindinės žemės naudojimo paskirties ir  naudojimo būdo keitimo. Prašymo tikslas: 1,1780 ploto žemės ūkio paskirties Žemės sklypo pagrindinės žemės naudojimo paskirties ir žemės naudojimo būdo keitimas į kitos – vienbučių ir dvibučių gyvenamųjų pastatų teritorijos. Su prašymu galima susipažinti nuo 2026-01-15 iki 2026-01-29 Lietuvos Respublikos teritorijų planavimo dokumentų rengimo ir teritorijų planavimo proceso valstybės priežiūros informacinėje svetainėje (TPDRIS.lt) ir Vilniaus rajono savivaldybės interneto svetainėje (vrsa.lt). Pasiūlymus dėl pagrindinės žemės naudojimo paskirties ir žemės naudojimo būdo keitimo galima teikti iki 2026-01-29 Vilniaus rajono savivaldybės administracijai (Rinktinės g. 50, Vilnius) raštu ir Lietuvos Respublikos teritorijų planavimo dokumentų rengimo ir teritorijų planavimo proceso valstybinės priežiūros informacinėje sistemoje.

Ištrauka iš Kraštovaizdžio spec. plano

Prašymas

2026-01-15

Informuojame apie pateiktą nagrinėti prašymą dėl žemės sklypo (kad. Nr.4140/0400:460), esančio Vilniaus r. sav., Kalvelių sen., Kalvelių k., Sodų g. 36A (toliau – Žemės sklypas) pagrindinės žemės naudojimo paskirties ir žemės naudojimo būdo keitimą. Prašymo tikslas: 0,0802 ha ploto kitos paskirties Žemės sklypo  žemės naudojimo būdo keitimas į kitos – bendro naudojimo (miestų, miestelių ir kaimų ar savivaldybių bendro naudojimo) teritorijos. Su prašymu galima susipažinti nuo 2026-01-15 iki 2026-01-29 Lietuvos Respublikos teritorijų planavimo dokumentų rengimo ir teritorijų planavimo proceso valstybės priežiūros informacinėje svetainėje (TPDRIS.lt) ir Vilniaus rajono savivaldybės interneto svetainėje (vrsa.lt). Pasiūlymus dėl pagrindinės žemės naudojimo paskirties ir žemės naudojimo būdo keitimo galima teikti iki 2026-01-29 Vilniaus rajono savivaldybės administracijai (Rinktinės g. 50, Vilnius) raštu ir Lietuvos Respublikos teritorijų planavimo dokumentų rengimo ir teritorijų planavimo proceso valstybinės priežiūros informacinėje sistemoje.

Ištrauka iš Kraštovaizdžio spec. plano

Prašymas

2026-01-15

Informuojame apie pateiktą nagrinėti prašymą dėl žemės sklypo (kad. Nr. 4174/0100:1223), esančio Vilniaus r. sav., Avižienių sen., Lindiniškių k. (toliau – Žemės sklypi) pagrindinės žemės naudojimo paskirties ir  naudojimo būdo keitimo. Prašymo tikslas: 0,1180 ploto žemės ūkio paskirties Žemės sklypo pagrindinės žemės naudojimo paskirties ir žemės naudojimo būdo keitimas į kitos – vienbučių ir dvibučių gyvenamųjų pastatų teritorijos. Su prašymu galima susipažinti nuo 2026-01-14 iki 2026-01-28 Lietuvos Respublikos teritorijų planavimo dokumentų rengimo ir teritorijų planavimo proceso valstybės priežiūros informacinėje svetainėje (TPDRIS.lt) ir Vilniaus rajono savivaldybės interneto svetainėje (vrsa.lt). Pasiūlymus dėl pagrindinės žemės naudojimo paskirties ir žemės naudojimo būdo keitimo galima teikti iki 2026-01-28 Vilniaus rajono savivaldybės administracijai (Rinktinės g. 50, Vilnius) raštu ir Lietuvos Respublikos teritorijų planavimo dokumentų rengimo ir teritorijų planavimo proceso valstybinės priežiūros informacinėje sistemoje.

Ištrauka iš Vilniaus rajono savivaldybės teritorijos dalies („U“ žemės naudojimo funkcinės zonos Avižienių, Juodšilių, Nemėžio, Pagirių, Riešės, Rudaminos ir Zujūnų seniūnijose) bendrojo plano

Prašymas

2026-01-14

Informuojame apie pateiktą nagrinėti prašymą dėl žemės sklypo (kad. Nr. 4103/0300:8233), esančio Vilniaus r. sav., Avižienių sen., Bukiškio k. (toliau – Žemės sklypi) pagrindinės žemės naudojimo paskirties ir  naudojimo būdo keitimo. Prašymo tikslas: 0,0903 ploto žemės ūkio paskirties Žemės sklypo pagrindinės žemės naudojimo paskirties ir žemės naudojimo būdo keitimas į kitos – komercinės paskirties objektų teritorijos. Su prašymu galima susipažinti nuo 2026-01-14 iki 2026-01-28 Lietuvos Respublikos teritorijų planavimo dokumentų rengimo ir teritorijų planavimo proceso valstybės priežiūros informacinėje svetainėje (TPDRIS.lt) ir Vilniaus rajono savivaldybės interneto svetainėje (vrsa.lt). Pasiūlymus dėl pagrindinės žemės naudojimo paskirties ir žemės naudojimo būdo keitimo galima teikti iki 2026-01-28 Vilniaus rajono savivaldybės administracijai (Rinktinės g. 50, Vilnius) raštu ir Lietuvos Respublikos teritorijų planavimo dokumentų rengimo ir teritorijų planavimo proceso valstybinės priežiūros informacinėje sistemoje.

Ištrauka iš Vilniaus rajono savivaldybės teritorijos dalies („U“ žemės naudojimo funkcinės zonos Avižienių, Juodšilių, Nemėžio, Pagirių, Riešės, Rudaminos ir Zujūnų seniūnijose) bendrojo plano

Prašymas

2026-01-14

Informuojame apie pateiktą nagrinėti prašymą dėl žemės sklypo (kad. Nr. 4152/0800:262), esančio Vilniaus r. sav., Mickūnų sen., Gaidūnų k., Gaidūnų g. 8A (toliau – Žemės sklypi) pagrindinės žemės naudojimo paskirties ir  naudojimo būdo keitimo. Prašymo tikslas: 0,5030 ploto žemės ūkio paskirties Žemės sklypo pagrindinės žemės naudojimo paskirties ir žemės naudojimo būdo keitimas į kitos – vienbučių ir dvibučių gyvenamųjų pastatų teritorijos. Su prašymu galima susipažinti nuo 2026-01-14 iki 2026-01-28 Lietuvos Respublikos teritorijų planavimo dokumentų rengimo ir teritorijų planavimo proceso valstybės priežiūros informacinėje svetainėje (TPDRIS.lt) ir Vilniaus rajono savivaldybės interneto svetainėje (vrsa.lt). Pasiūlymus dėl pagrindinės žemės naudojimo paskirties ir žemės naudojimo būdo keitimo galima teikti iki 2026-01-28 Vilniaus rajono savivaldybės administracijai (Rinktinės g. 50, Vilnius) raštu ir Lietuvos Respublikos teritorijų planavimo dokumentų rengimo ir teritorijų planavimo proceso valstybinės priežiūros informacinėje sistemoje.

Ištrauka iš Kraštovaizdžio spec. plano

Prašymas

2026-01-14

Informuojame apie pateiktą nagrinėti prašymą dėl žemės sklypo (kad. Nr. 4177/0100:723), esančio Vilniaus r. sav., Rudaminos sen., Totorinės k. (toliau – Žemės sklypi) pagrindinės žemės naudojimo paskirties ir  naudojimo būdo keitimo. Prašymo tikslas: 0,2585 ploto žemės ūkio paskirties Žemės sklypo pagrindinės žemės naudojimo paskirties ir žemės naudojimo būdo keitimas į kitos – vienbučių ir dvibučių gyvenamųjų pastatų teritorijos. Su prašymu galima susipažinti nuo 2026-01-14 iki 2026-01-28 Lietuvos Respublikos teritorijų planavimo dokumentų rengimo ir teritorijų planavimo proceso valstybės priežiūros informacinėje svetainėje (TPDRIS.lt) ir Vilniaus rajono savivaldybės interneto svetainėje (vrsa.lt). Pasiūlymus dėl pagrindinės žemės naudojimo paskirties ir žemės naudojimo būdo keitimo galima teikti iki 2026-01-28 Vilniaus rajono savivaldybės administracijai (Rinktinės g. 50, Vilnius) raštu ir Lietuvos Respublikos teritorijų planavimo dokumentų rengimo ir teritorijų planavimo proceso valstybinės priežiūros informacinėje sistemoje.

Ištrauka iš Vilniaus rajono savivaldybės teritorijos dalies („U“ žemės naudojimo funkcinės zonos Avižienių, Juodšilių, Nemėžio, Pagirių, Riešės, Rudaminos ir Zujūnų seniūnijose) bendrojo plano

Prašymas

2026-01-14

Informuojame apie pateiktą nagrinėti prašymą dėl žemės sklypo (kad. Nr. 4152/0800:556), esančio Vilniaus r. sav., Mickūnų sen., Gaidūnų k., Gaidūnų g. 6 (toliau – Žemės sklypas) pagrindinės žemės naudojimo paskirties ir  naudojimo būdo keitimo. Prašymo tikslas: 0,5500 ploto žemės ūkio paskirties Žemės sklypo pagrindinės žemės naudojimo paskirties ir žemės naudojimo būdo keitimas į kitos – vienbučių ir dvibučių gyvenamųjų pastatų teritorijos. Su prašymu galima susipažinti nuo 2026-01-08 iki 2026-01-22 Lietuvos Respublikos teritorijų planavimo dokumentų rengimo ir teritorijų planavimo proceso valstybės priežiūros informacinėje svetainėje (TPDRIS.lt) ir Vilniaus rajono savivaldybės interneto svetainėje (vrsa.lt). Pasiūlymus dėl pagrindinės žemės naudojimo paskirties ir žemės naudojimo būdo keitimo galima teikti iki 2026-01-22 Vilniaus rajono savivaldybės administracijai (Rinktinės g. 50, Vilnius) raštu ir Lietuvos Respublikos teritorijų planavimo dokumentų rengimo ir teritorijų planavimo proceso valstybinės priežiūros informacinėje sistemoje.

Ištrauka iš Kraštovaizdžio spec. plano

Prašymas

2026-01-08

Priimtas sprendimas dėl  žemės ūkio paskirties – kiti žemės ūkio paskirties žemės sklypai – žemės sklypo (kadastro Nr. 4192/0100:933), esančio Vilniaus r. sav., Sužionių sen., Veriškių k., pagrindinės žemės naudojimo paskirties ir žemės naudojimo būdo keitimo.

Sprendimas

2026-01-07

Informuojame apie pateiktą nagrinėti prašymą dėl žemės sklypo (kad. Nr. 4157/0100:309), esančio Vilniaus r. sav., Lavoriškių sen., Mostiškių k. (toliau – Žemės sklypas) pagrindinės žemės naudojimo paskirties ir  naudojimo būdo keitimo. Prašymo tikslas: 0,0600 ploto žemės ūkio paskirties Žemės sklypo pagrindinės žemės naudojimo paskirties ir žemės naudojimo būdo keitimas į kitos – vienbučių ir dvibučių gyvenamųjų pastatų teritorijos. Su prašymu galima susipažinti nuo 2025-12-23 iki 2026-01-14 Lietuvos Respublikos teritorijų planavimo dokumentų rengimo ir teritorijų planavimo proceso valstybės priežiūros informacinėje svetainėje (TPDRIS.lt) ir Vilniaus rajono savivaldybės interneto svetainėje (vrsa.lt). Pasiūlymus dėl pagrindinės žemės naudojimo paskirties ir žemės naudojimo būdo keitimo galima teikti iki 2026-01-04 Vilniaus rajono savivaldybės administracijai (Rinktinės g. 50, Vilnius) raštu ir Lietuvos Respublikos teritorijų planavimo dokumentų rengimo ir teritorijų planavimo proceso valstybinės priežiūros informacinėje sistemoje.

Ištrauka iš Kraštovaizdžio spec. plano

Prašymas

2025-12-30

Informuojame apie pateiktą nagrinėti prašymą dėl žemės sklypo (kad. Nr. 4157/0100:37), esančio Vilniaus r. sav., Lavoriškių sen., Mostiškių k., Mokyklos g. 17 (toliau – Žemės sklypas) pagrindinės žemės naudojimo paskirties ir  naudojimo būdo keitimo. Prašymo tikslas: 0,3000 ploto žemės ūkio paskirties Žemės sklypo pagrindinės žemės naudojimo paskirties ir žemės naudojimo būdo keitimas į kitos – vienbučių ir dvibučių gyvenamųjų pastatų teritorijos. Su prašymu galima susipažinti nuo 2025-12-23 iki 2026-01-14 Lietuvos Respublikos teritorijų planavimo dokumentų rengimo ir teritorijų planavimo proceso valstybės priežiūros informacinėje svetainėje (TPDRIS.lt) ir Vilniaus rajono savivaldybės interneto svetainėje (vrsa.lt). Pasiūlymus dėl pagrindinės žemės naudojimo paskirties ir žemės naudojimo būdo keitimo galima teikti iki 2026-01-04 Vilniaus rajono savivaldybės administracijai (Rinktinės g. 50, Vilnius) raštu ir Lietuvos Respublikos teritorijų planavimo dokumentų rengimo ir teritorijų planavimo proceso valstybinės priežiūros informacinėje sistemoje.

Ištrauka iš Kraštovaizdžio spec. plano

Prašymas

2025-12-30

Priimtas sprendimas dėl ploto kitos paskirties – pramonės ir sandėliavimo objektų teritorijos – žemės sklypo (kadastro Nr. 4117/0400:78), esančio Vilniaus r. sav., Riešės sen., Raudondvario k., Akacijų g. 8,  žemės naudojimo būdo keitimo.

Sprendimas

2025-12-30

Priimtas sprendimas dėl  žemės ūkio paskirties – kiti žemės ūkio paskirties žemės sklypai – žemės sklypo (kadastro Nr. 4134/0100:496), esančio Vilniaus r. sav., Paberžės sen., Glitiškių k., pagrindinės žemės naudojimo paskirties ir žemės naudojimo būdo keitimo.

Sprendimas

2025-12-30

Priimtas sprendimas dėl  žemės ūkio paskirties – kiti žemės ūkio paskirties žemės sklypai – žemės sklypo (kadastro Nr. 4134/0100:495), esančio Vilniaus r. sav., Paberžės sen., Glitiškių k., pagrindinės žemės naudojimo paskirties ir žemės naudojimo būdo keitimo.

Sprendimas

2025-12-30

Informuojame apie pateiktą nagrinėti prašymą dėl žemės sklypo (kad. Nr. 4152/0500:208), esančio Vilniaus r. sav., Mickūnų sen., Dievoniškių k. (toliau – Žemės sklypas) pagrindinės žemės naudojimo paskirties ir  naudojimo būdo keitimo. Prašymo tikslas: 0,7500 ploto žemės ūkio paskirties Žemės sklypo pagrindinės žemės naudojimo paskirties ir žemės naudojimo būdo keitimas į kitos – vienbučių ir dvibučių gyvenamųjų pastatų teritorijos. Su prašymu galima susipažinti nuo 2025-12-23iki 2026-01-09 Lietuvos Respublikos teritorijų planavimo dokumentų rengimo ir teritorijų planavimo proceso valstybės priežiūros informacinėje svetainėje (TPDRIS.lt) ir Vilniaus rajono savivaldybės interneto svetainėje (vrsa.lt). Pasiūlymus dėl pagrindinės žemės naudojimo paskirties ir žemės naudojimo būdo keitimo galima teikti iki 2026-01-09 Vilniaus rajono savivaldybės administracijai (Rinktinės g. 50, Vilnius) raštu ir Lietuvos Respublikos teritorijų planavimo dokumentų rengimo ir teritorijų planavimo proceso valstybinės priežiūros informacinėje sistemoje.

Ištrauka iš Kraštovaizdžio spec. plano

Prašymas

2025-12-23

Informuojame apie pateiktą nagrinėti prašymą dėl žemės sklypo (kad. Nr. 4101/0200:55), esančio Vilniaus r. sav., Bezdonių sen., Arvydų k. (toliau – Žemės sklypas) pagrindinės žemės naudojimo paskirties ir  naudojimo būdo keitimo. Prašymo tikslas: 0,3000 ploto žemės ūkio paskirties Žemės sklypo pagrindinės žemės naudojimo paskirties ir žemės naudojimo būdo keitimas į kitos – vienbučių ir dvibučių gyvenamųjų pastatų teritorijos. Su prašymu galima susipažinti nuo 2025-12-23iki 2026-01-09 Lietuvos Respublikos teritorijų planavimo dokumentų rengimo ir teritorijų planavimo proceso valstybės priežiūros informacinėje svetainėje (TPDRIS.lt) ir Vilniaus rajono savivaldybės interneto svetainėje (vrsa.lt). Pasiūlymus dėl pagrindinės žemės naudojimo paskirties ir žemės naudojimo būdo keitimo galima teikti iki 2026-01-09 Vilniaus rajono savivaldybės administracijai (Rinktinės g. 50, Vilnius) raštu ir Lietuvos Respublikos teritorijų planavimo dokumentų rengimo ir teritorijų planavimo proceso valstybinės priežiūros informacinėje sistemoje.

Ištrauka iš Kraštovaizdžio spec. plano

Prašymas

2025-12-23

Informuojame apie pateiktą nagrinėti prašymą dėl žemės sklypo (kad. Nr. 4174/0100:2046), esančio Vilniaus r. sav., Avižienių sen., Lindiniškių k. (toliau – Žemės sklypi) pagrindinės žemės naudojimo paskirties ir  naudojimo būdo keitimo. Prašymo tikslas: 0,1500 ploto žemės ūkio paskirties Žemės sklypo pagrindinės žemės naudojimo paskirties ir žemės naudojimo būdo keitimas į kitos – vienbučių ir dvibučių gyvenamųjų pastatų teritorijos. Su prašymu galima susipažinti nuo 2025-12-23 iki 2026-01-09 Lietuvos Respublikos teritorijų planavimo dokumentų rengimo ir teritorijų planavimo proceso valstybės priežiūros informacinėje svetainėje (TPDRIS.lt) ir Vilniaus rajono savivaldybės interneto svetainėje (vrsa.lt). Pasiūlymus dėl pagrindinės žemės naudojimo paskirties ir žemės naudojimo būdo keitimo galima teikti iki 2026-01-09 Vilniaus rajono savivaldybės administracijai (Rinktinės g. 50, Vilnius) raštu ir Lietuvos Respublikos teritorijų planavimo dokumentų rengimo ir teritorijų planavimo proceso valstybinės priežiūros informacinėje sistemoje.

Ištrauka iš Vilniaus rajono savivaldybės teritorijos dalies („U“ žemės naudojimo funkcinės zonos Avižienių, Juodšilių, Nemėžio, Pagirių, Riešės, Rudaminos ir Zujūnų seniūnijose) bendrojo plano

Prašymas

2025-12-23

Informuojame apie pateiktą nagrinėti prašymą dėl žemės sklypo (kad. Nr. 4174/0100:2045), esančio Vilniaus r. sav., Avižienių sen., Lindiniškių k. (toliau – Žemės sklypi) pagrindinės žemės naudojimo paskirties ir  naudojimo būdo keitimo. Prašymo tikslas: 0,1800 ploto žemės ūkio paskirties Žemės sklypo pagrindinės žemės naudojimo paskirties ir žemės naudojimo būdo keitimas į kitos – vienbučių ir dvibučių gyvenamųjų pastatų teritorijos. Su prašymu galima susipažinti nuo 2025-12-23 iki 2026-01-09 Lietuvos Respublikos teritorijų planavimo dokumentų rengimo ir teritorijų planavimo proceso valstybės priežiūros informacinėje svetainėje (TPDRIS.lt) ir Vilniaus rajono savivaldybės interneto svetainėje (vrsa.lt). Pasiūlymus dėl pagrindinės žemės naudojimo paskirties ir žemės naudojimo būdo keitimo galima teikti iki 2026-01-09 Vilniaus rajono savivaldybės administracijai (Rinktinės g. 50, Vilnius) raštu ir Lietuvos Respublikos teritorijų planavimo dokumentų rengimo ir teritorijų planavimo proceso valstybinės priežiūros informacinėje sistemoje.

Ištrauka iš Vilniaus rajono savivaldybės teritorijos dalies („U“ žemės naudojimo funkcinės zonos Avižienių, Juodšilių, Nemėžio, Pagirių, Riešės, Rudaminos ir Zujūnų seniūnijose) bendrojo plano

Prašymas

2025-12-23

Informuojame apie pateiktą nagrinėti prašymą dėl žemės sklypo (kad. Nr. 4167/0300:1151), esančio Vilniaus r. sav., Pagirių sen., Keturiasdešimt Totorių k., Ramunių g. 53 (toliau – Žemės sklypas) pagrindinės žemės naudojimo paskirties ir  naudojimo būdo keitimo. Prašymo tikslas: 0,6500 ploto žemės ūkio paskirties Žemės sklypo pagrindinės žemės naudojimo paskirties ir žemės naudojimo būdo keitimas į kitos – vienbučių ir dvibučių gyvenamųjų pastatų teritorijos. Su prašymu galima susipažinti nuo 2025-12-19 iki 2026-01-08 Lietuvos Respublikos teritorijų planavimo dokumentų rengimo ir teritorijų planavimo proceso valstybės priežiūros informacinėje svetainėje (TPDRIS.lt) ir Vilniaus rajono savivaldybės interneto svetainėje (vrsa.lt). Pasiūlymus dėl pagrindinės žemės naudojimo paskirties ir žemės naudojimo būdo keitimo galima teikti iki 2026-01-08 Vilniaus rajono savivaldybės administracijai (Rinktinės g. 50, Vilnius) raštu ir Lietuvos Respublikos teritorijų planavimo dokumentų rengimo ir teritorijų planavimo proceso valstybinės priežiūros informacinėje sistemoje.

Ištrauka iš Kraštovaizdžio spec. plano

Prašymas

2025-12-19

Informuojame apie pateiktą nagrinėti prašymą dėl žemės sklypo (kad. Nr. 4177/0500:108), esančio Vilniaus r. sav., Rudaminos sen., Mariniškių k. (toliau – Žemės sklypas) pagrindinės žemės naudojimo paskirties ir  naudojimo būdo keitimo. Prašymo tikslas: 0,7400 ploto žemės ūkio paskirties Žemės sklypo pagrindinės žemės naudojimo paskirties ir žemės naudojimo būdo keitimas į kitos – vienbučių ir dvibučių gyvenamųjų pastatų teritorijos. Su prašymu galima susipažinti nuo 2025-12-19 iki 2026-01-08 Lietuvos Respublikos teritorijų planavimo dokumentų rengimo ir teritorijų planavimo proceso valstybės priežiūros informacinėje svetainėje (TPDRIS.lt) ir Vilniaus rajono savivaldybės interneto svetainėje (vrsa.lt). Pasiūlymus dėl pagrindinės žemės naudojimo paskirties ir žemės naudojimo būdo keitimo galima teikti iki 2026-01-08 Vilniaus rajono savivaldybės administracijai (Rinktinės g. 50, Vilnius) raštu ir Lietuvos Respublikos teritorijų planavimo dokumentų rengimo ir teritorijų planavimo proceso valstybinės priežiūros informacinėje sistemoje.

Ištrauka iš Kraštovaizdžio spec. plano

Prašymas

2025-12-19

Informuojame apie pateiktą nagrinėti prašymą dėl žemės sklypo (kad. Nr. 4180/0400:663), esančio Vilniaus r. sav., Rukainių sen., Užudvario k., Minsko pl. 235 (toliau – Žemės sklypi) pagrindinės žemės naudojimo paskirties ir  naudojimo būdo keitimo. Prašymo tikslas: 0,1811 ploto žemės ūkio paskirties Žemės sklypo pagrindinės žemės naudojimo paskirties ir žemės naudojimo būdo keitimas į kitos – vienbučių ir dvibučių gyvenamųjų pastatų teritorijos. Su prašymu galima susipažinti nuo 2025-12-16 iki 2026-01-06 Lietuvos Respublikos teritorijų planavimo dokumentų rengimo ir teritorijų planavimo proceso valstybės priežiūros informacinėje svetainėje (TPDRIS.lt) ir Vilniaus rajono savivaldybės interneto svetainėje (vrsa.lt). Pasiūlymus dėl pagrindinės žemės naudojimo paskirties ir žemės naudojimo būdo keitimo galima teikti iki 2026-01-06 Vilniaus rajono savivaldybės administracijai (Rinktinės g. 50, Vilnius) raštu ir Lietuvos Respublikos teritorijų planavimo dokumentų rengimo ir teritorijų planavimo proceso valstybinės priežiūros informacinėje sistemoje.

Ištrauka iš Kraštovaizdžio spec. plano

Prašymas

2025-12-17

Informuojame apie pateiktą nagrinėti prašymą dėl žemės sklypo (kad. Nr. 4117/0600:510), esančio Vilniaus r. sav., Riešės sen., Vanaginės k., Molėtų pl. 67 (toliau – Žemės sklypi) pagrindinės žemės naudojimo paskirties ir  naudojimo būdo keitimo. Prašymo tikslas: 3,0000 ploto žemės ūkio paskirties Žemės sklypo pagrindinės žemės naudojimo paskirties ir žemės naudojimo būdo keitimas į kitos – komercinės paskirties objektų teritorijos. Su prašymu galima susipažinti nuo 2025-12-16 iki 2026-01-06 Lietuvos Respublikos teritorijų planavimo dokumentų rengimo ir teritorijų planavimo proceso valstybės priežiūros informacinėje svetainėje (TPDRIS.lt) ir Vilniaus rajono savivaldybės interneto svetainėje (vrsa.lt). Pasiūlymus dėl pagrindinės žemės naudojimo paskirties ir žemės naudojimo būdo keitimo galima teikti iki 2026-01-06 Vilniaus rajono savivaldybės administracijai (Rinktinės g. 50, Vilnius) raštu ir Lietuvos Respublikos teritorijų planavimo dokumentų rengimo ir teritorijų planavimo proceso valstybinės priežiūros informacinėje sistemoje.

Ištrauka iš Vilniaus rajono savivaldybės teritorijos dalies („U“ žemės naudojimo funkcinės zonos Avižienių, Juodšilių, Nemėžio, Pagirių, Riešės, Rudaminos ir Zujūnų seniūnijose) bendrojo plano

Prašymas

2025-12-17

Informuojame apie pateiktą nagrinėti prašymą dėl žemės sklypo (kad. Nr.4174/0100:1894), esančio Vilniaus r. sav., Avižienių sen., Riešės k., Pergalės g. 1A (toliau – Žemės sklypi)  žemės naudojimo būdo keitimo. Prašymo tikslas: 0.0685 ha ploto kitos paskirties Žemės sklypo  žemės naudojimo būdo keitimas į kitos – komercinės paskirties objektų teritorijos. Su prašymu galima susipažinti nuo 2025-12-17 iki 2026-01-06 Lietuvos Respublikos teritorijų planavimo dokumentų rengimo ir teritorijų planavimo proceso valstybės priežiūros informacinėje svetainėje (TPDRIS.lt) ir Vilniaus rajono savivaldybės interneto svetainėje (vrsa.lt). Pasiūlymus dėl pagrindinės žemės naudojimo paskirties ir žemės naudojimo būdo keitimo galima teikti iki 2026-01-06 Vilniaus rajono savivaldybės administracijai (Rinktinės g. 50, Vilnius) raštu ir Lietuvos Respublikos teritorijų planavimo dokumentų rengimo ir teritorijų planavimo proceso valstybinės priežiūros informacinėje sistemoje.

Ištrauka iš Vilniaus rajono savivaldybės teritorijos dalies („U“ žemės naudojimo funkcinės zonos Avižienių, Juodšilių, Nemėžio, Pagirių, Riešės, Rudaminos ir Zujūnų seniūnijose) bendrojo plano

Prašymas

2025-12-17

Priimtas sprendimas  žemės ūkio paskirties – kiti žemės ūkio paskirties žemės sklypai – žemės sklypo (kadastro Nr. 4110/0300:2040), esančio Vilniaus r. sav., Rudaminos sen., Papiškių k. , pagrindinės žemės naudojimo paskirties ir žemės naudojimo būdo keitimo.

Sprendimas

2025-12-16

Priimtas sprendimas  žemės ūkio paskirties – kiti žemės ūkio paskirties žemės sklypai – žemės sklypo (kadastro Nr. 4110/0300:2039), esančio Vilniaus r. sav., Rudaminos sen., Papiškių k. , pagrindinės žemės naudojimo paskirties ir žemės naudojimo būdo keitimo.

Sprendimas

2025-12-16

Informuojame apie pateiktą nagrinėti prašymą dėl žemės sklypo (kad. Nr. 4152/0800:1391), esančio Vilniaus r. sav., Mickūnų sen., Naujakiemio k. (toliau – Žemės sklypi) pagrindinės žemės naudojimo paskirties ir  naudojimo būdo keitimo. Prašymo tikslas: 0,5000 ploto žemės ūkio paskirties Žemės sklypo pagrindinės žemės naudojimo paskirties ir žemės naudojimo būdo keitimas į kitos – vienbučių ir dvibučių gyvenamųjų pastatų teritorijos. Su prašymu galima susipažinti nuo 2025-12-16 iki 2026-01-05 Lietuvos Respublikos teritorijų planavimo dokumentų rengimo ir teritorijų planavimo proceso valstybės priežiūros informacinėje svetainėje (TPDRIS.lt) ir Vilniaus rajono savivaldybės interneto svetainėje (vrsa.lt). Pasiūlymus dėl pagrindinės žemės naudojimo paskirties ir žemės naudojimo būdo keitimo galima teikti iki 2026-01-05 Vilniaus rajono savivaldybės administracijai (Rinktinės g. 50, Vilnius) raštu ir Lietuvos Respublikos teritorijų planavimo dokumentų rengimo ir teritorijų planavimo proceso valstybinės priežiūros informacinėje sistemoje.

Ištrauka iš Kraštovaizdžio spec. plano

Prašymas

2025-12-16

Informuojame apie pateiktą nagrinėti prašymą dėl žemės sklypo (kad. Nr. 4152/0800:1390), esančio Vilniaus r. sav., Mickūnų sen., Naujakiemio k. (toliau – Žemės sklypi) pagrindinės žemės naudojimo paskirties ir  naudojimo būdo keitimo. Prašymo tikslas: 0,5000 ploto žemės ūkio paskirties Žemės sklypo pagrindinės žemės naudojimo paskirties ir žemės naudojimo būdo keitimas į kitos – vienbučių ir dvibučių gyvenamųjų pastatų teritorijos. Su prašymu galima susipažinti nuo 2025-12-16 iki 2026-01-05 Lietuvos Respublikos teritorijų planavimo dokumentų rengimo ir teritorijų planavimo proceso valstybės priežiūros informacinėje svetainėje (TPDRIS.lt) ir Vilniaus rajono savivaldybės interneto svetainėje (vrsa.lt). Pasiūlymus dėl pagrindinės žemės naudojimo paskirties ir žemės naudojimo būdo keitimo galima teikti iki 2026-01-05 Vilniaus rajono savivaldybės administracijai (Rinktinės g. 50, Vilnius) raštu ir Lietuvos Respublikos teritorijų planavimo dokumentų rengimo ir teritorijų planavimo proceso valstybinės priežiūros informacinėje sistemoje.

Ištrauka iš Kraštovaizdžio spec. plano

Prašymas

2025-12-16

Informuojame apie pateiktą nagrinėti prašymą dėl žemės sklypo (kad. Nr. 4127/0200:235), esančio Vilniaus r. sav., Nemenčinės sen., Purnuškių k., Dvarininkų g. 13 (toliau – Žemės sklypi) pagrindinės žemės naudojimo paskirties ir  naudojimo būdo keitimo. Prašymo tikslas: 0.2200 ha ploto žemės ūkio paskirties Žemės sklypo pagrindinės žemės naudojimo paskirties ir žemės naudojimo būdo keitimas į kitos – vienbučių ir dvibučių gyvenamųjų pastatų teritorijos. Su prašymu galima susipažinti nuo 2025-12-10 iki 2025-12-29 Lietuvos Respublikos teritorijų planavimo dokumentų rengimo ir teritorijų planavimo proceso valstybės priežiūros informacinėje svetainėje (TPDRIS.lt) ir Vilniaus rajono savivaldybės interneto svetainėje (vrsa.lt). Pasiūlymus dėl pagrindinės žemės naudojimo paskirties ir žemės naudojimo būdo keitimo galima teikti iki 2025-12-29 Vilniaus rajono savivaldybės administracijai (Rinktinės g. 50, Vilnius) raštu ir Lietuvos Respublikos teritorijų planavimo dokumentų rengimo ir teritorijų planavimo proceso valstybinės priežiūros informacinėje sistemoje.

Ištrauka iš Kraštovaizdžio spec. plano

Prašymas

2025-12-10

Informuojame apie pateiktą nagrinėti prašymą dėl žemės sklypo (kad. Nr. 4120/0100:1388), esančio Vilniaus r. sav., Nemenčinės sen., Pučkalaukio k. (toliau – Žemės sklypi) pagrindinės žemės naudojimo paskirties ir  naudojimo būdo keitimo. Prašymo tikslas: 0.1900 ha ploto žemės ūkio paskirties Žemės sklypo pagrindinės žemės naudojimo paskirties ir žemės naudojimo būdo keitimas į kitos – vienbučių ir dvibučių gyvenamųjų pastatų teritorijos. Su prašymu galima susipažinti nuo 2025-12-10 iki 2025-12-29 Lietuvos Respublikos teritorijų planavimo dokumentų rengimo ir teritorijų planavimo proceso valstybės priežiūros informacinėje svetainėje (TPDRIS.lt) ir Vilniaus rajono savivaldybės interneto svetainėje (vrsa.lt). Pasiūlymus dėl pagrindinės žemės naudojimo paskirties ir žemės naudojimo būdo keitimo galima teikti iki 2025-12-29 Vilniaus rajono savivaldybės administracijai (Rinktinės g. 50, Vilnius) raštu ir Lietuvos Respublikos teritorijų planavimo dokumentų rengimo ir teritorijų planavimo proceso valstybinės priežiūros informacinėje sistemoje.

Ištrauka iš Kraštovaizdžio spec. plano

Prašymas

2025-12-10

Informuojame apie pateiktą nagrinėti prašymą dėl žemės sklypo (kad. Nr. 4192/0100:933), esančio Vilniaus r. sav., Sužionių sen., Veriškių k. (toliau – Žemės sklypi) pagrindinės žemės naudojimo paskirties ir  naudojimo būdo keitimo. Prašymo tikslas: 0.1136 ha ploto žemės ūkio paskirties Žemės sklypo pagrindinės žemės naudojimo paskirties ir žemės naudojimo būdo keitimas į kitos – vienbučių ir dvibučių gyvenamųjų pastatų teritorijos. Su prašymu galima susipažinti nuo 2025-12-10 iki 2025-12-29 Lietuvos Respublikos teritorijų planavimo dokumentų rengimo ir teritorijų planavimo proceso valstybės priežiūros informacinėje svetainėje (TPDRIS.lt) ir Vilniaus rajono savivaldybės interneto svetainėje (vrsa.lt). Pasiūlymus dėl pagrindinės žemės naudojimo paskirties ir žemės naudojimo būdo keitimo galima teikti iki 2025-12-29 Vilniaus rajono savivaldybės administracijai (Rinktinės g. 50, Vilnius) raštu ir Lietuvos Respublikos teritorijų planavimo dokumentų rengimo ir teritorijų planavimo proceso valstybinės priežiūros informacinėje sistemoje.

Ištrauka iš Kraštovaizdžio spec. plano

Prašymas

2025-12-10

Informuojame apie pateiktą nagrinėti prašymą dėl žemės sklypo (kad. Nr. 4184/0100:755), esančio Vilniaus r. sav., Sudervės sen., Bubų k. (toliau – Žemės sklypi) pagrindinės žemės naudojimo paskirties ir  naudojimo būdo keitimo. Prašymo tikslas: 0.1075 ha ploto žemės ūkio paskirties Žemės sklypo pagrindinės žemės naudojimo paskirties ir žemės naudojimo būdo keitimas į kitos – vienbučių ir dvibučių gyvenamųjų pastatų teritorijos. Su prašymu galima susipažinti nuo 2025-12-10 iki 2025-12-29 Lietuvos Respublikos teritorijų planavimo dokumentų rengimo ir teritorijų planavimo proceso valstybės priežiūros informacinėje svetainėje (TPDRIS.lt) ir Vilniaus rajono savivaldybės interneto svetainėje (vrsa.lt). Pasiūlymus dėl pagrindinės žemės naudojimo paskirties ir žemės naudojimo būdo keitimo galima teikti iki 2025-12-29 Vilniaus rajono savivaldybės administracijai (Rinktinės g. 50, Vilnius) raštu ir Lietuvos Respublikos teritorijų planavimo dokumentų rengimo ir teritorijų planavimo proceso valstybinės priežiūros informacinėje sistemoje.

Ištrauka iš Kraštovaizdžio spec. plano

Prašymas

2025-12-10

Informuojame apie pateiktą nagrinėti prašymą dėl žemės sklypo (kad. Nr. 4142/0200:980), esančio Vilniaus r. sav., Šatrininkų sen., Karklėnų k. (toliau – Žemės sklypi) pagrindinės žemės naudojimo paskirties ir  naudojimo būdo keitimo. Prašymo tikslas: 0.0989 ha ploto žemės ūkio paskirties Žemės sklypo pagrindinės žemės naudojimo paskirties ir žemės naudojimo būdo keitimas į kitos – komercinės paskirties objektų teritorijos. Su prašymu galima susipažinti nuo 2025-12-10 iki 2025-12-29 Lietuvos Respublikos teritorijų planavimo dokumentų rengimo ir teritorijų planavimo proceso valstybės priežiūros informacinėje svetainėje (TPDRIS.lt) ir Vilniaus rajono savivaldybės interneto svetainėje (vrsa.lt). Pasiūlymus dėl pagrindinės žemės naudojimo paskirties ir žemės naudojimo būdo keitimo galima teikti iki 2025-12-29 Vilniaus rajono savivaldybės administracijai (Rinktinės g. 50, Vilnius) raštu ir Lietuvos Respublikos teritorijų planavimo dokumentų rengimo ir teritorijų planavimo proceso valstybinės priežiūros informacinėje sistemoje.

Ištrauka iš Kraštovaizdžio spec. plano

Prašymas

2025-12-10

Informuojame apie pateiktą nagrinėti prašymą dėl žemės sklypo (kad. Nr. 4152/0200:624), esančio Vilniaus r. sav., Mickūnų sen., Gailiūnų k. (toliau – Žemės sklypi) pagrindinės žemės naudojimo paskirties ir  naudojimo būdo keitimo. Prašymo tikslas: 0.1200 ha ploto žemės ūkio paskirties Žemės sklypo pagrindinės žemės naudojimo paskirties ir žemės naudojimo būdo keitimas į kitos – vienbučių ir dvibučių gyvenamųjų pastatų teritorijos. Su prašymu galima susipažinti nuo 2025-12-10 iki 2025-12-29 Lietuvos Respublikos teritorijų planavimo dokumentų rengimo ir teritorijų planavimo proceso valstybės priežiūros informacinėje svetainėje (TPDRIS.lt) ir Vilniaus rajono savivaldybės interneto svetainėje (vrsa.lt). Pasiūlymus dėl pagrindinės žemės naudojimo paskirties ir žemės naudojimo būdo keitimo galima teikti iki 2025-12-29 Vilniaus rajono savivaldybės administracijai (Rinktinės g. 50, Vilnius) raštu ir Lietuvos Respublikos teritorijų planavimo dokumentų rengimo ir teritorijų planavimo proceso valstybinės priežiūros informacinėje sistemoje.

Ištrauka iš Kraštovaizdžio spec. plano

Prašymas

2025-12-10

Informuojame apie pateiktą nagrinėti prašymą dėl žemės sklypo (kad. Nr.4103/0200:1903), esančio Vilniaus r. sav., Avižienių sen., Užubalių k. (toliau – Žemės sklypi) pagrindinės žemės naudojimo paskirties ir  naudojimo būdo keitimo. Prašymo tikslas: 0.8600 ha ploto žemės ūkio paskirties Žemės sklypo pagrindinės žemės naudojimo paskirties ir žemės naudojimo būdo keitimas į kitos – komercinės paskirties objektų teritorijos. Su prašymu galima susipažinti nuo 2025-12-05 iki 2025-12-19 Lietuvos Respublikos teritorijų planavimo dokumentų rengimo ir teritorijų planavimo proceso valstybės priežiūros informacinėje svetainėje (TPDRIS.lt) ir Vilniaus rajono savivaldybės interneto svetainėje (vrsa.lt). Pasiūlymus dėl pagrindinės žemės naudojimo paskirties ir žemės naudojimo būdo keitimo galima teikti iki 2025-12-19 Vilniaus rajono savivaldybės administracijai (Rinktinės g. 50, Vilnius) raštu ir Lietuvos Respublikos teritorijų planavimo dokumentų rengimo ir teritorijų planavimo proceso valstybinės priežiūros informacinėje sistemoje.

Ištrauka iš Vilniaus rajono savivaldybės teritorijos dalies („U“ žemės naudojimo funkcinės zonos Avižienių, Juodšilių, Nemėžio, Pagirių, Riešės, Rudaminos ir Zujūnų seniūnijose) bendrojo plano

Prašymas

2025-12-05

Informuojame apie pateiktą nagrinėti prašymą dėl žemės sklypo (kad. Nr. 4177/0200:961), esančio Vilniaus r. sav., Rudaminos sen., Rudaminos k. (toliau – Žemės sklypi) pagrindinės žemės naudojimo paskirties ir  naudojimo būdo keitimo. Prašymo tikslas: 0.4000 ha ploto žemės ūkio paskirties Žemės sklypo pagrindinės žemės naudojimo paskirties ir žemės naudojimo būdo keitimas į kitos – vienbučių ir dvibučių gyvenamųjų pastatų teritorijos. Su prašymu galima susipažinti nuo 2025-12-05 iki 2025-12-19 Lietuvos Respublikos teritorijų planavimo dokumentų rengimo ir teritorijų planavimo proceso valstybės priežiūros informacinėje svetainėje (TPDRIS.lt) ir Vilniaus rajono savivaldybės interneto svetainėje (vrsa.lt). Pasiūlymus dėl pagrindinės žemės naudojimo paskirties ir žemės naudojimo būdo keitimo galima teikti iki 2025-12-19 Vilniaus rajono savivaldybės administracijai (Rinktinės g. 50, Vilnius) raštu ir Lietuvos Respublikos teritorijų planavimo dokumentų rengimo ir teritorijų planavimo proceso valstybinės priežiūros informacinėje sistemoje.

Ištrauka iš Kraštovaizdžio spec. plano

Prašymas

2025-12-05

Informuojame apie pateiktą nagrinėti prašymą dėl žemės sklypo (kad. Nr. 4154/2000:975), esančio Vilniaus r. sav., Marijampolio sen., Marijampolio k. (toliau – Žemės sklypi) pagrindinės žemės naudojimo paskirties ir  naudojimo būdo keitimo. Prašymo tikslas: 0.3700 ha ploto žemės ūkio paskirties Žemės sklypo pagrindinės žemės naudojimo paskirties ir žemės naudojimo būdo keitimas į kitos – vienbučių ir dvibučių gyvenamųjų pastatų teritorijos. Su prašymu galima susipažinti nuo 2025-12-05 iki 2025-12-19 Lietuvos Respublikos teritorijų planavimo dokumentų rengimo ir teritorijų planavimo proceso valstybės priežiūros informacinėje svetainėje (TPDRIS.lt) ir Vilniaus rajono savivaldybės interneto svetainėje (vrsa.lt). Pasiūlymus dėl pagrindinės žemės naudojimo paskirties ir žemės naudojimo būdo keitimo galima teikti iki 2025-12-19 Vilniaus rajono savivaldybės administracijai (Rinktinės g. 50, Vilnius) raštu ir Lietuvos Respublikos teritorijų planavimo dokumentų rengimo ir teritorijų planavimo proceso valstybinės priežiūros informacinėje sistemoje.

Ištrauka iš Kraštovaizdžio spec. plano

Prašymas

2025-12-05

Informuojame apie pateiktą nagrinėti prašymą dėl žemės sklypo (kad. Nr. 4154/2600:209), esančio Vilniaus r. sav., Marijampolio sen., Parudaminio k. (toliau – Žemės sklypi) pagrindinės žemės naudojimo paskirties ir  naudojimo būdo keitimo. Prašymo tikslas: 0.1700 ha ploto žemės ūkio paskirties Žemės sklypo pagrindinės žemės naudojimo paskirties ir žemės naudojimo būdo keitimas į kitos – vienbučių ir dvibučių gyvenamųjų pastatų teritorijos. Su prašymu galima susipažinti nuo 2025-12-05 iki 2025-12-19 Lietuvos Respublikos teritorijų planavimo dokumentų rengimo ir teritorijų planavimo proceso valstybės priežiūros informacinėje svetainėje (TPDRIS.lt) ir Vilniaus rajono savivaldybės interneto svetainėje (vrsa.lt). Pasiūlymus dėl pagrindinės žemės naudojimo paskirties ir žemės naudojimo būdo keitimo galima teikti iki 2025-12-19 Vilniaus rajono savivaldybės administracijai (Rinktinės g. 50, Vilnius) raštu ir Lietuvos Respublikos teritorijų planavimo dokumentų rengimo ir teritorijų planavimo proceso valstybinės priežiūros informacinėje sistemoje.

Ištrauka iš Kraštovaizdžio spec. plano

Prašymas

2025-12-05

Informuojame apie pateiktą nagrinėti prašymą dėl žemės sklypo (kad. Nr. 4152/1400:53), esančio Vilniaus r. sav., Mickūnų sen., Uosininkų III k. (toliau – Žemės sklypi) pagrindinės žemės naudojimo paskirties ir  naudojimo būdo keitimo. Prašymo tikslas: 0.7207 ha ploto žemės ūkio paskirties Žemės sklypo pagrindinės žemės naudojimo paskirties ir žemės naudojimo būdo keitimas į kitos – vienbučių ir dvibučių gyvenamųjų pastatų teritorijos. Su prašymu galima susipažinti nuo 2025-12-04 iki 2025-12-18 Lietuvos Respublikos teritorijų planavimo dokumentų rengimo ir teritorijų planavimo proceso valstybės priežiūros informacinėje svetainėje (TPDRIS.lt) ir Vilniaus rajono savivaldybės interneto svetainėje (vrsa.lt). Pasiūlymus dėl pagrindinės žemės naudojimo paskirties ir žemės naudojimo būdo keitimo galima teikti iki 2025-12-18 Vilniaus rajono savivaldybės administracijai (Rinktinės g. 50, Vilnius) raštu ir Lietuvos Respublikos teritorijų planavimo dokumentų rengimo ir teritorijų planavimo proceso valstybinės priežiūros informacinėje sistemoje.

Ištrauka iš Kraštovaizdžio spec. plano

Prašymas

2025-12-04

Informuojame apie pateiktą nagrinėti prašymą dėl žemės sklypo (kad. Nr. 4152/0800:1), esančio Vilniaus r. sav., Mickūnų sen., Mažeikių k. (toliau – Žemės sklypi) pagrindinės žemės naudojimo paskirties ir  naudojimo būdo keitimo. Prašymo tikslas: 1.9256 ha ploto žemės ūkio paskirties Žemės sklypo pagrindinės žemės naudojimo paskirties ir žemės naudojimo būdo keitimas į kitos – vienbučių ir dvibučių gyvenamųjų pastatų teritorijos. Su prašymu galima susipažinti nuo 2025-12-04 iki 2025-12-18 Lietuvos Respublikos teritorijų planavimo dokumentų rengimo ir teritorijų planavimo proceso valstybės priežiūros informacinėje svetainėje (TPDRIS.lt) ir Vilniaus rajono savivaldybės interneto svetainėje (vrsa.lt). Pasiūlymus dėl pagrindinės žemės naudojimo paskirties ir žemės naudojimo būdo keitimo galima teikti iki 2025-12-18 Vilniaus rajono savivaldybės administracijai (Rinktinės g. 50, Vilnius) raštu ir Lietuvos Respublikos teritorijų planavimo dokumentų rengimo ir teritorijų planavimo proceso valstybinės priežiūros informacinėje sistemoje.

Ištrauka iš Kraštovaizdžio spec. plano

Prašymas

2025-12-04

Informuojame apie pateiktą nagrinėti prašymą dėl žemės sklypo (kad. Nr.4103/0300:855), esančio Vilniaus r. sav., Avižienių sen., Bukiškio k. (toliau – Žemės sklypi) pagrindinės žemės naudojimo paskirties ir  naudojimo būdo keitimo. Prašymo tikslas: 0.1900 ha ploto žemės ūkio paskirties Žemės sklypo pagrindinės žemės naudojimo paskirties ir žemės naudojimo būdo keitimas į kitos – komercinės paskirties objektų teritorijos. Su prašymu galima susipažinti nuo 2025-12-04 iki 2025-12-18 Lietuvos Respublikos teritorijų planavimo dokumentų rengimo ir teritorijų planavimo proceso valstybės priežiūros informacinėje svetainėje (TPDRIS.lt) ir Vilniaus rajono savivaldybės interneto svetainėje (vrsa.lt). Pasiūlymus dėl pagrindinės žemės naudojimo paskirties ir žemės naudojimo būdo keitimo galima teikti iki 2025-12-18 Vilniaus rajono savivaldybės administracijai (Rinktinės g. 50, Vilnius) raštu ir Lietuvos Respublikos teritorijų planavimo dokumentų rengimo ir teritorijų planavimo proceso valstybinės priežiūros informacinėje sistemoje.

Ištrauka iš Vilniaus rajono savivaldybės teritorijos dalies („U“ žemės naudojimo funkcinės zonos Avižienių, Juodšilių, Nemėžio, Pagirių, Riešės, Rudaminos ir Zujūnų seniūnijose) bendrojo plano

Prašymas

2025-12-04

Informuojame apie pateiktą nagrinėti prašymą dėl žemės sklypo (kad. Nr.4164/0400:457), esančio Vilniaus r. sav., Paberžės sen., Paberžės k., Vilties g. 18 (toliau – Žemės sklypi) pagrindinės žemės naudojimo paskirties ir  naudojimo būdo keitimo. Prašymo tikslas: 0.1618 ha ploto kitos paskirties Žemės sklypo žemės naudojimo būdo keitimas į kitos – vienbučių ir dvibučių gyvenamųjų pastatų teritorijos. Su prašymu galima susipažinti nuo 2025-12-04 iki 2025-12-18 Lietuvos Respublikos teritorijų planavimo dokumentų rengimo ir teritorijų planavimo proceso valstybės priežiūros informacinėje svetainėje (TPDRIS.lt) ir Vilniaus rajono savivaldybės interneto svetainėje (vrsa.lt). Pasiūlymus dėl pagrindinės žemės naudojimo paskirties ir žemės naudojimo būdo keitimo galima teikti iki 2025-12-18 Vilniaus rajono savivaldybės administracijai (Rinktinės g. 50, Vilnius) raštu ir Lietuvos Respublikos teritorijų planavimo dokumentų rengimo ir teritorijų planavimo proceso valstybinės priežiūros informacinėje sistemoje.

Ištrauka iš Kraštovaizdžio spec. plano

Prašymas

2025-12-04

Informuojame apie pateiktą nagrinėti prašymą dėl žemės sklypo (kad. Nr.4174/0100:394), esančio Vilniaus r. sav., Avižienių sen., Riešės k. (toliau – Žemės sklypi) pagrindinės žemės naudojimo paskirties ir  naudojimo būdo keitimo. Prašymo tikslas: 0.1394 ha ploto žemės ūkio paskirties Žemės sklypo pagrindinės žemės naudojimo paskirties ir žemės naudojimo būdo keitimas į kitos – vienbučių ir dvibučių gyvenamųjų pastatų teritorijos. Su prašymu galima susipažinti nuo 2025-12-03 iki 2025-12-17 Lietuvos Respublikos teritorijų planavimo dokumentų rengimo ir teritorijų planavimo proceso valstybės priežiūros informacinėje svetainėje (TPDRIS.lt) ir Vilniaus rajono savivaldybės interneto svetainėje (vrsa.lt). Pasiūlymus dėl pagrindinės žemės naudojimo paskirties ir žemės naudojimo būdo keitimo galima teikti iki 2025-12-17 Vilniaus rajono savivaldybės administracijai (Rinktinės g. 50, Vilnius) raštu ir Lietuvos Respublikos teritorijų planavimo dokumentų rengimo ir teritorijų planavimo proceso valstybinės priežiūros informacinėje sistemoje.

Ištrauka iš Vilniaus rajono savivaldybės teritorijos dalies („U“ žemės naudojimo funkcinės zonos Avižienių, Juodšilių, Nemėžio, Pagirių, Riešės, Rudaminos ir Zujūnų seniūnijose) bendrojo plano

Prašymas

2025-12-03

Informuojame apie pateiktą nagrinėti prašymą dėl žemės sklypo (kad. Nr.4117/0400:78), esančio Vilniaus r. sav., Riešės sen., Raudondvario k., Akacijų g. 8 (toliau – Žemės sklypi) pagrindinės žemės naudojimo paskirties ir  naudojimo būdo keitimo. Prašymo tikslas: 0.1400 ha ploto žemės ūkio paskirties Žemės sklypo pagrindinės žemės naudojimo paskirties ir žemės naudojimo būdo keitimas į kitos – vienbučių ir dvibučių gyvenamųjų pastatų teritorijos. Su prašymu galima susipažinti nuo 2025-12-03 iki 2025-12-17 Lietuvos Respublikos teritorijų planavimo dokumentų rengimo ir teritorijų planavimo proceso valstybės priežiūros informacinėje svetainėje (TPDRIS.lt) ir Vilniaus rajono savivaldybės interneto svetainėje (vrsa.lt). Pasiūlymus dėl pagrindinės žemės naudojimo paskirties ir žemės naudojimo būdo keitimo galima teikti iki 2025-12-17 Vilniaus rajono savivaldybės administracijai (Rinktinės g. 50, Vilnius) raštu ir Lietuvos Respublikos teritorijų planavimo dokumentų rengimo ir teritorijų planavimo proceso valstybinės priežiūros informacinėje sistemoje.

Ištrauka iš Kraštovaizdžio spec. plano

Prašymas

2025-12-03

Informuojame apie pateiktą nagrinėti prašymą dėl žemės sklypo (kad. Nr.4154/2000:245), esančio Vilniaus r. sav., Marijampolio sen., Marijampolio k. (toliau – Žemės sklypi) pagrindinės žemės naudojimo paskirties ir  naudojimo būdo keitimo. Prašymo tikslas: 0.1321 ha ploto žemės ūkio paskirties Žemės sklypo pagrindinės žemės naudojimo paskirties ir žemės naudojimo būdo keitimas į kitos – vienbučių ir dvibučių gyvenamųjų pastatų teritorijos. Su prašymu galima susipažinti nuo 2025-12-03 iki 2025-12-17 Lietuvos Respublikos teritorijų planavimo dokumentų rengimo ir teritorijų planavimo proceso valstybės priežiūros informacinėje svetainėje (TPDRIS.lt) ir Vilniaus rajono savivaldybės interneto svetainėje (vrsa.lt). Pasiūlymus dėl pagrindinės žemės naudojimo paskirties ir žemės naudojimo būdo keitimo galima teikti iki 2025-12-17 Vilniaus rajono savivaldybės administracijai (Rinktinės g. 50, Vilnius) raštu ir Lietuvos Respublikos teritorijų planavimo dokumentų rengimo ir teritorijų planavimo proceso valstybinės priežiūros informacinėje sistemoje.

Ištrauka iš Kraštovaizdžio spec. plano

Prašymas

2025-12-03

Informuojame apie pateiktą nagrinėti prašymą dėl žemės sklypo (kad. Nr. 4134/0100:493), esančio Vilniaus r. sav., Paberžės sen., Glitiškių k. (toliau – Žemės sklypi) pagrindinės žemės naudojimo paskirties ir  naudojimo būdo keitimo. Prašymo tikslas: 0.2076 ha ploto žemės ūkio paskirties Žemės sklypo pagrindinės žemės naudojimo paskirties ir žemės naudojimo būdo keitimas į kitos – vienbučių ir dvibučių gyvenamųjų pastatų teritorijos. Su prašymu galima susipažinti nuo 2025-12-03 iki 2025-12-17 Lietuvos Respublikos teritorijų planavimo dokumentų rengimo ir teritorijų planavimo proceso valstybės priežiūros informacinėje svetainėje (TPDRIS.lt) ir Vilniaus rajono savivaldybės interneto svetainėje (vrsa.lt). Pasiūlymus dėl pagrindinės žemės naudojimo paskirties ir žemės naudojimo būdo keitimo galima teikti iki 2025-12-17 Vilniaus rajono savivaldybės administracijai (Rinktinės g. 50, Vilnius) raštu ir Lietuvos Respublikos teritorijų planavimo dokumentų rengimo ir teritorijų planavimo proceso valstybinės priežiūros informacinėje sistemoje.

Ištrauka iš Kraštovaizdžio spec. plano

Prašymas

2025-12-03

Informuojame apie pateiktą nagrinėti prašymą dėl žemės sklypo (kad. Nr. 4134/0100:496), esančio Vilniaus r. sav., Paberžės sen., Glitiškių k. (toliau – Žemės sklypi) pagrindinės žemės naudojimo paskirties ir  naudojimo būdo keitimo. Prašymo tikslas: 0.1052 ha ploto žemės ūkio paskirties Žemės sklypo pagrindinės žemės naudojimo paskirties ir žemės naudojimo būdo keitimas į kitos – vienbučių ir dvibučių gyvenamųjų pastatų teritorijos. Su prašymu galima susipažinti nuo 2025-12-02 iki 2025-12-16 Lietuvos Respublikos teritorijų planavimo dokumentų rengimo ir teritorijų planavimo proceso valstybės priežiūros informacinėje svetainėje (TPDRIS.lt) ir Vilniaus rajono savivaldybės interneto svetainėje (vrsa.lt). Pasiūlymus dėl pagrindinės žemės naudojimo paskirties ir žemės naudojimo būdo keitimo galima teikti iki 2025-12-16 Vilniaus rajono savivaldybės administracijai (Rinktinės g. 50, Vilnius) raštu ir Lietuvos Respublikos teritorijų planavimo dokumentų rengimo ir teritorijų planavimo proceso valstybinės priežiūros informacinėje sistemoje.

Ištrauka iš Kraštovaizdžio spec. plano

Prašymas

2025-12-02

Informuojame apie pateiktą nagrinėti prašymą dėl žemės sklypo (kad. Nr. 4134/0100:495), esančio Vilniaus r. sav., Paberžės sen., Glitiškių k. (toliau – Žemės sklypi) pagrindinės žemės naudojimo paskirties ir  naudojimo būdo keitimo. Prašymo tikslas: 0.2889 ha ploto žemės ūkio paskirties Žemės sklypo pagrindinės žemės naudojimo paskirties ir žemės naudojimo būdo keitimas į kitos – vienbučių ir dvibučių gyvenamųjų pastatų teritorijos. Su prašymu galima susipažinti nuo 2025-12-02 iki 2025-12-16 Lietuvos Respublikos teritorijų planavimo dokumentų rengimo ir teritorijų planavimo proceso valstybės priežiūros informacinėje svetainėje (TPDRIS.lt) ir Vilniaus rajono savivaldybės interneto svetainėje (vrsa.lt). Pasiūlymus dėl pagrindinės žemės naudojimo paskirties ir žemės naudojimo būdo keitimo galima teikti iki 2025-12-16 Vilniaus rajono savivaldybės administracijai (Rinktinės g. 50, Vilnius) raštu ir Lietuvos Respublikos teritorijų planavimo dokumentų rengimo ir teritorijų planavimo proceso valstybinės priežiūros informacinėje sistemoje.

Ištrauka iš Kraštovaizdžio spec. plano

Prašymas

2025-12-02

Informuojame apie pateiktą nagrinėti prašymą dėl žemės sklypo (kad. Nr. 4134/0100:494), esančio Vilniaus r. sav., Paberžės sen., Glitiškių k. (toliau – Žemės sklypi) pagrindinės žemės naudojimo paskirties ir  naudojimo būdo keitimo. Prašymo tikslas: 0.5252 ha ploto žemės ūkio paskirties Žemės sklypo pagrindinės žemės naudojimo paskirties ir žemės naudojimo būdo keitimas į kitos – vienbučių ir dvibučių gyvenamųjų pastatų teritorijos. Su prašymu galima susipažinti nuo 2025-12-02 iki 2025-12-16 Lietuvos Respublikos teritorijų planavimo dokumentų rengimo ir teritorijų planavimo proceso valstybės priežiūros informacinėje svetainėje (TPDRIS.lt) ir Vilniaus rajono savivaldybės interneto svetainėje (vrsa.lt). Pasiūlymus dėl pagrindinės žemės naudojimo paskirties ir žemės naudojimo būdo keitimo galima teikti iki 2025-12-16 Vilniaus rajono savivaldybės administracijai (Rinktinės g. 50, Vilnius) raštu ir Lietuvos Respublikos teritorijų planavimo dokumentų rengimo ir teritorijų planavimo proceso valstybinės priežiūros informacinėje sistemoje.

Ištrauka iš Kraštovaizdžio spec. plano

Prašymas

2025-12-02

Informuojame apie pateiktą nagrinėti prašymą dėl žemės sklypo (kad. Nr. 4110/0700:851), esančio Vilniaus r. sav., Zujūnų sen., Balandiškių k. (toliau – Žemės sklypi) pagrindinės žemės naudojimo paskirties ir  naudojimo būdo keitimo. Prašymo tikslas: 0.2765 ha ploto žemės ūkio paskirties Žemės sklypo pagrindinės žemės naudojimo paskirties ir žemės naudojimo būdo keitimas į kitos – vienbučių ir dvibučių gyvenamųjų pastatų teritorijos. Su prašymu galima susipažinti nuo 2025-12-02 iki 2025-12-16 Lietuvos Respublikos teritorijų planavimo dokumentų rengimo ir teritorijų planavimo proceso valstybės priežiūros informacinėje svetainėje (TPDRIS.lt) ir Vilniaus rajono savivaldybės interneto svetainėje (vrsa.lt). Pasiūlymus dėl pagrindinės žemės naudojimo paskirties ir žemės naudojimo būdo keitimo galima teikti iki 2025-12-16 Vilniaus rajono savivaldybės administracijai (Rinktinės g. 50, Vilnius) raštu ir Lietuvos Respublikos teritorijų planavimo dokumentų rengimo ir teritorijų planavimo proceso valstybinės priežiūros informacinėje sistemoje.

Ištrauka iš Vilniaus rajono savivaldybės teritorijos dalies („U“ žemės naudojimo funkcinės zonos Avižienių, Juodšilių, Nemėžio, Pagirių, Riešės, Rudaminos ir Zujūnų seniūnijose) bendrojo plano

Prašymas

2025-12-02

Priimtas sprendimas dėl kitos paskirties žemės sklypo (kadastro Nr. 4196/0100:55), esančio Vilniaus r. sav., Paberžės sen., Visalaukės I k., Jaunimo g. 2,  žemės naudojimo būdo keitimo.

Sprendimas

2025-11-28

 

Informuojame apie pateiktą nagrinėti prašymą dėl žemės sklypo (kad. Nr. 4110/0300:2040), esančio Vilniaus r. sav., Rudaminos sen., Papiškių k. (toliau – Žemės sklypi) pagrindinės žemės naudojimo paskirties ir  naudojimo būdo keitimo. Prašymo tikslas: 0.1358 ha ploto žemės ūkio paskirties Žemės sklypo pagrindinės žemės naudojimo paskirties ir žemės naudojimo būdo keitimas į kitos – vienbučių ir dvibučių gyvenamųjų pastatų teritorijos. Su prašymu galima susipažinti nuo 2025-11-26 iki 2025-12-10 Lietuvos Respublikos teritorijų planavimo dokumentų rengimo ir teritorijų planavimo proceso valstybės priežiūros informacinėje svetainėje (TPDRIS.lt) ir Vilniaus rajono savivaldybės interneto svetainėje (vrsa.lt). Pasiūlymus dėl pagrindinės žemės naudojimo paskirties ir žemės naudojimo būdo keitimo galima teikti iki 2025-12-10 Vilniaus rajono savivaldybės administracijai (Rinktinės g. 50, Vilnius) raštu ir Lietuvos Respublikos teritorijų planavimo dokumentų rengimo ir teritorijų planavimo proceso valstybinės priežiūros informacinėje sistemoje.

Ištrauka iš Vilniaus rajono savivaldybės teritorijos dalies („U“ žemės naudojimo funkcinės zonos Avižienių, Juodšilių, Nemėžio, Pagirių, Riešės, Rudaminos ir Zujūnų seniūnijose) bendrojo plano

Prašymas

2025-11-26

Informuojame apie pateiktą nagrinėti prašymą dėl žemės sklypo (kad. Nr. 4110/0300:2039), esančio Vilniaus r. sav., Rudaminos sen., Papiškių k. (toliau – Žemės sklypi) pagrindinės žemės naudojimo paskirties ir  naudojimo būdo keitimo. Prašymo tikslas: 0.1342 ha ploto žemės ūkio paskirties Žemės sklypo pagrindinės žemės naudojimo paskirties ir žemės naudojimo būdo keitimas į kitos – vienbučių ir dvibučių gyvenamųjų pastatų teritorijos. Su prašymu galima susipažinti nuo 2025-11-26 iki 2025-12-10 Lietuvos Respublikos teritorijų planavimo dokumentų rengimo ir teritorijų planavimo proceso valstybės priežiūros informacinėje svetainėje (TPDRIS.lt) ir Vilniaus rajono savivaldybės interneto svetainėje (vrsa.lt). Pasiūlymus dėl pagrindinės žemės naudojimo paskirties ir žemės naudojimo būdo keitimo galima teikti iki 2025-12-10 Vilniaus rajono savivaldybės administracijai (Rinktinės g. 50, Vilnius) raštu ir Lietuvos Respublikos teritorijų planavimo dokumentų rengimo ir teritorijų planavimo proceso valstybinės priežiūros informacinėje sistemoje.

Ištrauka iš Vilniaus rajono savivaldybės teritorijos dalies („U“ žemės naudojimo funkcinės zonos Avižienių, Juodšilių, Nemėžio, Pagirių, Riešės, Rudaminos ir Zujūnų seniūnijose) bendrojo plano

Prašymas

2025-11-26

Informuojame apie pateiktą nagrinėti prašymą dėl žemės sklypo (kad. Nr. 4103/0200:1616), esančio Vilniaus r. sav., Zujūnų sen., Maskoliškių k., Česlovo Milošo g. 24 (toliau – Žemės sklypi) pagrindinės žemės naudojimo paskirties ir  naudojimo būdo keitimo. Prašymo tikslas: 0.1012 ha ploto žemės ūkio paskirties Žemės sklypo pagrindinės žemės naudojimo paskirties ir žemės naudojimo būdo keitimas į kitos – vienbučių ir dvibučių gyvenamųjų pastatų teritorijos. Su prašymu galima susipažinti nuo 2025-11-19 iki 2025-12-03 Lietuvos Respublikos teritorijų planavimo dokumentų rengimo ir teritorijų planavimo proceso valstybės priežiūros informacinėje svetainėje (TPDRIS.lt) ir Vilniaus rajono savivaldybės interneto svetainėje (vrsa.lt). Pasiūlymus dėl pagrindinės žemės naudojimo paskirties ir žemės naudojimo būdo keitimo galima teikti iki 2025-12-03 Vilniaus rajono savivaldybės administracijai (Rinktinės g. 50, Vilnius) raštu ir Lietuvos Respublikos teritorijų planavimo dokumentų rengimo ir teritorijų planavimo proceso valstybinės priežiūros informacinėje sistemoje.

Ištrauka iš Kraštovaizdžio spec. plano

Prašymas

2025-11-19

Informuojame apie pateiktą nagrinėti prašymą dėl žemės sklypo (kad. Nr.4177/0100:840), esančio Vilniaus r. sav., Rudaminos sen., Totorinės k., (toliau – Žemės sklypas)  naudojimo būdo keitimo. Prašymo tikslas: 0,1000ha ploto žemės ūkio paskirties Žemės sklypo pagrindinės žemės naudojimo paskirties ir žemės naudojimo būdo keitimas į kitos – komercinės paskirties pastatų teritorijos. Su prašymu galima susipažinti nuo 2025-11-19 iki 2024-12-03 Lietuvos Respublikos teritorijų planavimo dokumentų rengimo ir teritorijų planavimo proceso valstybės priežiūros informacinėje svetainėje (TPDRIS.lt) ir Vilniaus rajono savivaldybės interneto svetainėje (vrsa.lt). Pasiūlymus dėl pagrindinės žemės naudojimo paskirties ir žemės naudojimo būdo keitimo galima teikti iki 2025-12-03 Vilniaus rajono savivaldybės administracijai (Rinktinės g. 50, Vilnius) raštu ir Lietuvos Respublikos teritorijų planavimo dokumentų rengimo ir teritorijų planavimo proceso valstybinės priežiūros informacinėje sistemoje.

Ištrauka iš Vilniaus rajono savivaldybės teritorijos dalies („U“ žemės naudojimo funkcinės zonos Avižienių, Juodšilių, Nemėžio, Pagirių, Riešės, Rudaminos ir Zujūnų seniūnijose) bendrojo plano

Prašymas

2025-11-19

Informuojame apie pateiktą nagrinėti prašymą dėl žemės sklypo (kad. Nr. 4154/1600:200), esančio Vilniaus r. sav., Marijampolio sen., Aklosios k. (toliau – Žemės sklypi) pagrindinės žemės naudojimo paskirties ir  naudojimo būdo keitimo. Prašymo tikslas: 1.4925 ha ploto žemės ūkio paskirties Žemės sklypo pagrindinės žemės naudojimo paskirties ir žemės naudojimo būdo keitimas į kitos – vienbučių ir dvibučių gyvenamųjų pastatų teritorijos. Su prašymu galima susipažinti nuo 2025-11-19 iki 2025-12-03 Lietuvos Respublikos teritorijų planavimo dokumentų rengimo ir teritorijų planavimo proceso valstybės priežiūros informacinėje svetainėje (TPDRIS.lt) ir Vilniaus rajono savivaldybės interneto svetainėje (vrsa.lt). Pasiūlymus dėl pagrindinės žemės naudojimo paskirties ir žemės naudojimo būdo keitimo galima teikti iki 2025-12-03 Vilniaus rajono savivaldybės administracijai (Rinktinės g. 50, Vilnius) raštu ir Lietuvos Respublikos teritorijų planavimo dokumentų rengimo ir teritorijų planavimo proceso valstybinės priežiūros informacinėje sistemoje.

Ištrauka iš Kraštovaizdžio spec. plano

Prašymas

2025-11-19

Informuojame apie pateiktą nagrinėti prašymą dėl žemės sklypo (kad. Nr. 4120/0100:277), esančio Vilniaus r. sav., Nemenčinės sen., Krikščioniškių k., Viensėdžio g. 31 (toliau – Žemės sklypi) pagrindinės žemės naudojimo paskirties ir  naudojimo būdo keitimo. Prašymo tikslas: 2,1995 ha ploto žemės ūkio paskirties Žemės sklypo pagrindinės žemės naudojimo paskirties ir žemės naudojimo būdo keitimas į kitos – pramonės ir sandėliavimo objektų teritorijos. Su prašymu galima susipažinti nuo 2025-11-13 iki 2025-11-27 Lietuvos Respublikos teritorijų planavimo dokumentų rengimo ir teritorijų planavimo proceso valstybės priežiūros informacinėje svetainėje (TPDRIS.lt) ir Vilniaus rajono savivaldybės interneto svetainėje (vrsa.lt). Pasiūlymus dėl pagrindinės žemės naudojimo paskirties ir žemės naudojimo būdo keitimo galima teikti iki 2025-11-27 Vilniaus rajono savivaldybės administracijai (Rinktinės g. 50, Vilnius) raštu ir Lietuvos Respublikos teritorijų planavimo dokumentų rengimo ir teritorijų planavimo proceso valstybinės priežiūros informacinėje sistemoje.

Ištrauka iš Kraštovaizdžio spec. plano

Prašymas

2025-11-13

Informuojame apie pateiktą nagrinėti prašymą dėl žemės sklypo (kad. Nr. 4152/1300:190), esančio Vilniaus r. sav., Mickūnų sen., Uosininkų I k. (toliau – Žemės sklypi) pagrindinės žemės naudojimo paskirties ir  naudojimo būdo keitimo. Prašymo tikslas: 0.1121 ha ploto žemės ūkio paskirties Žemės sklypo pagrindinės žemės naudojimo paskirties ir žemės naudojimo būdo keitimas į kitos – vienbučių ir dvibučių gyvenamųjų pastatų teritorijos. Su prašymu galima susipažinti nuo 2025-11-13 iki 2025-11-27 Lietuvos Respublikos teritorijų planavimo dokumentų rengimo ir teritorijų planavimo proceso valstybės priežiūros informacinėje svetainėje (TPDRIS.lt) ir Vilniaus rajono savivaldybės interneto svetainėje (vrsa.lt). Pasiūlymus dėl pagrindinės žemės naudojimo paskirties ir žemės naudojimo būdo keitimo galima teikti iki 2025-11-27 Vilniaus rajono savivaldybės administracijai (Rinktinės g. 50, Vilnius) raštu ir Lietuvos Respublikos teritorijų planavimo dokumentų rengimo ir teritorijų planavimo proceso valstybinės priežiūros informacinėje sistemoje.

Ištrauka iš Kraštovaizdžio spec. plano

Prašymas

2025-11-13

Informuojame apie pateiktą nagrinėti prašymą dėl žemės sklypo (kad. Nr. 4110/0300:1348), esančio Vilniaus r. sav., Zujūnų sen., Medžiakalnio k. (toliau – Žemės sklypi) pagrindinės žemės naudojimo paskirties ir  naudojimo būdo keitimo. Prašymo tikslas: 0.1100 ha ploto žemės ūkio paskirties Žemės sklypo pagrindinės žemės naudojimo paskirties ir žemės naudojimo būdo keitimas į kitos – vienbučių ir dvibučių gyvenamųjų pastatų teritorijos. Su prašymu galima susipažinti nuo 2025-11-13 iki 2025-11-27 Lietuvos Respublikos teritorijų planavimo dokumentų rengimo ir teritorijų planavimo proceso valstybės priežiūros informacinėje svetainėje (TPDRIS.lt) ir Vilniaus rajono savivaldybės interneto svetainėje (vrsa.lt). Pasiūlymus dėl pagrindinės žemės naudojimo paskirties ir žemės naudojimo būdo keitimo galima teikti iki 2025-11-27 Vilniaus rajono savivaldybės administracijai (Rinktinės g. 50, Vilnius) raštu ir Lietuvos Respublikos teritorijų planavimo dokumentų rengimo ir teritorijų planavimo proceso valstybinės priežiūros informacinėje sistemoje.

Ištrauka iš Vilniaus rajono savivaldybės teritorijos dalies („U“ žemės naudojimo funkcinės zonos Avižienių, Juodšilių, Nemėžio, Pagirių, Riešės, Rudaminos ir Zujūnų seniūnijose) bendrojo plano

Prašymas

2025-11-13

Informuojame apie pateiktą nagrinėti prašymą dėl žemės sklypo (kad. Nr. 4120/0100:310), esančio Vilniaus r. sav., Nemenčinės sen., Krikščioniškių k., Viensėdžio g. 36A (toliau – Žemės sklypas) pagrindinės žemės naudojimo paskirties ir būdo keitimo. Prašymo tikslas: 0,6020 ha ploto kitos paskirties žemės sklypo žemės naudojimo būdo keitimas į  kitos – pramonės ir sandėliavimo objektų teritorijos. Su prašymu galima susipažinti nuo 2025-11-12 iki 2025-11-26 Lietuvos Respublikos teritorijų planavimo dokumentų rengimo ir teritorijų planavimo proceso valstybės priežiūros informacinėje svetainėje (TPDRIS.lt) ir Vilniaus rajono savivaldybės interneto svetainėje (vrsa.lt). Pasiūlymus dėl pagrindinės žemės naudojimo paskirties ir žemės naudojimo būdo keitimo galima teikti iki 2025-11-26 Vilniaus rajono savivaldybės administracijai (Rinktinės g. 50, Vilnius) raštu ir Lietuvos Respublikos teritorijų planavimo dokumentų rengimo ir teritorijų planavimo proceso valstybinės priežiūros informacinėje sistemoje.

Ištrauka iš Kraštovaizdžio spec. plano

Prašymas

2025-11-12

Informuojame apie pateiktą nagrinėti prašymą dėl žemės sklypo (kad. Nr. 4110/0400:243), esančio Vilniaus r. sav., Zujūnų sen., Koplyčninkų k. (toliau – Žemės sklypi) pagrindinės žemės naudojimo paskirties ir  naudojimo būdo keitimo. Prašymo tikslas: 0.1789 ha ploto žemės ūkio paskirties Žemės sklypo pagrindinės žemės naudojimo paskirties ir žemės naudojimo būdo keitimas į kitos – vienbučių ir dvibučių gyvenamųjų pastatų teritorijos. Su prašymu galima susipažinti nuo 2025-11-12 iki 2025-11-26 Lietuvos Respublikos teritorijų planavimo dokumentų rengimo ir teritorijų planavimo proceso valstybės priežiūros informacinėje svetainėje (TPDRIS.lt) ir Vilniaus rajono savivaldybės interneto svetainėje (vrsa.lt). Pasiūlymus dėl pagrindinės žemės naudojimo paskirties ir žemės naudojimo būdo keitimo galima teikti iki 2025-11-126 Vilniaus rajono savivaldybės administracijai (Rinktinės g. 50, Vilnius) raštu ir Lietuvos Respublikos teritorijų planavimo dokumentų rengimo ir teritorijų planavimo proceso valstybinės priežiūros informacinėje sistemoje.

Ištrauka iš Kraštovaizdžio spec. plano

Prašymas

2025-11-12

Informuojame apie pateiktą nagrinėti prašymą dėl žemės sklypo (kad. Nr. 4174/0300:80), esančio Vilniaus r. sav., Avižienių sen., Galinės k., Galinės g. 7 (toliau – Žemės sklypas) pagrindinės žemės naudojimo paskirties ir būdo keitimo. Prašymo tikslas: 2.2510 ha ploto kitos paskirties žemės sklypo žemės naudojimo būdo keitimas į  kitos – pramonės ir sandėliavimo objektų teritorijos. Su prašymu galima susipažinti nuo 2025-11-12 iki 2025-11-26 Lietuvos Respublikos teritorijų planavimo dokumentų rengimo ir teritorijų planavimo proceso valstybės priežiūros informacinėje svetainėje (TPDRIS.lt) ir Vilniaus rajono savivaldybės interneto svetainėje (vrsa.lt). Pasiūlymus dėl pagrindinės žemės naudojimo paskirties ir žemės naudojimo būdo keitimo galima teikti iki 2025-11-26 Vilniaus rajono savivaldybės administracijai (Rinktinės g. 50, Vilnius) raštu ir Lietuvos Respublikos teritorijų planavimo dokumentų rengimo ir teritorijų planavimo proceso valstybinės priežiūros informacinėje sistemoje.

Ištrauka iš Kraštovaizdžio spec. plano

Prašymas

2025-11-12

Informuojame apie pateiktą nagrinėti prašymą dėl žemės sklypo (kadastro Nr. 4177/0300:1137), esančio Vilniaus r. sav., Rudaminos sen., Rudaminos k. (toliau – Žemės sklypas) pagrindinės žemės naudojimo paskirties ir  naudojimo būdo keitimo. Prašymo tikslas: 0,1840 ha ploto žemės ūkio paskirties Žemės sklypo pagrindinės žemės naudojimo paskirties ir žemės naudojimo būdo keitimas į kitos – vienbučių ir dvibučių gyvenamųjų pastatų teritorijos. Su prašymu galima susipažinti nuo 2025-11-07 iki 2025-11-21 Lietuvos  Respublikos teritorijų planavimo dokumentų rengimo ir teritorijų planavimo proceso valstybės priežiūros informacinėje svetainėje (TPDRIS.lt) ir Vilniaus rajono savivaldybės interneto svetainėje (vrsa.lt). Pasiūlymus dėl pagrindinės žemės naudojimo paskirties ir žemės naudojimo būdo keitimo galima teikti iki 2025-11-21 Vilniaus rajono savivaldybės administracijai (Rinktinės g. 50, Vilnius) raštu ir Lietuvos Respublikos teritorijų planavimo dokumentų rengimo ir teritorijų planavimo proceso valstybinės priežiūros informacinėje sistemoje.

Ištrauka iš Vilniaus rajono savivaldybės teritorijos dalies („U“ žemės naudojimo funkcinės zonos Avižienių, Juodšilių, Nemėžio, Pagirių, Riešės, Rudaminos ir Zujūnų seniūnijose) bendrojo plano

Prašymas

2025-11-07

Informuojame apie pateiktą nagrinėti prašymą dėl žemės sklypo (kadastro Nr. 4174/0200:8572), esančio Vilniaus r. sav., Avižienių sen., Užubalių k., Blindžių g. 22 (toliau – Žemės sklypas) žemės naudojimo būdo keitimo. Prašymo tikslas: 0,1580 ha ploto kitos paskirties žemės sklypo žemės naudojimo būdo keitimas į  kitos – komercinės paskirties objektų teritorijos. Su prašymu galima susipažinti nuo 2025-11-06 iki 2025-11-20 Lietuvos  Respublikos teritorijų planavimo dokumentų rengimo ir teritorijų planavimo proceso valstybės priežiūros informacinėje svetainėje (TPDRIS.lt) ir Vilniaus rajono savivaldybės interneto svetainėje (vrsa.lt). Pasiūlymus dėl pagrindinės žemės naudojimo paskirties ir žemės naudojimo būdo keitimo galima teikti iki 2025-11-20 Vilniaus rajono savivaldybės administracijai (Rinktinės g. 50, Vilnius) raštu ir Lietuvos Respublikos teritorijų planavimo dokumentų rengimo ir teritorijų planavimo proceso valstybinės priežiūros informacinėje sistemoje.

Ištrauka iš Vilniaus rajono savivaldybės teritorijos dalies („U“ žemės naudojimo funkcinės zonos Avižienių, Juodšilių, Nemėžio, Pagirių, Riešės, Rudaminos ir Zujūnų seniūnijose) bendrojo plano

Prašymas

2025-11-06

Informuojame apie pateiktą nagrinėti prašymą dėl žemės sklypo (kad. Nr. 4172/0200:738), esančio Vilniaus r. sav., Nemenčinės sen., Kreivalaužių k., Taikos g. 9 (toliau – Žemės sklypi) pagrindinės žemės naudojimo paskirties ir  naudojimo būdo keitimo. Prašymo tikslas: 0,0899 ha ploto kitos paskirties Žemės sklypo naudojimo būdo keitimas į kitos – Daugiabučių gyvenamųjų pastatų ir bendrabučių teritorijos. Su prašymu galima susipažinti nuo 2025-10-31 iki 2025-11-14 Lietuvos Respublikos teritorijų planavimo dokumentų rengimo ir teritorijų planavimo proceso valstybės priežiūros informacinėje svetainėje (TPDRIS.lt) ir Vilniaus rajono savivaldybės interneto svetainėje (vrsa.lt). Pasiūlymus dėl pagrindinės žemės naudojimo paskirties ir žemės naudojimo būdo keitimo galima teikti iki 2025-11-14 Vilniaus rajono savivaldybės administracijai (Rinktinės g. 50, Vilnius) raštu ir Lietuvos Respublikos teritorijų planavimo dokumentų rengimo ir teritorijų planavimo proceso valstybinės priežiūros informacinėje sistemoje.

Ištrauka iš Kraštovaizdžio spec. plano

Prašymas

2025-10-31

Informuojame apie pateiktą nagrinėti prašymą dėl žemės sklypo (kad. Nr. 4172/0500:581), esančio Vilniaus r. sav., Nemenčinės sen., Pailgės k. (toliau – Žemės sklypi) pagrindinės žemės naudojimo paskirties ir  naudojimo būdo keitimo. Prašymo tikslas: 0.1163 ha ploto žemės ūkio paskirties Žemės sklypo pagrindinės žemės naudojimo paskirties ir žemės naudojimo būdo keitimas į kitos – vienbučių ir dvibučių gyvenamųjų pastatų teritorijos. Su prašymu galima susipažinti nuo 2025-10-31 iki 2025-11-14 Lietuvos Respublikos teritorijų planavimo dokumentų rengimo ir teritorijų planavimo proceso valstybės priežiūros informacinėje svetainėje (TPDRIS.lt) ir Vilniaus rajono savivaldybės interneto svetainėje (vrsa.lt). Pasiūlymus dėl pagrindinės žemės naudojimo paskirties ir žemės naudojimo būdo keitimo galima teikti iki 2025-11-14 Vilniaus rajono savivaldybės administracijai (Rinktinės g. 50, Vilnius) raštu ir Lietuvos Respublikos teritorijų planavimo dokumentų rengimo ir teritorijų planavimo proceso valstybinės priežiūros informacinėje sistemoje.

Ištrauka iš Kraštovaizdžio spec. plano

Prašymas

2025-10-31

Informuojame apie pateiktą nagrinėti prašymą dėl žemės sklypo (kad. Nr. 4164/0400:21), esančio Vilniaus r. sav., Paberžės sen., Lygialaukio k., Vilniaus g. 86 (toliau – Žemės sklypi) pagrindinės žemės naudojimo paskirties ir  naudojimo būdo keitimo. Prašymo tikslas: 5,3479 ha ploto žemės ūkio paskirties Žemės sklypo pagrindinės žemės naudojimo paskirties ir žemės naudojimo būdo keitimas į kitos – Daugiabučių gyvenamųjų pastatų ir bendrabučių teritorijos. Su prašymu galima susipažinti nuo 2025-10-30 iki 2025-11-13 Lietuvos Respublikos teritorijų planavimo dokumentų rengimo ir teritorijų planavimo proceso valstybės priežiūros informacinėje svetainėje (TPDRIS.lt) ir Vilniaus rajono savivaldybės interneto svetainėje (vrsa.lt). Pasiūlymus dėl pagrindinės žemės naudojimo paskirties ir žemės naudojimo būdo keitimo galima teikti iki 2025-11-13 Vilniaus rajono savivaldybės administracijai (Rinktinės g. 50, Vilnius) raštu ir Lietuvos Respublikos teritorijų planavimo dokumentų rengimo ir teritorijų planavimo proceso valstybinės priežiūros informacinėje sistemoje.

Ištrauka iš Kraštovaizdžio spec. plano

Prašymas

2025-10-30

Informuojame apie pateiktą nagrinėti prašymą dėl žemės sklypo (kad. Nr. 4132/0100:626), esančio Vilniaus r. sav., Maišiagalos sen., Karvio k. (toliau – Žemės sklypi) pagrindinės žemės naudojimo paskirties ir  naudojimo būdo keitimo. Prašymo tikslas: 0,3628 ploto žemės ūkio paskirties Žemės sklypo pagrindinės žemės naudojimo paskirties ir žemės naudojimo būdo keitimas į kitos – vienbučių ir dvibučių gyvenamųjų pastatų teritorijos. Su prašymu galima susipažinti nuo 2025-10-30 iki 2025-11-13 Lietuvos Respublikos teritorijų planavimo dokumentų rengimo ir teritorijų planavimo proceso valstybės priežiūros informacinėje svetainėje (TPDRIS.lt) ir Vilniaus rajono savivaldybės interneto svetainėje (vrsa.lt). Pasiūlymus dėl pagrindinės žemės naudojimo paskirties ir žemės naudojimo būdo keitimo galima teikti iki 2025-11-13 Vilniaus rajono savivaldybės administracijai (Rinktinės g. 50, Vilnius) raštu ir Lietuvos Respublikos teritorijų planavimo dokumentų rengimo ir teritorijų planavimo proceso valstybinės priežiūros informacinėje sistemoje.

Ištrauka iš Kraštovaizdžio spec. plano

Prašymas

2025-10-30

Informuojame apie pateiktą nagrinėti prašymą dėl žemės sklypo (kadastro Nr. 4117/0700:48), esančio Vilniaus r. sav., Riešės sen., Didžiosios Riešės k. (toliau – Žemės sklypas) pagrindinės žemės naudojimo paskirties ir būdo keitimo. Prašymo tikslas: 0,2447 ha ploto žemės ūkio paskirties žemės sklypo žemės naudojimo būdo keitimas į  kitos – visuomeninės paskirties teritorijos. Su prašymu galima susipažinti nuo 2025-10-22 iki 2025-11-04 Lietuvos  Respublikos teritorijų planavimo dokumentų rengimo ir teritorijų planavimo proceso valstybės priežiūros informacinėje svetainėje (TPDRIS.lt) ir Vilniaus rajono savivaldybės interneto svetainėje (vrsa.lt). Pasiūlymus dėl pagrindinės žemės naudojimo paskirties ir žemės naudojimo būdo keitimo galima teikti iki 2025-11-04 Vilniaus rajono savivaldybės administracijai (Rinktinės g. 50, Vilnius) raštu ir Lietuvos Respublikos teritorijų planavimo dokumentų rengimo ir teritorijų planavimo proceso valstybinės priežiūros informacinėje sistemoje.

Ištrauka iš Vilniaus rajono savivaldybės teritorijos dalies („U“ žemės naudojimo funkcinės zonos Avižienių, Juodšilių, Nemėžio, Pagirių, Riešės, Rudaminos ir Zujūnų seniūnijose) bendrojo plano

Prašymas

2025-10-22

 

 

Informuojame apie pateiktą nagrinėti prašymą dėl žemės sklypo (kadastro Nr. 4162/0400:1151), esančio Vilniaus r. sav., Nemėžio sen., Talkotiškių k. (toliau – Žemės sklypas) pagrindinės žemės naudojimo paskirties ir būdo keitimo. Prašymo tikslas: 1,1987 ha ploto mi6ko ūkio paskirties žemės sklypo žemės naudojimo būdo keitimas į  kitos – vienbučių ir dvibučių gyvenamųjų pastatų teritorijos. Su prašymu galima susipažinti nuo 2025-10-22 iki 2025-11-0 4 Lietuvos  Respublikos teritorijų planavimo dokumentų rengimo ir teritorijų planavimo proceso valstybės priežiūros informacinėje svetainėje (TPDRIS.lt) ir Vilniaus rajono savivaldybės interneto svetainėje (vrsa.lt). Pasiūlymus dėl pagrindinės žemės naudojimo paskirties ir žemės naudojimo būdo keitimo galima teikti iki 2025-11-04 Vilniaus rajono savivaldybės administracijai (Rinktinės g. 50, Vilnius) raštu ir Lietuvos Respublikos teritorijų planavimo dokumentų rengimo ir teritorijų planavimo proceso valstybinės priežiūros informacinėje sistemoje.

Ištrauka iš Vilniaus rajono savivaldybės teritorijos dalies („U“ žemės naudojimo funkcinės zonos Avižienių, Juodšilių, Nemėžio, Pagirių, Riešės, Rudaminos ir Zujūnų seniūnijose) bendrojo plano

Prašymas

2025-10-22

 

Informuojame apie pateiktą nagrinėti prašymą dėl žemės sklypo (kadastro Nr. 4167/0400:217) , esančio Vilniaus r. sav., Pagirių sen., Merešlėnų k. (toliau – Žemės sklypas) pagrindinės žemės naudojimo paskirties ir būdo keitimo. Prašymo tikslas: 1,7942 ploto žemės ūkio paskirties žemės sklypo žemės naudojimo būdo keitimas į kitos –  rekreacinės teritorijos . Su prašymu galima susipažinti nuo 2025-10-22 iki 2025-11-04 Lietuvos Respublikos teritorijų planavimo dokumentų rengimo ir teritorijų planavimo proceso valstybės priežiūros informacinėje svetainėje (TPDRIS.lt) ir Vilniaus rajono savivaldybės interneto svetainėje (vrsa.lt). Pasiūlymus dėl pagrindinės žemės naudojimo paskirties ir žemės naudojimo būdo keitimo galima teikti iki 2025-11-04 Vilniaus rajono savivaldybės administracijai (Rinktinės g. 50, Vilnius) raštu ir Lietuvos Respublikos teritorijų planavimo dokumentų rengimo ir teritorijų planavimo proceso valstybinės priežiūros informacinėje sistemoje.

Ištrauka iš Kraštovaizdžio spec. plano

Prašymas

2025-10-22

 

Informuojame apie pateiktą nagrinėti prašymą dėl žemės sklypo (kad. Nr. 4174/0100:0840), esančio Vilniaus r. sav., Avižienių sen., Riešės k., Ežero g. 2C (toliau – Žemės sklypas) pagrindinės žemės naudojimo paskirties ir būdo keitimo. Prašymo tikslas: 0,5828 ha ploto žemės ūkio paskirties žemės sklypo pagrindinės žemės naudojimo paskirties ir būdo keitimas į  kitos – pramonės ir sandėliavimo objektų teritorijos. Su prašymu galima susipažinti nuo 2025-10-21 iki 2025-11-03 Lietuvos Respublikos teritorijų planavimo dokumentų rengimo ir teritorijų planavimo proceso valstybės priežiūros informacinėje svetainėje (TPDRIS.lt) ir Vilniaus rajono savivaldybės interneto svetainėje (vrsa.lt). Pasiūlymus dėl pagrindinės žemės naudojimo paskirties ir žemės naudojimo būdo keitimo galima teikti iki 2025-11-03 Vilniaus rajono savivaldybės administracijai (Rinktinės g. 50, Vilnius) raštu ir Lietuvos Respublikos teritorijų planavimo dokumentų rengimo ir teritorijų planavimo proceso valstybinės priežiūros informacinėje sistemoje.

Ištrauka iš Vilniaus rajono savivaldybės teritorijos dalies („U“ žemės naudojimo funkcinės zonos Avižienių, Juodšilių, Nemėžio, Pagirių, Riešės, Rudaminos ir Zujūnų seniūnijose) bendrojo plano

Prašymas

2025-10-21

 

Informuojame apie pateiktą nagrinėti prašymą dėl žemės sklypo (kad. Nr. 4110/0300:497), esančio Vilniaus r. sav., Zujūnų sen., Platiniškių k. (toliau – Žemės sklypas) pagrindinės žemės naudojimo paskirties ir būdo keitimo. Prašymo tikslas: 0,4861 ha ploto žemės ūkio paskirties žemės sklypo pagrindinės žemės naudojimo paskirties ir būdo keitimas į  kitos – vienbučių ir dvibučių gyvenamųjų pastatų teritorijos. Su prašymu galima susipažinti nuo 2025-10-21 iki 2025-11-03 Lietuvos Respublikos teritorijų planavimo dokumentų rengimo ir teritorijų planavimo proceso valstybės priežiūros informacinėje svetainėje (TPDRIS.lt) ir Vilniaus rajono savivaldybės interneto svetainėje (vrsa.lt). Pasiūlymus dėl pagrindinės žemės naudojimo paskirties ir žemės naudojimo būdo keitimo galima teikti iki 2025-11-03 Vilniaus rajono savivaldybės administracijai (Rinktinės g. 50, Vilnius) raštu ir Lietuvos Respublikos teritorijų planavimo dokumentų rengimo ir teritorijų planavimo proceso valstybinės priežiūros informacinėje sistemoje.

Ištrauka iš Vilniaus rajono savivaldybės teritorijos dalies („U“ žemės naudojimo funkcinės zonos Avižienių, Juodšilių, Nemėžio, Pagirių, Riešės, Rudaminos ir Zujūnų seniūnijose) bendrojo plano

Prašymas

2025-10-21

būdo keitimo. Prašymo tikslas: 0,5828 ha ploto žemės ūkio paskirties žemės sklypo žemės naudojimo būdo keitimas į  kitos – pramonės ir sandėliavimo objektų teritorijos. Su prašymu galima susipažinti nuo 2025-10-21 iki 2025-11-03 Lietuvos Respublikos teritorijų planavimo dokumentų rengimo ir teritorijų planavimo proceso valstybės priežiūros informacinėje svetainėje (TPDRIS.lt) ir Vilniaus rajono savivaldybės interneto svetainėje (vrsa.lt). Pasiūlymus dėl pagrindinės žemės naudojimo paskirties ir žemės naudojimo būdo keitimo galima teikti iki 2025-11-03 Vilniaus rajono savivaldybės administracijai (Rinktinės g. 50, Vilnius) raštu ir Lietuvos Respublikos teritorijų planavimo dokumentų rengimo ir teritorijų planavimo proceso valstybinės priežiūros informacinėje sistemoje.

Ištrauka iš Vilniaus rajono savivaldybės teritorijos dalies („U“ žemės naudojimo funkcinės zonos Avižienių, Juodšilių, Nemėžio, Pagirių, Riešės, Rudaminos ir Zujūnų seniūnijose) bendrojo plano

Prašymas

2025-10-21

 

Informuojame apie pateiktą nagrinėti prašymą dėl žemės sklypo (kad. Nr. 4110/0300:497), esančio Vilniaus r. sav., Zujūnų sen., Platiniškių k. (toliau – Žemės sklypas) pagrindinės žemės naudojimo paskirties ir būdo keitimo. Prašymo tikslas: 0,4861 ha ploto žemės ūkio paskirties Žemės sklypo žemės naudojimo būdo keitimo į  kitos – vienbučių ir dvibučių gyvenamųjų pastatų teritorijos. Su prašymu galima susipažinti nuo 2025-10-21 iki 2025-11-03 Lietuvos Respublikos teritorijų planavimo dokumentų rengimo ir teritorijų planavimo proceso valstybės priežiūros informacinėje svetainėje (TPDRIS.lt) ir Vilniaus rajono savivaldybės interneto svetainėje (vrsa.lt). Pasiūlymus dėl pagrindinės žemės naudojimo paskirties ir žemės naudojimo būdo keitimo galima teikti iki 2025-11-03 Vilniaus rajono savivaldybės administracijai (Rinktinės g. 50, Vilnius) raštu ir Lietuvos Respublikos teritorijų planavimo dokumentų rengimo ir teritorijų planavimo proceso valstybinės priežiūros informacinėje sistemoje.

Ištrauka iš Vilniaus rajono savivaldybės teritorijos dalies („U“ žemės naudojimo funkcinės zonos Avižienių, Juodšilių, Nemėžio, Pagirių, Riešės, Rudaminos ir Zujūnų seniūnijose) bendrojo plano

Prašymas

2025-10-21

 

Informuojame apie pateiktą nagrinėti prašymą dėl žemės sklypo (kadastro Nr.4167/0200:468), esančio Vilniaus r. sav., Pagirių sen., Melekonių k. (toliau – Žemės sklypas) naudojimo būdo keitimo. Prašymo tikslas: 0,3500 ploto kiotos paskirties Žemės sklypo žemės naudojimo būdo nustatymo į – Susisiekimo ir inžinerinių komunikacijų aptarnavimo objektų teritorijos ir Susisiekimo inžinerinių tinklų koridorių teritorijos. Su prašymu galima susipažinti nuo 2025-10-17 iki 2025-10-31 Lietuvos Respublikos teritorijų planavimo dokumentų rengimo ir teritorijų planavimo proceso valstybės priežiūros informacinėje svetainėje (TPDRIS.lt) ir Vilniaus rajono savivaldybės interneto svetainėje (vrsa.lt). Pasiūlymus dėl pagrindinės žemės naudojimo paskirties ir žemės naudojimo būdo keitimo galima teikti iki 2025-10-31 Vilniaus rajono savivaldybės administracijai (Rinktinės g. 50, Vilnius) raštu ir Lietuvos Respublikos teritorijų planavimo dokumentų rengimo ir teritorijų planavimo proceso valstybinės priežiūros informacinėje sistemoje.

Ištrauka iš Kraštovaizdžio spec. plano

Prašymas

2025-10-17

Informuojame apie pateiktą nagrinėti prašymą dėl žemės sklypo (kadastro Nr.4152/0800:884) , esančio Vilniaus r. sav., Mickūnų sen., Mickūnų mstl. (toliau – Žemės sklypas) naudojimo būdo keitimo. Prašymo tikslas: 0,1600 ploto žemės ūkio paskirties Žemės sklypo žemės naudojimo būdo keitimas į kitos – vienbučių ir dvibučių gyvenamųjų pastatų teritorijos. Su prašymu galima susipažinti nuo 2025-10-17 iki 2025-10-31 Lietuvos Respublikos teritorijų planavimo dokumentų rengimo ir teritorijų planavimo proceso valstybės priežiūros informacinėje svetainėje (TPDRIS.lt) ir Vilniaus rajono savivaldybės interneto svetainėje (vrsa.lt). Pasiūlymus dėl pagrindinės žemės naudojimo paskirties ir žemės naudojimo būdo keitimo galima teikti iki 2025-10-31 Vilniaus rajono savivaldybės administracijai (Rinktinės g. 50, Vilnius) raštu ir Lietuvos Respublikos teritorijų planavimo dokumentų rengimo ir teritorijų planavimo proceso valstybinės priežiūros informacinėje sistemoje.

Ištrauka iš Kraštovaizdžio spec. plano

Prašymas

2025-10-17

Informuojame apie pateiktą nagrinėti prašymą dėl žemės sklypo (kadastro Nr.4154/2000:835), esančio Vilniaus r. sav., Marijampolio sen., Marijampolio k. (toliau – Žemės sklypas) naudojimo būdo keitimo. Prašymo tikslas: 0,1779 ploto žemės ūkio paskirties Žemės sklypo žemės naudojimo būdo keitimas į kitos – vienbučių ir dvibučių gyvenamųjų pastatų teritorijos. Su prašymu galima susipažinti nuo 2025-10-17 iki 2025-10-31 Lietuvos Respublikos teritorijų planavimo dokumentų rengimo ir teritorijų planavimo proceso valstybės priežiūros informacinėje svetainėje (TPDRIS.lt) ir Vilniaus rajono savivaldybės interneto svetainėje (vrsa.lt). Pasiūlymus dėl pagrindinės žemės naudojimo paskirties ir žemės naudojimo būdo keitimo galima teikti iki 2025-10-31 Vilniaus rajono savivaldybės administracijai (Rinktinės g. 50, Vilnius) raštu ir Lietuvos Respublikos teritorijų planavimo dokumentų rengimo ir teritorijų planavimo proceso valstybinės priežiūros informacinėje sistemoje.

Ištrauka iš Kraštovaizdžio spec. plano

Prašymas

2025-10-17

Informuojame apie pateiktą nagrinėti prašymą dėl žemės sklypo (kadastro Nr.4134/0200:172), esančio Vilniaus r. sav., Paberžės sen., Santakos k. (toliau – Žemės sklypas) naudojimo būdo keitimo. Prašymo tikslas: 0,8697 ploto žemės ūkio paskirties Žemės sklypo žemės naudojimo būdo keitimas į kitos – vienbučių ir dvibučių gyvenamųjų pastatų teritorijos. Su prašymu galima susipažinti nuo 2025-10-17 iki 2025-10-31 Lietuvos Respublikos teritorijų planavimo dokumentų rengimo ir teritorijų planavimo proceso valstybės priežiūros informacinėje svetainėje (TPDRIS.lt) ir Vilniaus rajono savivaldybės interneto svetainėje (vrsa.lt). Pasiūlymus dėl pagrindinės žemės naudojimo paskirties ir žemės naudojimo būdo keitimo galima teikti iki 2025-10-31 Vilniaus rajono savivaldybės administracijai (Rinktinės g. 50, Vilnius) raštu ir Lietuvos Respublikos teritorijų planavimo dokumentų rengimo ir teritorijų planavimo proceso valstybinės priežiūros informacinėje sistemoje.

Ištrauka iš Kraštovaizdžio spec. plano

Prašymas

2025-10-17

Priimtas sprendimas kitos paskirties žemės sklypo (kadastro Nr. 4174/0100:2514), esančio Vilniaus r. sav., Avižienių sen., Riešės k., Pergalės g. 7, pagrindinės žemės naudojimo paskirties ir žemės naudojimo būdo keitimo.

Sprendimas

2025-10-16

Informuojame apie pateiktą nagrinėti prašymą dėl žemės sklypo (kadastro Nr.4184/0400:683), esančio Vilniaus r. sav., Avižienių sen., Švedų k., Izabelinės g. 42 (toliau – Žemės sklypas) naudojimo būdo keitimo. Prašymo tikslas: 0,1200 ploto žemės ūkio paskirties Žemės sklypo žemės naudojimo būdo keitimas į kitos – vienbučių ir dvibučių gyvenamųjų pastatų teritorijos. Su prašymu galima susipažinti nuo 2025-10-16 iki 2025-10-30 Lietuvos Respublikos teritorijų planavimo dokumentų rengimo ir teritorijų planavimo proceso valstybės priežiūros informacinėje svetainėje (TPDRIS.lt) ir Vilniaus rajono savivaldybės interneto svetainėje (vrsa.lt). Pasiūlymus dėl pagrindinės žemės naudojimo paskirties ir žemės naudojimo būdo keitimo galima teikti iki 2025-10-30 Vilniaus rajono savivaldybės administracijai (Rinktinės g. 50, Vilnius) raštu ir Lietuvos Respublikos teritorijų planavimo dokumentų rengimo ir teritorijų planavimo proceso valstybinės priežiūros informacinėje sistemoje.

Vilniaus rajono savivaldybės teritorijos dalies („ZRg“ žemės naudojimo funkcinės zonos Sudervės seniūnijoje) bendrojo plano ištrauka)

Prašymas

2025-10-16

Informuojame apie pateiktą nagrinėti prašymą dėl žemės sklypo (kadastro Nr.4180/0200:471), esančio Vilniaus r. sav., Rukainių sen., Naujasėdžių k. (toliau – Žemės sklypas) naudojimo būdo keitimo. Prašymo tikslas: 0,8697 ploto žemės ūkio paskirties Žemės sklypo žemės naudojimo būdo keitimas į kitos – vienbučių ir dvibučių gyvenamųjų pastatų teritorijos. Su prašymu galima susipažinti nuo 2025-10-16 iki 2025-10-30 Lietuvos Respublikos teritorijų planavimo dokumentų rengimo ir teritorijų planavimo proceso valstybės priežiūros informacinėje svetainėje (TPDRIS.lt) ir Vilniaus rajono savivaldybės interneto svetainėje (vrsa.lt). Pasiūlymus dėl pagrindinės žemės naudojimo paskirties ir žemės naudojimo būdo keitimo galima teikti iki 2025-10-30 Vilniaus rajono savivaldybės administracijai (Rinktinės g. 50, Vilnius) raštu ir Lietuvos Respublikos teritorijų planavimo dokumentų rengimo ir teritorijų planavimo proceso valstybinės priežiūros informacinėje sistemoje.

Ištrauka iš Kraštovaizdžio spec. plano

Prašymas

2025-10-16

Informuojame apie pateiktą nagrinėti prašymą dėl žemės sklypo (kadastro Nr.4110/0100:881), esančio Vilniaus r. sav., Zujūnų sen., Leičių k. (toliau – Žemės sklypas) naudojimo būdo keitimo. Prašymo tikslas: 0,1410 ploto žemės ūkio paskirties Žemės sklypo žemės naudojimo būdo keitimas į kitos – komercinės paskirties pastatų teritorijos. Su prašymu galima susipažinti nuo 2025-10-16 iki 2025-10-30 Lietuvos Respublikos teritorijų planavimo dokumentų rengimo ir teritorijų planavimo proceso valstybės priežiūros informacinėje svetainėje (TPDRIS.lt) ir Vilniaus rajono savivaldybės interneto svetainėje (vrsa.lt). Pasiūlymus dėl pagrindinės žemės naudojimo paskirties ir žemės naudojimo būdo keitimo galima teikti iki 2025-10-30 Vilniaus rajono savivaldybės administracijai (Rinktinės g. 50, Vilnius) raštu ir Lietuvos Respublikos teritorijų planavimo dokumentų rengimo ir teritorijų planavimo proceso valstybinės priežiūros informacinėje sistemoje.

Ištrauka iš Kraštovaizdžio spec. plano

Prašymas

2025-10-16

Informuojame apie pateiktą nagrinėti prašymą dėl žemės sklypo (kadastro Nr. 4172/0300:577), esančio Vilniaus r. sav., Nemenčinės sen., Beviršės vs. (toliau – Žemės sklypas) naudojimo būdo keitimo. Prašymo tikslas: 11,4000 ploto žemės ūkio paskirties Žemės sklypo žemės naudojimo būdo keitimas į miško ūkio paskirties - ūkinių miškų sklypai. Su prašymu galima susipažinti nuo 2025-10-16 iki 2025-10-30 Lietuvos Respublikos teritorijų planavimo dokumentų rengimo ir teritorijų planavimo proceso valstybės priežiūros informacinėje svetainėje (TPDRIS.lt) ir Vilniaus rajono savivaldybės interneto svetainėje (vrsa.lt). Pasiūlymus dėl pagrindinės žemės naudojimo paskirties ir žemės naudojimo būdo keitimo galima teikti iki 2025-10-30 Vilniaus rajono savivaldybės administracijai (Rinktinės g. 50, Vilnius) raštu ir Lietuvos Respublikos teritorijų planavimo dokumentų rengimo ir teritorijų planavimo proceso valstybinės priežiūros informacinėje sistemoje.

Ištrauka iš Kraštovaizdžio spec. plano

Prašymas

2025-10-16

Informuojame apie pateiktą nagrinėti prašymą dėl žemės sklypo (kadastro Nr.4190/0100:125), esančio Vilniaus r. sav., Kalvelių sen., Didžiosios Kuosinės k. (toliau – Žemės sklypas) naudojimo būdo keitimo. Prašymo tikslas: 0,1800 ploto žemės ūkio paskirties Žemės sklypo žemės naudojimo būdo keitimas į kitos – vienbučių ir dvibučių gyvenamųjų pastatų teritorijos. Su prašymu galima susipažinti nuo 2025-10-16 iki 2025-10-30 Lietuvos Respublikos teritorijų planavimo dokumentų rengimo ir teritorijų planavimo proceso valstybės priežiūros informacinėje svetainėje (TPDRIS.lt) ir Vilniaus rajono savivaldybės interneto svetainėje (vrsa.lt). Pasiūlymus dėl pagrindinės žemės naudojimo paskirties ir žemės naudojimo būdo keitimo galima teikti iki 2025-10-30 Vilniaus rajono savivaldybės administracijai (Rinktinės g. 50, Vilnius) raštu ir Lietuvos Respublikos teritorijų planavimo dokumentų rengimo ir teritorijų planavimo proceso valstybinės priežiūros informacinėje sistemoje.

Ištrauka iš Kraštovaizdžio spec. plano

Prašymas

2025-10-16

Informuojame apie pateiktą nagrinėti prašymą dėl žemės sklypo (kadastro Nr.4170/0900:160), esančio Vilniaus r. sav., Riešės sen., Čekiškių k. (toliau – Žemės sklypas) naudojimo būdo keitimo. Prašymo tikslas: 0,6100 ploto žemės ūkio paskirties Žemės sklypo žemės naudojimo būdo keitimas į kitos – vienbučių ir dvibučių gyvenamųjų pastatų teritorijos. Su prašymu galima susipažinti nuo 2025-10-16 iki 2025-10-30 Lietuvos Respublikos teritorijų planavimo dokumentų rengimo ir teritorijų planavimo proceso valstybės priežiūros informacinėje svetainėje (TPDRIS.lt) ir Vilniaus rajono savivaldybės interneto svetainėje (vrsa.lt). Pasiūlymus dėl pagrindinės žemės naudojimo paskirties ir žemės naudojimo būdo keitimo galima teikti iki 2025-10-30 Vilniaus rajono savivaldybės administracijai (Rinktinės g. 50, Vilnius) raštu ir Lietuvos Respublikos teritorijų planavimo dokumentų rengimo ir teritorijų planavimo proceso valstybinės priežiūros informacinėje sistemoje.

Ištrauka iš Kraštovaizdžio spec. plano

Prašymas

2025-10-16

Informuojame apie pateiktą nagrinėti prašymą dėl žemės sklypo (kadastro Nr. 4172/0500:598), esančio Vilniaus r. sav., Nemenčinės sen., Rudausių k. (toliau – Žemės sklypas) naudojimo būdo keitimo. Prašymo tikslas: 1,0000 ploto žemės ūkio paskirties Žemės sklypo žemės naudojimo būdo keitimas į kitos – vienbučių ir dvibučių gyvenamųjų pastatų teritorijos. Su prašymu galima susipažinti nuo 2025-10-16 iki 2025-10-30 Lietuvos Respublikos teritorijų planavimo dokumentų rengimo ir teritorijų planavimo proceso valstybės priežiūros informacinėje svetainėje (TPDRIS.lt) ir Vilniaus rajono savivaldybės interneto svetainėje (vrsa.lt). Pasiūlymus dėl pagrindinės žemės naudojimo paskirties ir žemės naudojimo būdo keitimo galima teikti iki 2025-10-30 Vilniaus rajono savivaldybės administracijai (Rinktinės g. 50, Vilnius) raštu ir Lietuvos Respublikos teritorijų planavimo dokumentų rengimo ir teritorijų planavimo proceso valstybinės priežiūros informacinėje sistemoje.

Ištrauka iš Kraštovaizdžio spec. plano

Prašymas

2025-10-16

Priimtas sprendimas kitos paskirties žemės sklypo (kadastro Nr. 4147/0100:1201), esančio Vilniaus r. sav., Maišiagalos mstl., Šv. Antano g. 3B, pagrindinės žemės naudojimo paskirties ir žemės naudojimo būdo keitimo.

Sprendimas

2025-10-09

Informuojame apie pateiktą nagrinėti prašymą dėl žemės sklypo (kadastro Nr. 4127/0200:262), esančio Vilniaus r. sav., Nemenčinės sen., Purnuškių k. (toliau – Žemės sklypas) naudojimo būdo keitimo. Prašymo tikslas: 7,4100 ploto žemės ūkio paskirties Žemės sklypo žemės naudojimo būdo keitimas į kitos – vienbučių ir dvibučių gyvenamųjų pastatų teritorijos. Su prašymu galima susipažinti nuo 2025-10-09 iki 2025-10-23 Lietuvos Respublikos teritorijų planavimo dokumentų rengimo ir teritorijų planavimo proceso valstybės priežiūros informacinėje svetainėje (TPDRIS.lt) ir Vilniaus rajono savivaldybės interneto svetainėje (vrsa.lt). Pasiūlymus dėl pagrindinės žemės naudojimo paskirties ir žemės naudojimo būdo keitimo galima teikti iki 2025-10-23 Vilniaus rajono savivaldybės administracijai (Rinktinės g. 50, Vilnius) raštu ir Lietuvos Respublikos teritorijų planavimo dokumentų rengimo ir teritorijų planavimo proceso valstybinės priežiūros informacinėje sistemoje.

Ištrauka iš Kraštovaizdžio spec. plano

Prašymas

2025-10-09

Informuojame apie pateiktą nagrinėti prašymą dėl žemės sklypo (kadastro Nr. 4127/0200:200), esančio Vilniaus r. sav., Nemenčinės sen., Purnuškių k. (toliau – Žemės sklypas) naudojimo būdo keitimo. Prašymo tikslas: 13,0000 ploto žemės ūkio paskirties Žemės sklypo žemės naudojimo būdo keitimas į kitos – vienbučių ir dvibučių gyvenamųjų pastatų teritorijos. Su prašymu galima susipažinti nuo 2025-10-09 iki 2025-10-23 Lietuvos Respublikos teritorijų planavimo dokumentų rengimo ir teritorijų planavimo proceso valstybės priežiūros informacinėje svetainėje (TPDRIS.lt) ir Vilniaus rajono savivaldybės interneto svetainėje (vrsa.lt). Pasiūlymus dėl pagrindinės žemės naudojimo paskirties ir žemės naudojimo būdo keitimo galima teikti iki 2025-10-23 Vilniaus rajono savivaldybės administracijai (Rinktinės g. 50, Vilnius) raštu ir Lietuvos Respublikos teritorijų planavimo dokumentų rengimo ir teritorijų planavimo proceso valstybinės priežiūros informacinėje sistemoje.

Ištrauka iš Kraštovaizdžio spec. plano

Prašymas

2025-10-09

Informuojame apie pateiktą nagrinėti prašymą dėl žemės sklypo (kadastro Nr. 4124/0100:456), esančio Vilniaus r. sav., Dūkštų sen., Buivydų k. (toliau – Žemės sklypas) naudojimo būdo keitimo. Prašymo tikslas: 0,2700 ploto žemės ūkio paskirties Žemės sklypo žemės naudojimo būdo keitimas į kitos – vienbučių ir dvibučių gyvenamųjų pastatų teritorijos. Su prašymu galima susipažinti nuo 2025-10-09 iki 2025-10-23 Lietuvos Respublikos teritorijų planavimo dokumentų rengimo ir teritorijų planavimo proceso valstybės priežiūros informacinėje svetainėje (TPDRIS.lt) ir Vilniaus rajono savivaldybės interneto svetainėje (vrsa.lt). Pasiūlymus dėl pagrindinės žemės naudojimo paskirties ir žemės naudojimo būdo keitimo galima teikti iki 2025-10-23 Vilniaus rajono savivaldybės administracijai (Rinktinės g. 50, Vilnius) raštu ir Lietuvos Respublikos teritorijų planavimo dokumentų rengimo ir teritorijų planavimo proceso valstybinės priežiūros informacinėje sistemoje.

Ištrauka iš Kraštovaizdžio spec. plano

Prašymas

2025-10-09

Priimtas sprendimas žemės ūkio paskirties žemės sklypo (kadastro Nr. 4174/0100:877), esančio Vilniaus r. sav., Avižienių sen., Riešės k., pagrindinės žemės naudojimo paskirties ir žemės naudojimo būdo keitimo.

Sprendimas

2025-10-08

Informuojame apie pateiktą nagrinėti prašymą dėl žemės sklypo (kad. Nr.4154/1900:169), esančio Vilniaus r. sav., Marijampolio sen., Marijampolio k., Pušų g. 1A (toliau – Žemės sklypas) papildomo žemės naudojimo būdo nustatymo. Prašymo tikslas: 0,7867 ha ploto kitos paskirties Žemės sklypo žemės naudojimo būdo keitimo į kitos  visuomeninės paskirties teritorijos. Su prašymu galima susipažinti nuo 2025-10-08 iki 2025-10-22 Lietuvos Respublikos teritorijų planavimo dokumentų rengimo ir teritorijų planavimo proceso valstybės priežiūros informacinėje svetainėje (TPDRIS.lt) ir Vilniaus rajono savivaldybės interneto svetainėje (vrsa.lt). Pasiūlymus dėl pagrindinės žemės naudojimo paskirties ir žemės naudojimo būdo keitimo galima teikti iki 2025-10-22 Vilniaus rajono savivaldybės administracijai (Rinktinės g. 50, Vilnius) raštu ir Lietuvos Respublikos teritorijų planavimo dokumentų rengimo ir teritorijų planavimo proceso valstybinės priežiūros informacinėje sistemoje.

Ištrauka iš Kraštovaizdžio spec. plano

Prašymas

2025-10-08

Informuojame apie pateiktą nagrinėti prašymą dėl žemės sklypo (kadastro Nr. 4152/0400:671), esančio Vilniaus r. sav., Mickūnų sen., Dievoniškių k. (toliau – Žemės sklypas) naudojimo būdo keitimo. Prašymo tikslas: 0,2700 ploto žemės ūkio paskirties Žemės sklypo žemės naudojimo būdo keitimas į kitos – vienbučių ir dvibučių gyvenamųjų pastatų teritorijos. Su prašymu galima susipažinti nuo 2025-10-08 iki 2025-10-22 Lietuvos Respublikos teritorijų planavimo dokumentų rengimo ir teritorijų planavimo proceso valstybės priežiūros informacinėje svetainėje (TPDRIS.lt) ir Vilniaus rajono savivaldybės interneto svetainėje (vrsa.lt). Pasiūlymus dėl pagrindinės žemės naudojimo paskirties ir žemės naudojimo būdo keitimo galima teikti iki 2025-10-22 Vilniaus rajono savivaldybės administracijai (Rinktinės g. 50, Vilnius) raštu ir Lietuvos Respublikos teritorijų planavimo dokumentų rengimo ir teritorijų planavimo proceso valstybinės priežiūros informacinėje sistemoje.

Ištrauka iš Kraštovaizdžio spec. plano

Prašymas

2025-10-08

Priimtas sprendimas žemės ūkio paskirties žemės sklypo (kadastro Nr. 4180/0900:219), esančio Vilniaus r. sav., Rukainių sen., Senasalio k., pagrindinės žemės naudojimo paskirties ir žemės naudojimo būdo keitimo.

Sprendimas

2025-10-02

Priimtas sprendimas žemės ūkio paskirties žemės sklypo (kadastro Nr. 4177/0200:1116), esančio Vilniaus r. sav., Rudaminos sen., Rudaminos k., pagrindinės žemės naudojimo paskirties ir žemės naudojimo būdo keitimo.

Sprendimas

2025-10-02

Informuojame apie pateiktą nagrinėti prašymą dėl žemės sklypo (kadastro Nr. 4152/0500:104), esančio Vilniaus r. sav., Mickūnų sen., Kairėnų k. (toliau – Žemės sklypas) naudojimo būdo keitimo. Prašymo tikslas: 0,4700 ploto žemės ūkio paskirties Žemės sklypo žemės naudojimo būdo keitimas į kitos – vienbučių ir dvibučių gyvenamųjų pastatų teritorijos. Su prašymu galima susipažinti nuo 2025-10-03 iki 2025-10-17 Lietuvos Respublikos teritorijų planavimo dokumentų rengimo ir teritorijų planavimo proceso valstybės priežiūros informacinėje svetainėje (TPDRIS.lt) ir Vilniaus rajono savivaldybės interneto svetainėje (vrsa.lt). Pasiūlymus dėl pagrindinės žemės naudojimo paskirties ir žemės naudojimo būdo keitimo galima teikti iki 2025-10-17 Vilniaus rajono savivaldybės administracijai (Rinktinės g. 50, Vilnius) raštu ir Lietuvos Respublikos teritorijų planavimo dokumentų rengimo ir teritorijų planavimo proceso valstybinės priežiūros informacinėje sistemoje.

Ištrauka iš Kraštovaizdžio spec. plano

Prašymas

2025-10-03

Informuojame apie pateiktą nagrinėti prašymą dėl žemės sklypo (kadastro Nr. 4152/0500:96), esančio Vilniaus r. sav., Mickūnų sen., Kairėnų k. (toliau – Žemės sklypas) naudojimo būdo keitimo. Prašymo tikslas: 1,7045 ploto žemės ūkio paskirties Žemės sklypo žemės naudojimo būdo keitimas į kitos – vienbučių ir dvibučių gyvenamųjų pastatų teritorijos. Su prašymu galima susipažinti nuo 2025-10-03 iki 2025-10-17 Lietuvos Respublikos teritorijų planavimo dokumentų rengimo ir teritorijų planavimo proceso valstybės priežiūros informacinėje svetainėje (TPDRIS.lt) ir Vilniaus rajono savivaldybės interneto svetainėje (vrsa.lt). Pasiūlymus dėl pagrindinės žemės naudojimo paskirties ir žemės naudojimo būdo keitimo galima teikti iki 2025-10-17 Vilniaus rajono savivaldybės administracijai (Rinktinės g. 50, Vilnius) raštu ir Lietuvos Respublikos teritorijų planavimo dokumentų rengimo ir teritorijų planavimo proceso valstybinės priežiūros informacinėje sistemoje.

Ištrauka iš Kraštovaizdžio spec. plano

Prašymas

2025-10-03

Informuojame apie pateiktą nagrinėti prašymą dėl žemės sklypo (kadastro Nr. 4170/0100:643), esančio Vilniaus r. sav., Riešės sen., Pikeliškių k. (toliau – Žemės sklypas) naudojimo būdo keitimo. Prašymo tikslas: 0,3513 ploto žemės ūkio paskirties Žemės sklypo žemės naudojimo būdo keitimas į kitos – vienbučių ir dvibučių gyvenamųjų pastatų teritorijos. Su prašymu galima susipažinti nuo 2025-10-01 iki 2025-10-15 Lietuvos Respublikos teritorijų planavimo dokumentų rengimo ir teritorijų planavimo proceso valstybės priežiūros informacinėje svetainėje (TPDRIS.lt) ir Vilniaus rajono savivaldybės interneto svetainėje (vrsa.lt). Pasiūlymus dėl pagrindinės žemės naudojimo paskirties ir žemės naudojimo būdo keitimo galima teikti iki 2025-10-15 Vilniaus rajono savivaldybės administracijai (Rinktinės g. 50, Vilnius) raštu ir Lietuvos Respublikos teritorijų planavimo dokumentų rengimo ir teritorijų planavimo proceso valstybinės priežiūros informacinėje sistemoje.

Ištrauka iš Kraštovaizdžio spec. plano

Prašymas

2025-10-01

Informuojame apie pateiktą nagrinėti prašymą dėl žemės sklypo (kad. Nr. 4147/0400:226), esančio Vilniaus r. sav., Maišiagalos sen., Maišiagalos mstl., (toliau – Žemės sklypas) naudojimo būdo keitimo. Prašymo tikslas: 0,1502 ploto kitos paskirties Žemės sklypo žemės naudojimo būdo keitimas į vienbučių ir dvibučių gyvenamųjų pastatų teritorijos. Su prašymu galima susipažinti nuo 2025-10-01 iki 2025-10-15 Lietuvos Respublikos teritorijų planavimo dokumentų rengimo ir teritorijų planavimo proceso valstybės priežiūros informacinėje svetainėje (TPDRIS.lt) ir Vilniaus rajono savivaldybės interneto svetainėje (vrsa.lt). Pasiūlymus dėl pagrindinės žemės naudojimo paskirties ir žemės naudojimo būdo keitimo galima teikti iki 2025-10-15 Vilniaus rajono savivaldybės administracijai (Rinktinės g. 50, Vilnius) raštu ir Lietuvos Respublikos teritorijų planavimo dokumentų rengimo ir teritorijų planavimo proceso valstybinės priežiūros informacinėje sistemoje.

Ištrauka iš Kraštovaizdžio spec. plano

Prašymas

2025-10-01

Informuojame apie pateiktą nagrinėti prašymą dėl žemės sklypo (kad. Nr. 4134/0100:470), esančio Vilniaus r. sav., Paberžės sen., Glitiškių k., Liepų al. 38 (toliau – Žemės sklypas) naudojimo būdo keitimo. Prašymo tikslas: 0,5025 ploto kitos paskirties Žemės sklypo žemės naudojimo būdo keitimas į vienbučių ir dvibučių gyvenamųjų pastatų teritorijos. Su prašymu galima susipažinti nuo 2025-10-01 iki 2025-10-15 Lietuvos Respublikos teritorijų planavimo dokumentų rengimo ir teritorijų planavimo proceso valstybės priežiūros informacinėje svetainėje (TPDRIS.lt) ir Vilniaus rajono savivaldybės interneto svetainėje (vrsa.lt). Pasiūlymus dėl pagrindinės žemės naudojimo paskirties ir žemės naudojimo būdo keitimo galima teikti iki 2025-10-15 Vilniaus rajono savivaldybės administracijai (Rinktinės g. 50, Vilnius) raštu ir Lietuvos Respublikos teritorijų planavimo dokumentų rengimo ir teritorijų planavimo proceso valstybinės priežiūros informacinėje sistemoje.

Ištrauka iš Kraštovaizdžio spec. plano

Prašymas

2025-10-01

Informuojame apie pateiktą nagrinėti prašymą dėl žemės sklypo (kadastro Nr. 4117/0100:1022), esančio Vilniaus r. sav., Riešės sen., Užugriovio k. (toliau – Žemės sklypas) naudojimo būdo keitimo. Prašymo tikslas: 0,3601 ploto žemės ūkio paskirties Žemės sklypo žemės naudojimo būdo keitimas į kitos – vienbučių ir dvibučių gyvenamųjų pastatų teritorijos. Su prašymu galima susipažinti nuo 2025-10-01 iki 2025-10-15 Lietuvos Respublikos teritorijų planavimo dokumentų rengimo ir teritorijų planavimo proceso valstybės priežiūros informacinėje svetainėje (TPDRIS.lt) ir Vilniaus rajono savivaldybės interneto svetainėje (vrsa.lt). Pasiūlymus dėl pagrindinės žemės naudojimo paskirties ir žemės naudojimo būdo keitimo galima teikti iki 2025-10-15 Vilniaus rajono savivaldybės administracijai (Rinktinės g. 50, Vilnius) raštu ir Lietuvos Respublikos teritorijų planavimo dokumentų rengimo ir teritorijų planavimo proceso valstybinės priežiūros informacinėje sistemoje.

Ištrauka iš Kraštovaizdžio spec. plano

Prašymas

2025-10-01

Informuojame apie pateiktą nagrinėti prašymą dėl žemės sklypo (kad. Nr.4103/0300:2001), esančio Vilniaus r. sav., Avižienių sen., Bukiškio k., Mokyklos g. 1 (toliau – Žemės sklypas) papildomo žemės naudojimo būdo nustatymo. Prašymo tikslas: 6,8988 ha ploto kitos paskirties Žemės sklypo žemės naudojimo būdo nustatymo kitos – daugiabučių gyvenamųjų pastatų ir bendrabučių teritorijos ir visuomeninės paskirties teritorijos. Su prašymu galima susipažinti nuo 2025-09-30 iki 2025-10-14 Lietuvos Respublikos teritorijų planavimo dokumentų rengimo ir teritorijų planavimo proceso valstybės priežiūros informacinėje svetainėje (TPDRIS.lt) ir Vilniaus rajono savivaldybės interneto svetainėje (vrsa.lt). Pasiūlymus dėl pagrindinės žemės naudojimo paskirties ir žemės naudojimo būdo keitimo galima teikti iki 2025-10-14 Vilniaus rajono savivaldybės administracijai (Rinktinės g. 50, Vilnius) raštu ir Lietuvos Respublikos teritorijų planavimo dokumentų rengimo ir teritorijų planavimo proceso valstybinės priežiūros informacinėje sistemoje.

Ištrauka iš Vilniaus rajono savivaldybės teritorijos dalies („U“ žemės naudojimo funkcinės zonos Avižienių, Juodšilių, Nemėžio, Pagirių, Riešės, Rudaminos ir Zujūnų seniūnijose) bendrojo plano

Prašymas

2025-09-30

Informuojame apie pateiktą nagrinėti prašymą dėl žemės sklypo (kadastro Nr. 4152/1700:828), esančio Vilniaus r. sav., Mickūnų sen., Mickūnų mstl. (toliau – Žemės sklypas) naudojimo būdo keitimo. Prašymo tikslas: 0,0700 ploto žemės ūkio paskirties Žemės sklypo žemės naudojimo būdo keitimas į kitos – vienbučių ir dvibučių gyvenamųjų pastatų teritorijos. Su prašymu galima susipažinti nuo 2025-09-30 iki 2025-10-14 Lietuvos Respublikos teritorijų planavimo dokumentų rengimo ir teritorijų planavimo proceso valstybės priežiūros informacinėje svetainėje (TPDRIS.lt) ir Vilniaus rajono savivaldybės interneto svetainėje (vrsa.lt). Pasiūlymus dėl pagrindinės žemės naudojimo paskirties ir žemės naudojimo būdo keitimo galima teikti iki 2025-10-14 Vilniaus rajono savivaldybės administracijai (Rinktinės g. 50, Vilnius) raštu ir Lietuvos Respublikos teritorijų planavimo dokumentų rengimo ir teritorijų planavimo proceso valstybinės priežiūros informacinėje sistemoje.

Ištrauka iš Kraštovaizdžio spec. plano

Prašymas

2025-09-30

Informuojame apie pateiktą nagrinėti prašymą dėl žemės sklypo (kadastro Nr. 4134/0100:449), esančio Vilniaus r. sav., Paberžės sen., Glitiškių k. (toliau – Žemės sklypas) naudojimo būdo keitimo. Prašymo tikslas: 0,0791 ploto žemės ūkio paskirties Žemės sklypo žemės naudojimo būdo keitimas į kitos – vienbučių ir dvibučių gyvenamųjų pastatų teritorijos. Su prašymu galima susipažinti nuo 2025-09-30 iki 2025-10-14 Lietuvos Respublikos teritorijų planavimo dokumentų rengimo ir teritorijų planavimo proceso valstybės priežiūros informacinėje svetainėje (TPDRIS.lt) ir Vilniaus rajono savivaldybės interneto svetainėje (vrsa.lt). Pasiūlymus dėl pagrindinės žemės naudojimo paskirties ir žemės naudojimo būdo keitimo galima teikti iki 2025-10-14 Vilniaus rajono savivaldybės administracijai (Rinktinės g. 50, Vilnius) raštu ir Lietuvos Respublikos teritorijų planavimo dokumentų rengimo ir teritorijų planavimo proceso valstybinės priežiūros informacinėje sistemoje.

Ištrauka iš Kraštovaizdžio spec. plano

Prašymas

2025-09-30

Informuojame apie pateiktą nagrinėti prašymą dėl žemės sklypo (kadastro Nr. 4187/0100:157), esančio Vilniaus r. sav., Sužionių sen., Sužionių k., Vilniaus g. 14 (toliau – Žemės sklypas) naudojimo būdo keitimo. Prašymo tikslas: 0,1498 ploto žemės ūkio paskirties Žemės sklypo žemės naudojimo būdo keitimas į kitos – vienbučių ir dvibučių gyvenamųjų pastatų teritorijos. Su prašymu galima susipažinti nuo 2025-09-26 iki 2025-10-10 Lietuvos Respublikos teritorijų planavimo dokumentų rengimo ir teritorijų planavimo proceso valstybės priežiūros informacinėje svetainėje (TPDRIS.lt) ir Vilniaus rajono savivaldybės interneto svetainėje (vrsa.lt). Pasiūlymus dėl pagrindinės žemės naudojimo paskirties ir žemės naudojimo būdo keitimo galima teikti iki 2025-10-10 Vilniaus rajono savivaldybės administracijai (Rinktinės g. 50, Vilnius) raštu ir Lietuvos Respublikos teritorijų planavimo dokumentų rengimo ir teritorijų planavimo proceso valstybinės priežiūros informacinėje sistemoje.

Ištrauka iš Kraštovaizdžio spec. plano

Prašymas

2025-09-26

Informuojame apie pateiktą nagrinėti prašymą dėl žemės sklypo (kadastro Nr. 4152/1700:703), esančio Vilniaus r. sav., Mickūnų sen., Mickūnų mstl. (toliau – Žemės sklypas) naudojimo būdo keitimo. Prašymo tikslas: 0,2000 ploto žemės ūkio paskirties Žemės sklypo žemės naudojimo būdo keitimas į kitos – vienbučių ir dvibučių gyvenamųjų pastatų teritorijos. Su prašymu galima susipažinti nuo 2025-09-26 iki 2025-10-10 Lietuvos Respublikos teritorijų planavimo dokumentų rengimo ir teritorijų planavimo proceso valstybės priežiūros informacinėje svetainėje (TPDRIS.lt) ir Vilniaus rajono savivaldybės interneto svetainėje (vrsa.lt). Pasiūlymus dėl pagrindinės žemės naudojimo paskirties ir žemės naudojimo būdo keitimo galima teikti iki 2025-10-10 Vilniaus rajono savivaldybės administracijai (Rinktinės g. 50, Vilnius) raštu ir Lietuvos Respublikos teritorijų planavimo dokumentų rengimo ir teritorijų planavimo proceso valstybinės priežiūros informacinėje sistemoje.

Ištrauka iš Kraštovaizdžio spec. plano

Prašymas

2025-09-26

Informuojame apie pateiktą nagrinėti prašymą dėl žemės sklypo (kadastro Nr. 4117/0300:1085), esančio Vilniaus r. sav., Riešės sen., Raudondvario k. (toliau – Žemės sklypas) naudojimo būdo keitimo. Prašymo tikslas: 0,1200 ploto žemės ūkio paskirties Žemės sklypo žemės naudojimo būdo keitimas į kitos – vienbučių ir dvibučių gyvenamųjų pastatų teritorijos. Su prašymu galima susipažinti nuo 2025-09-26 iki 2025-10-10 Lietuvos Respublikos teritorijų planavimo dokumentų rengimo ir teritorijų planavimo proceso valstybės priežiūros informacinėje svetainėje (TPDRIS.lt) ir Vilniaus rajono savivaldybės interneto svetainėje (vrsa.lt). Pasiūlymus dėl pagrindinės žemės naudojimo paskirties ir žemės naudojimo būdo keitimo galima teikti iki 2025-10-10 Vilniaus rajono savivaldybės administracijai (Rinktinės g. 50, Vilnius) raštu ir Lietuvos Respublikos teritorijų planavimo dokumentų rengimo ir teritorijų planavimo proceso valstybinės priežiūros informacinėje sistemoje.

Ištrauka iš Kraštovaizdžio spec. plano

Prašymas

2025-09-26

Informuojame apie pateiktą nagrinėti prašymą dėl žemės sklypo (kadastro Nr. 4117/0300:1028), esančio Vilniaus r. sav., Riešės sen., Raudondvario k. (toliau – Žemės sklypas) naudojimo būdo keitimo. Prašymo tikslas: 0,1422 ploto žemės ūkio paskirties Žemės sklypo žemės naudojimo būdo keitimas į kitos – vienbučių ir dvibučių gyvenamųjų pastatų teritorijos. Su prašymu galima susipažinti nuo 2025-09-25 iki 2025-10-09 Lietuvos Respublikos teritorijų planavimo dokumentų rengimo ir teritorijų planavimo proceso valstybės priežiūros informacinėje svetainėje (TPDRIS.lt) ir Vilniaus rajono savivaldybės interneto svetainėje (vrsa.lt). Pasiūlymus dėl pagrindinės žemės naudojimo paskirties ir žemės naudojimo būdo keitimo galima teikti iki 2025-10-09 Vilniaus rajono savivaldybės administracijai (Rinktinės g. 50, Vilnius) raštu ir Lietuvos Respublikos teritorijų planavimo dokumentų rengimo ir teritorijų planavimo proceso valstybinės priežiūros informacinėje sistemoje.

Ištrauka iš Kraštovaizdžio spec. plano

Prašymas

2025-09-25

Informuojame apie pateiktą nagrinėti prašymą dėl žemės sklypo (kadastro Nr. 4117/0300:741), esančio Vilniaus r. sav., Riešės sen., Raudondvario k. (toliau – Žemės sklypas) naudojimo būdo keitimo. Prašymo tikslas: 0,1353 ploto žemės ūkio paskirties Žemės sklypo žemės naudojimo būdo keitimas į kitos – vienbučių ir dvibučių gyvenamųjų pastatų teritorijos. Su prašymu galima susipažinti nuo 2025-09-25 iki 2025-10-09 Lietuvos Respublikos teritorijų planavimo dokumentų rengimo ir teritorijų planavimo proceso valstybės priežiūros informacinėje svetainėje (TPDRIS.lt) ir Vilniaus rajono savivaldybės interneto svetainėje (vrsa.lt). Pasiūlymus dėl pagrindinės žemės naudojimo paskirties ir žemės naudojimo būdo keitimo galima teikti iki 2025-10-09 Vilniaus rajono savivaldybės administracijai (Rinktinės g. 50, Vilnius) raštu ir Lietuvos Respublikos teritorijų planavimo dokumentų rengimo ir teritorijų planavimo proceso valstybinės priežiūros informacinėje sistemoje.

Ištrauka iš Kraštovaizdžio spec. plano

Prašymas

2025-09-25

Informuojame apie pateiktą nagrinėti prašymą dėl žemės sklypo (kadastro Nr. 4124/0200:175), esančio Vilniaus r. sav., Dūkštų sen., Dūkštų k. (toliau – Žemės sklypas) naudojimo būdo keitimo. Prašymo tikslas: 0,4300 ploto žemės ūkio paskirties Žemės sklypo žemės naudojimo būdo keitimas į kitos – vienbučių ir dvibučių gyvenamųjų pastatų teritorijos. Su prašymu galima susipažinti nuo 2025-09-25 iki 2025-10-09 Lietuvos Respublikos teritorijų planavimo dokumentų rengimo ir teritorijų planavimo proceso valstybės priežiūros informacinėje svetainėje (TPDRIS.lt) ir Vilniaus rajono savivaldybės interneto svetainėje (vrsa.lt). Pasiūlymus dėl pagrindinės žemės naudojimo paskirties ir žemės naudojimo būdo keitimo galima teikti iki 2025-10-09 Vilniaus rajono savivaldybės administracijai (Rinktinės g. 50, Vilnius) raštu ir Lietuvos Respublikos teritorijų planavimo dokumentų rengimo ir teritorijų planavimo proceso valstybinės priežiūros informacinėje sistemoje.

Ištrauka iš Kraštovaizdžio spec. plano

Prašymas

2025-09-25

Informuojame apie pateiktą nagrinėti prašymą dėl žemės sklypo (kadastro Nr. 4164/0600:501), esančio Vilniaus r. sav., Paberžės sen., Ereliškių k. (toliau – Žemės sklypas) naudojimo būdo keitimo. Prašymo tikslas: 0,6000 ploto žemės ūkio paskirties Žemės sklypo žemės naudojimo būdo keitimas į kitos – rekreacinės teritorijos. Su prašymu galima susipažinti nuo 2025-09-24 iki 2025-10-08 Lietuvos Respublikos teritorijų planavimo dokumentų rengimo ir teritorijų planavimo proceso valstybės priežiūros informacinėje svetainėje (TPDRIS.lt) ir Vilniaus rajono savivaldybės interneto svetainėje (vrsa.lt). Pasiūlymus dėl pagrindinės žemės naudojimo paskirties ir žemės naudojimo būdo keitimo galima teikti iki 2025-09-25 Vilniaus rajono savivaldybės administracijai (Rinktinės g. 50, Vilnius) raštu ir Lietuvos Respublikos teritorijų planavimo dokumentų rengimo ir teritorijų planavimo proceso valstybinės priežiūros informacinėje sistemoje.

Ištrauka iš Kraštovaizdžio spec. plano

Prašymas

2025-09-24

Informuojame apie pateiktą nagrinėti prašymą dėl žemės sklypo (kadastro Nr. 4147/0100:1201), esančio Vilniaus r. sav., Maišiagala, Šv. Antano g. 3B (toliau – Žemės sklypas) naudojimo būdo keitimo. Prašymo tikslas: 0,1011 ploto žemės ūkio paskirties Žemės sklypo žemės naudojimo būdo keitimas į kitos – vienbučių ir dvibučių gyvenamųjų pastatų teritorijos. Su prašymu galima susipažinti nuo 2025-09-24 iki 2025-10-08 Lietuvos Respublikos teritorijų planavimo dokumentų rengimo ir teritorijų planavimo proceso valstybės priežiūros informacinėje svetainėje (TPDRIS.lt) ir Vilniaus rajono savivaldybės interneto svetainėje (vrsa.lt). Pasiūlymus dėl pagrindinės žemės naudojimo paskirties ir žemės naudojimo būdo keitimo galima teikti iki 2025-09-25 Vilniaus rajono savivaldybės administracijai (Rinktinės g. 50, Vilnius) raštu ir Lietuvos Respublikos teritorijų planavimo dokumentų rengimo ir teritorijų planavimo proceso valstybinės priežiūros informacinėje sistemoje.

Ištrauka iš Kraštovaizdžio spec. plano

Prašymas

2025-09-24

Informuojame apie pateiktą nagrinėti prašymą dėl žemės sklypo (kadastro Nr. 4180/0100:377), esančio Vilniaus r. sav., Rukainių sen., Pajuodžių k. (toliau – Žemės sklypas) naudojimo būdo keitimo. Prašymo tikslas: 0,1731 ploto žemės ūkio paskirties Žemės sklypo žemės naudojimo būdo keitimas į kitos – vienbučių ir dvibučių gyvenamųjų pastatų teritorijos. Su prašymu galima susipažinti nuo 2025-09-24 iki 2025-10-08 Lietuvos Respublikos teritorijų planavimo dokumentų rengimo ir teritorijų planavimo proceso valstybės priežiūros informacinėje svetainėje (TPDRIS.lt) ir Vilniaus rajono savivaldybės interneto svetainėje (vrsa.lt). Pasiūlymus dėl pagrindinės žemės naudojimo paskirties ir žemės naudojimo būdo keitimo galima teikti iki 2025-09-25 Vilniaus rajono savivaldybės administracijai (Rinktinės g. 50, Vilnius) raštu ir Lietuvos Respublikos teritorijų planavimo dokumentų rengimo ir teritorijų planavimo proceso valstybinės priežiūros informacinėje sistemoje.

Ištrauka iš Kraštovaizdžio spec. plano

Prašymas

2025-09-24

Informuojame apie pateiktą nagrinėti prašymą dėl žemės sklypo (kadastro Nr. 4180/0100:378), esančio Vilniaus r. sav., Rukainių sen., Pajuodžių k. (toliau – Žemės sklypas) naudojimo būdo keitimo. Prašymo tikslas: 1,4016 ploto žemės ūkio paskirties Žemės sklypo žemės naudojimo būdo keitimas į kitos – vienbučių ir dvibučių gyvenamųjų pastatų teritorijos. Su prašymu galima susipažinti nuo 2025-09-24 iki 2025-10-08 Lietuvos Respublikos teritorijų planavimo dokumentų rengimo ir teritorijų planavimo proceso valstybės priežiūros informacinėje svetainėje (TPDRIS.lt) ir Vilniaus rajono savivaldybės interneto svetainėje (vrsa.lt). Pasiūlymus dėl pagrindinės žemės naudojimo paskirties ir žemės naudojimo būdo keitimo galima teikti iki 2025-09-25 Vilniaus rajono savivaldybės administracijai (Rinktinės g. 50, Vilnius) raštu ir Lietuvos Respublikos teritorijų planavimo dokumentų rengimo ir teritorijų planavimo proceso valstybinės priežiūros informacinėje sistemoje.

Ištrauka iš Kraštovaizdžio spec. plano

Prašymas

2025-09-24

Informuojame apie pateiktą nagrinėti prašymą dėl žemės sklypo (kadastro Nr. 4182/0600:342), esančio Vilniaus r. sav., Rukainių sen., Gudžių k., Gudžių g. 18, (toliau – Žemės sklypas) naudojimo būdo keitimo. Prašymo tikslas: 0,6700 ploto žemės ūkio paskirties Žemės sklypo žemės naudojimo būdo keitimas į kitos – vienbučių ir dvibučių gyvenamųjų pastatų teritorijos. Su prašymu galima susipažinti nuo 2025-09-23 iki 2025-10-07 Lietuvos Respublikos teritorijų planavimo dokumentų rengimo ir teritorijų planavimo proceso valstybės priežiūros informacinėje svetainėje (TPDRIS.lt) ir Vilniaus rajono savivaldybės interneto svetainėje (vrsa.lt). Pasiūlymus dėl pagrindinės žemės naudojimo paskirties ir žemės naudojimo būdo keitimo galima teikti iki 2025-10-07 Vilniaus rajono savivaldybės administracijai (Rinktinės g. 50, Vilnius) raštu ir Lietuvos Respublikos teritorijų planavimo dokumentų rengimo ir teritorijų planavimo proceso valstybinės priežiūros informacinėje sistemoje.

Ištrauka iš Kraštovaizdžio spec. plano

Prašymas

2025-09-23

Informuojame apie pateiktą nagrinėti prašymą dėl žemės sklypo (kadastro Nr. 4117/0100:758), esančio Vilniaus r. sav., Avižienių sen., Markiškių k. (toliau – Žemės sklypas) naudojimo būdo keitimo. Prašymo tikslas: 0,1700 ploto žemės ūkio paskirties Žemės sklypo žemės naudojimo būdo keitimas į kitos – vienbučių ir dvibučių gyvenamųjų pastatų teritorijos. Su prašymu galima susipažinti nuo 2025-09-23 iki 2025-10-07 Lietuvos Respublikos teritorijų planavimo dokumentų rengimo ir teritorijų planavimo proceso valstybės priežiūros informacinėje svetainėje (TPDRIS.lt) ir Vilniaus rajono savivaldybės interneto svetainėje (vrsa.lt). Pasiūlymus dėl pagrindinės žemės naudojimo paskirties ir žemės naudojimo būdo keitimo galima teikti iki 2025-10-07 Vilniaus rajono savivaldybės administracijai (Rinktinės g. 50, Vilnius) raštu ir Lietuvos Respublikos teritorijų planavimo dokumentų rengimo ir teritorijų planavimo proceso valstybinės priežiūros informacinėje sistemoje.

Ištrauka iš Kraštovaizdžio spec. plano

Prašymas

2025-09-23

Informuojame apie pateiktą nagrinėti prašymą dėl žemės sklypo (kadastro Nr. 4110/0100:881), esančio Vilniaus r. sav., Zujūnų sen., Leičių k. (toliau – Žemės sklypas) naudojimo būdo keitimo. Prašymo tikslas: 0,1410 ploto žemės ūkio paskirties Žemės sklypo žemės naudojimo būdo keitimas į kitos – vienbučių ir dvibučių gyvenamųjų pastatų teritorijos. Su prašymu galima susipažinti nuo 2025-09-23 iki 2025-10-07 Lietuvos Respublikos teritorijų planavimo dokumentų rengimo ir teritorijų planavimo proceso valstybės priežiūros informacinėje svetainėje (TPDRIS.lt) ir Vilniaus rajono savivaldybės interneto svetainėje (vrsa.lt). Pasiūlymus dėl pagrindinės žemės naudojimo paskirties ir žemės naudojimo būdo keitimo galima teikti iki 2025-10-07 Vilniaus rajono savivaldybės administracijai (Rinktinės g. 50, Vilnius) raštu ir Lietuvos Respublikos teritorijų planavimo dokumentų rengimo ir teritorijų planavimo proceso valstybinės priežiūros informacinėje sistemoje.

Ištrauka iš Kraštovaizdžio spec. plano

Prašymas

2025-09-23

Informuojame apie pateiktą nagrinėti prašymą dėl žemės sklypo (kadastro Nr. 4177/0100:551), esančio Vilniaus r. sav., Rudaminos sen., Totorinės k. (toliau – Žemės sklypas) naudojimo būdo keitimo. Prašymo tikslas: 0,1058 ploto žemės ūkio paskirties Žemės sklypo žemės naudojimo būdo keitimas į kitos – vienbučių ir dvibučių gyvenamųjų pastatų teritorijos. Su prašymu galima susipažinti nuo 2025-09-18 iki 2025-10-02 Lietuvos Respublikos teritorijų planavimo dokumentų rengimo ir teritorijų planavimo proceso valstybės priežiūros informacinėje svetainėje (TPDRIS.lt) ir Vilniaus rajono savivaldybės interneto svetainėje (vrsa.lt). Pasiūlymus dėl pagrindinės žemės naudojimo paskirties ir žemės naudojimo būdo keitimo galima teikti iki 2025-10-02 Vilniaus rajono savivaldybės administracijai (Rinktinės g. 50, Vilnius) raštu ir Lietuvos Respublikos teritorijų planavimo dokumentų rengimo ir teritorijų planavimo proceso valstybinės priežiūros informacinėje sistemoje.

Vilniaus rajono savivaldybės teritorijos dalies („U“ žemės naudojimo funkcinės zonos Avižienių, Juodšilių, Nemėžio, Pagirių, Riešės, Rudaminos ir Zujūnų seniūnijose) bendrojo plano ištrauka

Prašymas

2025-09-18

Informuojame apie pateiktą nagrinėti prašymą dėl žemės sklypo (kadastro Nr. 4132/0600:711), esančio Vilniaus r. sav., Maišiagalos sen., Gudelių Plytinės vs. (toliau – Žemės sklypas) naudojimo būdo keitimo. Prašymo tikslas: 0,4200 ploto žemės ūkio paskirties Žemės sklypo žemės naudojimo būdo keitimas į kitos – vienbučių ir dvibučių gyvenamųjų pastatų teritorijos. Su prašymu galima susipažinti nuo 2025-09-18 iki 2025-10-02 Lietuvos Respublikos teritorijų planavimo dokumentų rengimo ir teritorijų planavimo proceso valstybės priežiūros informacinėje svetainėje (TPDRIS.lt) ir Vilniaus rajono savivaldybės interneto svetainėje (vrsa.lt). Pasiūlymus dėl pagrindinės žemės naudojimo paskirties ir žemės naudojimo būdo keitimo galima teikti iki 2025-09-25 Vilniaus rajono savivaldybės administracijai (Rinktinės g. 50, Vilnius) raštu ir Lietuvos Respublikos teritorijų planavimo dokumentų rengimo ir teritorijų planavimo proceso valstybinės priežiūros informacinėje sistemoje.

Ištrauka iš Kraštovaizdžio spec. plano

Prašymas

2025-09-18

Informuojame apie pateiktą nagrinėti prašymą dėl žemės sklypo (kadastro Nr. 4180/0900:219), esančio Vilniaus r. sav., Rukainių sen., Senasalio k., (toliau – Žemės sklypas) naudojimo būdo keitimo. Prašymo tikslas: 0,1880 ploto žemės ūkio paskirties Žemės sklypo žemės naudojimo būdo keitimas į kitos – vienbučių ir dvibučių gyvenamųjų pastatų teritorijos. Su prašymu galima susipažinti nuo 2025-09-17 iki 2025-10-01 Lietuvos Respublikos teritorijų planavimo dokumentų rengimo ir teritorijų planavimo proceso valstybės priežiūros informacinėje svetainėje (TPDRIS.lt) ir Vilniaus rajono savivaldybės interneto svetainėje (vrsa.lt). Pasiūlymus dėl pagrindinės žemės naudojimo paskirties ir žemės naudojimo būdo keitimo galima teikti iki 2025-10-01 Vilniaus rajono savivaldybės administracijai (Rinktinės g. 50, Vilnius) raštu ir Lietuvos Respublikos teritorijų planavimo dokumentų rengimo ir teritorijų planavimo proceso valstybinės priežiūros informacinėje sistemoje.

Ištrauka iš Kraštovaizdžio spec. plano

Prašymas

2025-09-17

Informuojame apie pateiktą nagrinėti prašymą dėl žemės sklypo (kad. Nr. 4177/0200:1116), esančio Vilniaus r. sav., Rudaminos sen., Rudaminos k. (toliau – Žemės sklypas) pagrindinės žemės naudojimo paskirties ir  naudojimo būdo keitimo. Prašymo tikslas: 0,5282 ploto žemės ūkio paskirties Žemės sklypo pagrindinės žemės naudojimo paskirties ir žemės naudojimo būdo keitimas į kitos – komercinės paskirties objektų teritorijos ir dalis susisiekimo ir inžinerinių tinklų koridorių teritorijos. Su prašymu galima susipažinti nuo 2025-09-17 iki 2025-10-01 Lietuvos Respublikos teritorijų planavimo dokumentų rengimo ir teritorijų planavimo proceso valstybės priežiūros informacinėje svetainėje (TPDRIS.lt) ir Vilniaus rajono savivaldybės interneto svetainėje (vrsa.lt). Pasiūlymus dėl pagrindinės žemės naudojimo paskirties ir žemės naudojimo būdo keitimo galima teikti iki 2025-10-01 Vilniaus rajono savivaldybės administracijai (Rinktinės g. 50, Vilnius) raštu ir Lietuvos Respublikos teritorijų planavimo dokumentų rengimo ir teritorijų planavimo proceso valstybinės priežiūros informacinėje sistemoje.

Vilniaus rajono savivaldybės teritorijos dalies („U“ žemės naudojimo funkcinės zonos Avižienių, Juodšilių, Nemėžio, Pagirių, Riešės, Rudaminos ir Zujūnų seniūnijose) bendrojo plano ištrauka

Prašymas

2025-09-17

Informuojame apie pateiktą nagrinėti prašymą dėl žemės sklypo (kad. Nr.4124/0607:5814), esančio Vilniaus r. sav., Dūkštų sen., Brinkiškių k., Brinkiškių g. 78, (toliau – Žemės sklypas) pagrindinės žemės naudojimo paskirties ir žemės naudojimo būdo keitimą. Prašymo tikslas 0,1000 ha ploto žemės ūkio paskirties Žemės sklypo pagrindinės žemės naudojimo paskirties ir žemės naudojimo būdo keitimas į kitos – vienbučių ir dvibučių gyvenamųjų pastatų teritorijos. Su prašymu galima susipažinti nuo 2025-09-16 iki 2025-09-30 Lietuvos Respublikos teritorijų planavimo dokumentų rengimo ir teritorijų planavimo proceso valstybės priežiūros informacinėje svetainėje (TPDRIS.lt) ir Vilniaus rajono savivaldybės interneto svetainėje (vrsa.lt). Pasiūlymus dėl pagrindinės žemės naudojimo paskirties ir žemės naudojimo būdo keitimo galima teikti iki 2025-09-30 Vilniaus rajono savivaldybės administracijai (Rinktinės g. 50, Vilnius) raštu ir Lietuvos Respublikos teritorijų planavimo dokumentų rengimo ir teritorijų planavimo proceso valstybinės priežiūros informacinėje sistemoje.

Vilniaus rajono savivaldybės teritorijos dalies („ZRg“ žemės naudojimo funkcinės zonos Sudervės seniūnijoje) bendrojo plano ištrauka)

Prašymas

2025-09-16

Informuojame apie pateiktą nagrinėti prašymą dėl žemės sklypo (kad. Nr.4174/0100:877), esančio Vilniaus r. sav., Avižienių sen., Riešės k. (toliau – Žemės sklypas) pagrindinės žemės naudojimo paskirties ir žemės naudojimo būdo keitimą. Prašymo tikslas: 0,3030 ha ploto žemės ūkio paskirties Žemės sklypo pagrindinės žemės naudojimo paskirties ir žemės naudojimo būdo keitimas į kitos – komercinės paskirties objektų teritorijos. Su prašymu galima susipažinti nuo 2025-09-16 iki 2025-09-30 Lietuvos Respublikos teritorijų planavimo dokumentų rengimo ir teritorijų planavimo proceso valstybės priežiūros informacinėje svetainėje (TPDRIS.lt) ir Vilniaus rajono savivaldybės interneto svetainėje (vrsa.lt). Pasiūlymus dėl pagrindinės žemės naudojimo paskirties ir žemės naudojimo būdo keitimo galima teikti iki 2025-09-30 Vilniaus rajono savivaldybės administracijai (Rinktinės g. 50, Vilnius) raštu ir Lietuvos Respublikos teritorijų planavimo dokumentų rengimo ir teritorijų planavimo proceso valstybinės priežiūros informacinėje sistemoje.

Ištrauka iš Vilniaus rajono savivaldybės teritorijos dalies („U“ žemės naudojimo funkcinės zonos Avižienių, Juodšilių, Nemėžio, Pagirių, Riešės, Rudaminos ir Zujūnų seniūnijose) bendrojo plano

Prašymas

2025-09-16

Informuojame apie pateiktą nagrinėti prašymą dėl žemės sklypo (kadastro Nr. 4167/0200:1829), esančio Vilniaus r. sav., Pagirių sen., Pagirių k. (toliau – Žemės sklypas) naudojimo būdo keitimo. Prašymo tikslas: 0,8686 ploto žemės ūkio paskirties Žemės sklypo žemės naudojimo būdo keitimas į kitos paskirties - pramones ir sandėliavimo objektų teritorijos. Su prašymu galima susipažinti nuo 2025-09-12 iki 2025-09-26 Lietuvos Respublikos teritorijų planavimo dokumentų rengimo ir teritorijų planavimo proceso valstybės priežiūros informacinėje svetainėje (TPDRIS.lt) ir Vilniaus rajono savivaldybės interneto svetainėje (vrsa.lt). Pasiūlymus dėl pagrindinės žemės naudojimo paskirties ir žemės naudojimo būdo keitimo galima teikti iki 2025-09-26 Vilniaus rajono savivaldybės administracijai (Rinktinės g. 50, Vilnius) raštu ir Lietuvos Respublikos teritorijų planavimo dokumentų rengimo ir teritorijų planavimo proceso valstybinės priežiūros informacinėje sistemoje.

Ištrauka iš Kraštovaizdžio spec. plano

Prašymas

2025-09-12

Informuojame apie pateiktą nagrinėti prašymą dėl žemės sklypo (kad. Nr. 4130/0300:635), esančio Vilniaus r. sav., Dūkštų sen., Geisiškių k. (toliau – Žemės sklypas) pagrindinės žemės naudojimo paskirties ir žemės naudojimo būdo keitimą. Prašymo tikslas: 0,1830 ha ploto žemės ūkio paskirties Žemės sklypo pagrindinės žemės naudojimo paskirties ir žemės naudojimo būdo keitimas į kitos – vienbučių ir dvibučių gyvenamųjų pastatų teritorijos. Su prašymu galima susipažinti nuo 2025-09-11 iki 2025-09-25 Lietuvos Respublikos teritorijų planavimo dokumentų rengimo ir teritorijų planavimo proceso valstybės priežiūros informacinėje svetainėje (TPDRIS.lt) ir Vilniaus rajono savivaldybės interneto svetainėje (vrsa.lt). Pasiūlymus dėl pagrindinės žemės naudojimo paskirties ir žemės naudojimo būdo keitimo galima teikti iki 2025-09-25 Vilniaus rajono savivaldybės administracijai (Rinktinės g. 50, Vilnius) raštu ir Lietuvos Respublikos teritorijų planavimo dokumentų rengimo ir teritorijų planavimo proceso valstybinės priežiūros informacinėje sistemoje.

Ištrauka iš Kraštovaizdžio spec. plano

Prašymas

2025-09-11

Informuojame apie pateiktą nagrinėti prašymą dėl žemės sklypo (kadastro Nr. 4152/0500:191), esančio Vilniaus r. sav., Mickūnų sen., Kairėnų k. (toliau – Žemės sklypas) naudojimo būdo keitimo. Prašymo tikslas: 0,1600 ploto žemės ūkio paskirties Žemės sklypo žemės naudojimo būdo keitimas į kitos – vienbučių ir dvibučių gyvenamųjų pastatų teritorijos. Su prašymu galima susipažinti nuo 2025-09-11 iki 2025-09-25 Lietuvos Respublikos teritorijų planavimo dokumentų rengimo ir teritorijų planavimo proceso valstybės priežiūros informacinėje svetainėje (TPDRIS.lt) ir Vilniaus rajono savivaldybės interneto svetainėje (vrsa.lt). Pasiūlymus dėl pagrindinės žemės naudojimo paskirties ir žemės naudojimo būdo keitimo galima teikti iki 2025-09-25 Vilniaus rajono savivaldybės administracijai (Rinktinės g. 50, Vilnius) raštu ir Lietuvos Respublikos teritorijų planavimo dokumentų rengimo ir teritorijų planavimo proceso valstybinės priežiūros informacinėje sistemoje.

Ištrauka iš Kraštovaizdžio spec. plano

Prašymas

Informuojame apie pateiktą nagrinėti prašymą dėl žemės sklypo (kadastro Nr. 4180/0400:90), esančio Vilniaus r. sav., Rukainių sen., Bareikiškių k. (toliau – Žemės sklypas) naudojimo būdo keitimo. Prašymo tikslas: 2,0200 ploto žemės ūkio paskirties Žemės sklypo žemės naudojimo būdo keitimas į kitos – pramonės ir sandėliavimo objektų teritorijos. Su prašymu galima susipažinti nuo 2025-09-11 iki 2025-09-25 Lietuvos Respublikos teritorijų planavimo dokumentų rengimo ir teritorijų planavimo proceso valstybės priežiūros informacinėje svetainėje (TPDRIS.lt) ir Vilniaus rajono savivaldybės interneto svetainėje (vrsa.lt). Pasiūlymus dėl pagrindinės žemės naudojimo paskirties ir žemės naudojimo būdo keitimo galima teikti iki 2025-09-25 Vilniaus rajono savivaldybės administracijai (Rinktinės g. 50, Vilnius) raštu ir Lietuvos Respublikos teritorijų planavimo dokumentų rengimo ir teritorijų planavimo proceso valstybinės priežiūros informacinėje sistemoje.

Ištrauka iš Kraštovaizdžio spec. plano

Prašymas

2025-09-11

Informuojame apie pateiktą nagrinėti prašymą dėl žemės sklypo (kadastro Nr. 4132/0100:193), esančio Vilniaus r. sav., Maišiagalos sen., Karvio k. (toliau – Žemės sklypas) naudojimo būdo keitimo. Prašymo tikslas: 0,1351 ploto žemės ūkio paskirties Žemės sklypo žemės naudojimo būdo keitimas į kitos – vienbučių ir dvibučių gyvenamųjų pastatų teritorijos. Su prašymu galima susipažinti nuo 2025-09-11 iki 2025-09-25 Lietuvos Respublikos teritorijų planavimo dokumentų rengimo ir teritorijų planavimo proceso valstybės priežiūros informacinėje svetainėje (TPDRIS.lt) ir Vilniaus rajono savivaldybės interneto svetainėje (vrsa.lt). Pasiūlymus dėl pagrindinės žemės naudojimo paskirties ir žemės naudojimo būdo keitimo galima teikti iki 2025-09-25 Vilniaus rajono savivaldybės administracijai (Rinktinės g. 50, Vilnius) raštu ir Lietuvos Respublikos teritorijų planavimo dokumentų rengimo ir teritorijų planavimo proceso valstybinės priežiūros informacinėje sistemoje.

Ištrauka iš Kraštovaizdžio spec. plano

Prašymas

2025-09-11

Informuojame apie pateiktą nagrinėti prašymą dėl žemės sklypo (kadastro Nr. 4117/0100:758 ), esančio Vilniaus r. sav., Riešės sen., Užugriovio k. (toliau – Žemės sklypas) naudojimo būdo keitimo. Prašymo tikslas: 0,1880 ploto žemės ūkio paskirties Žemės sklypo žemės naudojimo būdo keitimas į kitos – vienbučių ir dvibučių gyvenamųjų pastatų teritorijos. Su prašymu galima susipažinti nuo 2025-09-11 iki 2025-09-25 Lietuvos Respublikos teritorijų planavimo dokumentų rengimo ir teritorijų planavimo proceso valstybės priežiūros informacinėje svetainėje (TPDRIS.lt) ir Vilniaus rajono savivaldybės interneto svetainėje (vrsa.lt). Pasiūlymus dėl pagrindinės žemės naudojimo paskirties ir žemės naudojimo būdo keitimo galima teikti iki 2025-09-25 Vilniaus rajono savivaldybės administracijai (Rinktinės g. 50, Vilnius) raštu ir Lietuvos Respublikos teritorijų planavimo dokumentų rengimo ir teritorijų planavimo proceso valstybinės priežiūros informacinėje sistemoje.

Ištrauka iš Kraštovaizdžio spec. plano

Prašymas

2025-09-11

Informuojame apie pateiktą nagrinėti prašymą dėl žemės sklypo (kadastro Nr. 4110/0600:442), esančio Vilniaus r. sav., Zujūnų sen., Dvarykščių k. (toliau – Žemės sklypas) naudojimo būdo keitimo. Prašymo tikslas: 2,2141 ploto žemės ūkio paskirties Žemės sklypo žemės naudojimo būdo keitimas į kitos – vienbučių ir dvibučių gyvenamųjų pastatų teritorijos. Su prašymu galima susipažinti nuo 2025-09-05 iki 2025-09-19 Lietuvos Respublikos teritorijų planavimo dokumentų rengimo ir teritorijų planavimo proceso valstybės priežiūros informacinėje svetainėje (TPDRIS.lt) ir Vilniaus rajono savivaldybės interneto svetainėje (vrsa.lt). Pasiūlymus dėl pagrindinės žemės naudojimo paskirties ir žemės naudojimo būdo keitimo galima teikti iki 2025-09-19 Vilniaus rajono savivaldybės administracijai (Rinktinės g. 50, Vilnius) raštu ir Lietuvos Respublikos teritorijų planavimo dokumentų rengimo ir teritorijų planavimo proceso valstybinės priežiūros informacinėje sistemoje.

Ištrauka iš Kraštovaizdžio spec. plano

Prašymas

2025-09-05

Informuojame apie pateiktą nagrinėti prašymą dėl žemės sklypo (kadastro Nr. 4154/2900:1102), esančio Vilniaus r. sav., Marijampolio sen., Terešiškių k. (toliau – Žemės sklypas) naudojimo būdo keitimo. Prašymo tikslas: 0,2518 ploto žemės ūkio paskirties Žemės sklypo žemės naudojimo būdo keitimas į kitos – vienbučių ir dvibučių gyvenamųjų pastatų teritorijos. Su prašymu galima susipažinti nuo 2025-09-04 iki 2025-09-18 Lietuvos Respublikos teritorijų planavimo dokumentų rengimo ir teritorijų planavimo proceso valstybės priežiūros informacinėje svetainėje (TPDRIS.lt) ir Vilniaus rajono savivaldybės interneto svetainėje (vrsa.lt). Pasiūlymus dėl pagrindinės žemės naudojimo paskirties ir žemės naudojimo būdo keitimo galima teikti iki 2025-09-18 Vilniaus rajono savivaldybės administracijai (Rinktinės g. 50, Vilnius) raštu ir Lietuvos Respublikos teritorijų planavimo dokumentų rengimo ir teritorijų planavimo proceso valstybinės priežiūros informacinėje sistemoje.

Ištrauka iš Kraštovaizdžio spec. plano

Prašymas

2025-09-04

Informuojame apie pateiktą nagrinėti prašymą dėl žemės sklypo (kadastro Nr. 4154/2900:1101), esančio Vilniaus r. sav., Marijampolio sen., Terešiškių k. (toliau – Žemės sklypas) naudojimo būdo keitimo. Prašymo tikslas: 0,2288 ploto žemės ūkio paskirties Žemės sklypo žemės naudojimo būdo keitimas į kitos – vienbučių ir dvibučių gyvenamųjų pastatų teritorijos. Su prašymu galima susipažinti nuo 2025-09-04 iki 2025-09-18 Lietuvos Respublikos teritorijų planavimo dokumentų rengimo ir teritorijų planavimo proceso valstybės priežiūros informacinėje svetainėje (TPDRIS.lt) ir Vilniaus rajono savivaldybės interneto svetainėje (vrsa.lt). Pasiūlymus dėl pagrindinės žemės naudojimo paskirties ir žemės naudojimo būdo keitimo galima teikti iki 2025-09-18 Vilniaus rajono savivaldybės administracijai (Rinktinės g. 50, Vilnius) raštu ir Lietuvos Respublikos teritorijų planavimo dokumentų rengimo ir teritorijų planavimo proceso valstybinės priežiūros informacinėje sistemoje.

Ištrauka iš Kraštovaizdžio spec. plano

Prašymas

2025-09-04

Informuojame apie pateiktą nagrinėti prašymą dėl žemės sklypo (kadastro Nr. 4140/0400:541), esančio Vilniaus r. sav., Kalvelių sen., Kalvelių k. (toliau – Žemės sklypas) naudojimo būdo keitimo. Prašymo tikslas: 0,2230 ploto žemės ūkio paskirties Žemės sklypo žemės naudojimo būdo keitimas į kitos – vienbučių ir dvibučių gyvenamųjų pastatų teritorijos. Su prašymu galima susipažinti nuo 2025-09-04 iki 2025-09-18 Lietuvos Respublikos teritorijų planavimo dokumentų rengimo ir teritorijų planavimo proceso valstybės priežiūros informacinėje svetainėje (TPDRIS.lt) ir Vilniaus rajono savivaldybės interneto svetainėje (vrsa.lt). Pasiūlymus dėl pagrindinės žemės naudojimo paskirties ir žemės naudojimo būdo keitimo galima teikti iki 2025-09-18 Vilniaus rajono savivaldybės administracijai (Rinktinės g. 50, Vilnius) raštu ir Lietuvos Respublikos teritorijų planavimo dokumentų rengimo ir teritorijų planavimo proceso valstybinės priežiūros informacinėje sistemoje.

Ištrauka iš Kraštovaizdžio spec. plano

Prašymas

2025-09-04

Informuojame apie pateiktą nagrinėti prašymą dėl žemės sklypo (kad. Nr. 4167/0100:1146), esančio Vilniaus r. sav., Pagirių sen., Baltosios Vokės k. (toliau – Žemės sklypas) pagrindinės žemės naudojimo paskirties ir  naudojimo būdo keitimo. Prašymo tikslas: 0,1495 ploto žemės ūkio paskirties Žemės sklypo pagrindinės žemės naudojimo paskirties ir žemės naudojimo būdo keitimas į kitos – komercinės paskirties objektų teritorijos ir dalis susisiekimo ir inžinerinių tinklų koridorių teritorijos. Su prašymu galima susipažinti nuo 2025-09-04 iki 2025-09-18 Lietuvos Respublikos teritorijų planavimo dokumentų rengimo ir teritorijų planavimo proceso valstybės priežiūros informacinėje svetainėje (TPDRIS.lt) ir Vilniaus rajono savivaldybės interneto svetainėje (vrsa.lt). Pasiūlymus dėl pagrindinės žemės naudojimo paskirties ir žemės naudojimo būdo keitimo galima teikti iki 2025-09-18 Vilniaus rajono savivaldybės administracijai (Rinktinės g. 50, Vilnius) raštu ir Lietuvos Respublikos teritorijų planavimo dokumentų rengimo ir teritorijų planavimo proceso valstybinės priežiūros informacinėje sistemoje.

Vilniaus rajono savivaldybės teritorijos dalies („U“ žemės naudojimo funkcinės zonos Avižienių, Juodšilių, Nemėžio, Pagirių, Riešės, Rudaminos ir Zujūnų seniūnijose) bendrojo plano ištrauka

Prašymas

2025-09-04

Priimtas sprendimas dėl žemės ūkio paskirties žemės sklypo (kadastro Nr. 4172/0603:8503), esančio Vilniaus r. sav., Nemenčinės sen., Zatišiaus vs., pagrindinės žemės naudojimo paskirties ir žemės naudojimo būdo keitimo.

Sprendimas

2025-09-03

Informuojame apie pateiktą nagrinėti prašymą dėl žemės sklypo (kadastro Nr. 152/1700:828), esančio Vilniaus r. sav., Mickūnų sen., Mickūnų mstl. (toliau – Žemės sklypas) naudojimo būdo keitimo. Prašymo tikslas: 0,0700 ploto žemės ūkio paskirties Žemės sklypo žemės naudojimo būdo keitimas į kitos paskirties - pramones ir sandėliavimo objektų teritorijos. Su prašymu galima susipažinti nuo 2025-09-03 iki 2025-09-17 Lietuvos Respublikos teritorijų planavimo dokumentų rengimo ir teritorijų planavimo proceso valstybės priežiūros informacinėje svetainėje (TPDRIS.lt) ir Vilniaus rajono savivaldybės interneto svetainėje (vrsa.lt). Pasiūlymus dėl pagrindinės žemės naudojimo paskirties ir žemės naudojimo būdo keitimo galima teikti iki 2025-09-17 Vilniaus rajono savivaldybės administracijai (Rinktinės g. 50, Vilnius) raštu ir Lietuvos Respublikos teritorijų planavimo dokumentų rengimo ir teritorijų planavimo proceso valstybinės priežiūros informacinėje sistemoje.

Ištrauka iš Kraštovaizdžio spec. plano

Prašymas

2025-09-03

Informuojame apie pateiktą nagrinėti prašymą dėl žemės sklypo (kadastro Nr. 4190/0400:40), esančio Vilniaus r. sav., Kalvelių sen., o mstl. (toliau – Žemės sklypas) naudojimo būdo keitimo. Prašymo tikslas: 2,1800 ploto žemės ūkio paskirties Žemės sklypo žemės naudojimo būdo keitimas į kitos paskirties - pramones ir sandėliavimo objektų teritorijos. Su prašymu galima susipažinti nuo 2025-09-03 iki 2025-09-17 Lietuvos Respublikos teritorijų planavimo dokumentų rengimo ir teritorijų planavimo proceso valstybės priežiūros informacinėje svetainėje (TPDRIS.lt) ir Vilniaus rajono savivaldybės interneto svetainėje (vrsa.lt). Pasiūlymus dėl pagrindinės žemės naudojimo paskirties ir žemės naudojimo būdo keitimo galima teikti iki 2025-09-17 Vilniaus rajono savivaldybės administracijai (Rinktinės g. 50, Vilnius) raštu ir Lietuvos Respublikos teritorijų planavimo dokumentų rengimo ir teritorijų planavimo proceso valstybinės priežiūros informacinėje sistemoje.

Ištrauka iš Šumsko bendrojo plano

Prašymas

2025-09-03

Informuojame apie pateiktą nagrinėti prašymą dėl žemės sklypo (kadastro Nr. 4187/0400:231 ), esančio Vilniaus r. sav., Sužionių sen., Pakirnių k. (toliau – Žemės sklypas) naudojimo būdo keitimo. Prašymo tikslas: 7,8897 ploto žemės ūkio paskirties Žemės sklypo žemės naudojimo būdo keitimas į  kitos paskirties - rekracinės teritorijos. Su prašymu galima susipažinti nuo 2025-09-03 iki 2025-09-17 Lietuvos Respublikos teritorijų planavimo dokumentų rengimo ir teritorijų planavimo proceso valstybės priežiūros informacinėje svetainėje (TPDRIS.lt) ir Vilniaus rajono savivaldybės interneto svetainėje (vrsa.lt). Pasiūlymus dėl pagrindinės žemės naudojimo paskirties ir žemės naudojimo būdo keitimo galima teikti iki 2025-09-17 Vilniaus rajono savivaldybės administracijai (Rinktinės g. 50, Vilnius) raštu ir Lietuvos Respublikos teritorijų planavimo dokumentų rengimo ir teritorijų planavimo proceso valstybinės priežiūros informacinėje sistemoje.

Ištrauka iš Kraštovaizdžio spec. plano

Prašymas

2025-09-03

Informuojame apie pateiktą nagrinėti prašymą dėl žemės sklypo (kadastro Nr. 4114/0100:435 ), esančio Vilniaus r. sav., Sužionių sen., Bieliškių k. (toliau – Žemės sklypas) naudojimo būdo keitimo. Prašymo tikslas: 0,2900 ploto žemės ūkio paskirties Žemės sklypo žemės naudojimo būdo keitimas į  kitos paskirties - rekracinės teritorijos. Su prašymu galima susipažinti nuo 2025-09-03 iki 2025-09-17 Lietuvos Respublikos teritorijų planavimo dokumentų rengimo ir teritorijų planavimo proceso valstybės priežiūros informacinėje svetainėje (TPDRIS.lt) ir Vilniaus rajono savivaldybės interneto svetainėje (vrsa.lt). Pasiūlymus dėl pagrindinės žemės naudojimo paskirties ir žemės naudojimo būdo keitimo galima teikti iki 2025-09-17 Vilniaus rajono savivaldybės administracijai (Rinktinės g. 50, Vilnius) raštu ir Lietuvos Respublikos teritorijų planavimo dokumentų rengimo ir teritorijų planavimo proceso valstybinės priežiūros informacinėje sistemoje.

Ištrauka iš Kraštovaizdžio spec. plano

Prašymas

2025-09-03

Priimtas sprendimas dėl žemės ūkio paskirties žemės sklypo (kadastro Nr.4184/0400:460), esančio Vilniaus r. sav., Avižienių sen., Švedų k., pagrindinės žemės naudojimo paskirties ir žemės naudojimo būdo keitimo.

Sprendimas

2025-08-29

Informuojame apie pateiktą nagrinėti prašymą dėl žemės sklypo (kadastro Nr. 164/0500:118), esančio Vilniaus r. sav., Paberžės sen., Lygialaukio k. (toliau – Žemės sklypas) naudojimo būdo keitimo. Prašymo tikslas: 0,0615 ploto žemės ūkio paskirties Žemės sklypo žemės naudojimo būdo keitimas į  kitos paskirties - rekracinės teritorijos. Su prašymu galima susipažinti nuo 2025-08-26 iki 2025-09-09 Lietuvos Respublikos teritorijų planavimo dokumentų rengimo ir teritorijų planavimo proceso valstybės priežiūros informacinėje svetainėje (TPDRIS.lt) ir Vilniaus rajono savivaldybės interneto svetainėje (vrsa.lt). Pasiūlymus dėl pagrindinės žemės naudojimo paskirties ir žemės naudojimo būdo keitimo galima teikti iki 2025-09-09 Vilniaus rajono savivaldybės administracijai (Rinktinės g. 50, Vilnius) raštu ir Lietuvos Respublikos teritorijų planavimo dokumentų rengimo ir teritorijų planavimo proceso valstybinės priežiūros informacinėje sistemoje.

Ištrauka iš Kraštovaizdžio spec. plano

Prašymas

2025-08-26

Informuojame apie pateiktą nagrinėti prašymą dėl žemės sklypo (kadastro Nr. 4137/0100:136), esančio Vilniaus r. sav., Juodšilių sen., Prūdiškių k., Pievų g. 10 (toliau – Žemės sklypas) naudojimo būdo keitimo. Prašymo tikslas 5.7430  ploto kitos paskirties Žemės sklypo žemės naudojimo būdo keitimas į žemės ūkio paskirties - kiti žemės ūkio paskirties žemės sklypai. Su prašymu galima susipažinti nuo 2025-08-26 iki 2025-09-09 Lietuvos Respublikos teritorijų planavimo dokumentų rengimo ir teritorijų planavimo proceso valstybės priežiūros informacinėje svetainėje (TPDRIS.lt) ir Vilniaus rajono savivaldybės interneto svetainėje (vrsa.lt). Pasiūlymus dėl pagrindinės žemės naudojimo paskirties ir žemės naudojimo būdo keitimo galima teikti iki 2025-09-09 Vilniaus rajono savivaldybės administracijai (Rinktinės g. 50, Vilnius) raštu ir Lietuvos Respublikos teritorijų planavimo dokumentų rengimo ir teritorijų planavimo proceso valstybinės priežiūros informacinėje sistemoje.

Ištrauka iš Kraštovaizdžio spec. plano

Prašymas

2025-08-26

Informuojame apie pateiktą nagrinėti prašymą dėl žemės sklypo (kadastro Nr. 4110/0100:888), esančio Vilniaus r. sav., Zujūnų sen., Leičių k. (toliau – Žemės sklypas) naudojimo būdo keitimo. Prašymo tikslas: 0,6613 ploto žemės ūkio paskirties Žemės sklypo žemės naudojimo būdo keitimas į  kitos paskirties - komercinės paskirties objektų teritorijos. Su prašymu galima susipažinti nuo 2025-08-22 iki 2025-09-04 Lietuvos Respublikos teritorijų planavimo dokumentų rengimo ir teritorijų planavimo proceso valstybės priežiūros informacinėje svetainėje (TPDRIS.lt) ir Vilniaus rajono savivaldybės interneto svetainėje (vrsa.lt). Pasiūlymus dėl pagrindinės žemės naudojimo paskirties ir žemės naudojimo būdo keitimo galima teikti iki 2025-09-04 Vilniaus rajono savivaldybės administracijai (Rinktinės g. 50, Vilnius) raštu ir Lietuvos Respublikos teritorijų planavimo dokumentų rengimo ir teritorijų planavimo proceso valstybinės priežiūros informacinėje sistemoje.

Ištrauka iš Kraštovaizdžio spec. plano

Prašymas

2025-08-22

 

Informuojame apie pateiktą nagrinėti prašymą dėl žemės sklypo (kadastro Nr. 4152/2200:20), esančio Vilniaus r. sav., Mickūnų sen., Skaisterių k., (toliau – Žemės sklypas) pagrindinės žemės naudojimo paskirties ir žemės naudojimo būdo keitimą. Prašymo tikslas 0,4483 ha ploto žemės ūkio paskirties Žemės sklypo pagrindinės žemės naudojimo paskirties ir žemės naudojimo būdo keitimas į kitos – vienbučių ir dvibučių gyvenamųjų pastatų teritorijos. Su prašymu galima susipažinti nuo 2025-08-21 iki 2025-09-03 Lietuvos Respublikos teritorijų planavimo dokumentų rengimo ir teritorijų planavimo proceso valstybės priežiūros informacinėje svetainėje (TPDRIS.lt) ir Vilniaus rajono savivaldybės interneto svetainėje (vrsa.lt). Pasiūlymus dėl pagrindinės žemės naudojimo paskirties ir žemės naudojimo būdo keitimo galima teikti iki 2025-09-03 Vilniaus rajono savivaldybės administracijai (Rinktinės g. 50, Vilnius) raštu ir Lietuvos Respublikos teritorijų planavimo dokumentų rengimo ir teritorijų planavimo proceso valstybinės priežiūros informacinėje sistemoje.

Ištrauka iš Kraštovaizdžio spec. plano

Prašymas

2025-08-21

 

 

Informuojame apie pateiktą nagrinėti prašymą dėl žemės sklypo (kadastro Nr. 4122/0200:330), esančio Vilniaus r. sav., Pagirių sen., Didžiųjų Lygainių k., (toliau – Žemės sklypas) pagrindinės žemės naudojimo paskirties ir žemės naudojimo būdo keitimą. Prašymo tikslas 2,0551 ha ploto žemės ūkio paskirties Žemės sklypo pagrindinės žemės naudojimo paskirties ir žemės naudojimo būdo keitimas į kitos – vienbučių ir dvibučių gyvenamųjų pastatų teritorijos. Su prašymu galima susipažinti nuo 2025-08-21 iki 2025-09-03 Lietuvos Respublikos teritorijų planavimo dokumentų rengimo ir teritorijų planavimo proceso valstybės priežiūros informacinėje svetainėje (TPDRIS.lt) ir Vilniaus rajono savivaldybės interneto svetainėje (vrsa.lt). Pasiūlymus dėl pagrindinės žemės naudojimo paskirties ir žemės naudojimo būdo keitimo galima teikti iki 2025-09-03 Vilniaus rajono savivaldybės administracijai (Rinktinės g. 50, Vilnius) raštu ir Lietuvos Respublikos teritorijų planavimo dokumentų rengimo ir teritorijų planavimo proceso valstybinės priežiūros informacinėje sistemoje.

Ištrauka iš Kraštovaizdžio spec. plano

Prašymas

2025-08-21

Informuojame apie pateiktą nagrinėti prašymą dėl žemės sklypo (kadastro Nr. 4162/0100:3841), esančio Vilniaus r. sav., Nemėžio sen., Nemėžio k., Liepų g. 2A (toliau – Žemės sklypas) naudojimo būdo keitimo. Prašymo tikslas: 0,1768 ploto kitos paskirties Žemės sklypo žemės naudojimo būdo keitimas į  komercinės paskirties objektų teritorijos. Su prašymu galima susipažinti nuo 2025-08-21 iki 2025-09-03 Lietuvos Respublikos teritorijų planavimo dokumentų rengimo ir teritorijų planavimo proceso valstybės priežiūros informacinėje svetainėje (TPDRIS.lt) ir Vilniaus rajono savivaldybės interneto svetainėje (vrsa.lt). Pasiūlymus dėl pagrindinės žemės naudojimo paskirties ir žemės naudojimo būdo keitimo galima teikti iki 2025-09-03 Vilniaus rajono savivaldybės administracijai (Rinktinės g. 50, Vilnius) raštu ir Lietuvos Respublikos teritorijų planavimo dokumentų rengimo ir teritorijų planavimo proceso valstybinės priežiūros informacinėje sistemoje.

Ištrauka iš Vilniaus rajono savivaldybės teritorijos dalies („U“ žemės naudojimo funkcinės zonos Avižienių, Juodšilių, Nemėžio, Pagirių, Riešės, Rudaminos ir Zujūnų seniūnijose) bendrojo plano

Prašymas

2025-08-21

 

Informuojame apie pateiktą nagrinėti prašymą dėl žemės sklypo (kadastro Nr. 4117/0400:152), esančio Vilniaus r. sav., Riešės sen., Didžiųjų Gulbinų k., (toliau – Žemės sklypas) pagrindinės žemės naudojimo paskirties ir žemės naudojimo būdo keitimą. Prašymo tikslas 0,1196 ha ploto žemės ūkio paskirties Žemės sklypo pagrindinės žemės naudojimo paskirties ir žemės naudojimo būdo keitimas į kitos – vienbučių ir dvibučių gyvenamųjų pastatų teritorijos. Su prašymu galima susipažinti nuo 2025-08-21 iki 2025-09-03 Lietuvos Respublikos teritorijų planavimo dokumentų rengimo ir teritorijų planavimo proceso valstybės priežiūros informacinėje svetainėje (TPDRIS.lt) ir Vilniaus rajono savivaldybės interneto svetainėje (vrsa.lt). Pasiūlymus dėl pagrindinės žemės naudojimo paskirties ir žemės naudojimo būdo keitimo galima teikti iki 2025-09-03 Vilniaus rajono savivaldybės administracijai (Rinktinės g. 50, Vilnius) raštu ir Lietuvos Respublikos teritorijų planavimo dokumentų rengimo ir teritorijų planavimo proceso valstybinės priežiūros informacinėje sistemoje.

Ištrauka iš Kraštovaizdžio spec. plano

Prašymas

2025-08-21

Informuojame apie pateiktą nagrinėti prašymą dėl žemės sklypo (kadastro Nr. 4117/0300:163), esančio Vilniaus r. sav., Riešės sen., Paežerių k., (toliau – Žemės sklypas) pagrindinės žemės naudojimo paskirties ir žemės naudojimo būdo keitimą. Prašymo tikslas 0,6343 ha ploto žemės ūkio paskirties Žemės sklypo pagrindinės žemės naudojimo paskirties ir žemės naudojimo būdo keitimas į kitos – vienbučių ir dvibučių gyvenamųjų pastatų teritorijos. Su prašymu galima susipažinti nuo 2025-08-21 iki 2025-09-03 Lietuvos Respublikos teritorijų planavimo dokumentų rengimo ir teritorijų planavimo proceso valstybės priežiūros informacinėje svetainėje (TPDRIS.lt) ir Vilniaus rajono savivaldybės interneto svetainėje (vrsa.lt). Pasiūlymus dėl pagrindinės žemės naudojimo paskirties ir žemės naudojimo būdo keitimo galima teikti iki 2025-09-03 Vilniaus rajono savivaldybės administracijai (Rinktinės g. 50, Vilnius) raštu ir Lietuvos Respublikos teritorijų planavimo dokumentų rengimo ir teritorijų planavimo proceso valstybinės priežiūros informacinėje sistemoje.

Ištrauka iš Kraštovaizdžio spec. plano

Prašymas

2025-08-21

Informuojame apie pateiktą nagrinėti prašymą dėl žemės sklypo (kadastro Nr. 4154/2700:1109), esančio Vilniaus r. sav., Marijampolio sen., Eglinės k., (toliau – Žemės sklypas) pagrindinės žemės naudojimo paskirties ir žemės naudojimo būdo keitimą. Prašymo tikslas 0,5188 ha ploto žemės ūkio paskirties Žemės sklypo pagrindinės žemės naudojimo paskirties ir žemės naudojimo būdo keitimas į kitos – vienbučių ir dvibučių gyvenamųjų pastatų teritorijos. Su prašymu galima susipažinti nuo 2025-08-21 iki 2025-09-03 Lietuvos Respublikos teritorijų planavimo dokumentų rengimo ir teritorijų planavimo proceso valstybės priežiūros informacinėje svetainėje (TPDRIS.lt) ir Vilniaus rajono savivaldybės interneto svetainėje (vrsa.lt). Pasiūlymus dėl pagrindinės žemės naudojimo paskirties ir žemės naudojimo būdo keitimo galima teikti iki 2025-09-03 Vilniaus rajono savivaldybės administracijai (Rinktinės g. 50, Vilnius) raštu ir Lietuvos Respublikos teritorijų planavimo dokumentų rengimo ir teritorijų planavimo proceso valstybinės priežiūros informacinėje sistemoje.

Ištrauka iš Kraštovaizdžio spec. plano

Prašymas

2025-08-21

 

 

Informuojame apie pateiktą nagrinėti prašymą dėl žemės sklypo (kadastro Nr. 4120/0200:567), esančio Vilniaus r. sav., Nemenčinės sen., Didžiųjų Kabiškių k., (toliau – Žemės sklypas) pagrindinės žemės naudojimo paskirties ir žemės naudojimo būdo keitimą. Prašymo tikslas 0,3800 ha ploto žemės ūkio paskirties Žemės sklypo pagrindinės žemės naudojimo paskirties ir žemės naudojimo būdo keitimas į kitos – vienbučių ir dvibučių gyvenamųjų pastatų teritorijos. Su prašymu galima susipažinti nuo 2025-08-20 iki 2025-09-02 Lietuvos Respublikos teritorijų planavimo dokumentų rengimo ir teritorijų planavimo proceso valstybės priežiūros informacinėje svetainėje (TPDRIS.lt) ir Vilniaus rajono savivaldybės interneto svetainėje (vrsa.lt). Pasiūlymus dėl pagrindinės žemės naudojimo paskirties ir žemės naudojimo būdo keitimo galima teikti iki 2025-09-02 Vilniaus rajono savivaldybės administracijai (Rinktinės g. 50, Vilnius) raštu ir Lietuvos Respublikos teritorijų planavimo dokumentų rengimo ir teritorijų planavimo proceso valstybinės priežiūros informacinėje sistemoje.

Ištrauka iš Kraštovaizdžio spec. plano

Prašymas

2025-08-20

Informuojame apie pateiktą nagrinėti prašymą dėl žemės sklypo (kadastro Nr. 4142/0400:692), esančio Vilniaus r. sav., Šatrininkų sen., Šatrininkų k., (toliau – Žemės sklypas) pagrindinės žemės naudojimo paskirties ir žemės naudojimo būdo keitimą. Prašymo tikslas 0,6216 ha ploto žemės ūkio paskirties Žemės sklypo pagrindinės žemės naudojimo paskirties ir žemės naudojimo būdo keitimas į kitos – vienbučių ir dvibučių gyvenamųjų pastatų teritorijos/komercinės paskirties objektų teritorijos. Su prašymu galima susipažinti nuo 2025-08-20 iki 2025-09-02 Lietuvos Respublikos teritorijų planavimo dokumentų rengimo ir teritorijų planavimo proceso valstybės priežiūros informacinėje svetainėje (TPDRIS.lt) ir Vilniaus rajono savivaldybės interneto svetainėje (vrsa.lt). Pasiūlymus dėl pagrindinės žemės naudojimo paskirties ir žemės naudojimo būdo keitimo galima teikti iki 2025-09-02 Vilniaus rajono savivaldybės administracijai (Rinktinės g. 50, Vilnius) raštu ir Lietuvos Respublikos teritorijų planavimo dokumentų rengimo ir teritorijų planavimo proceso valstybinės priežiūros informacinėje sistemoje.

Ištrauka iš Kraštovaizdžio spec. plano

Prašymas

2025-08-20

Informuojame apie pateiktą nagrinėti prašymą dėl žemės sklypo (kad. Nr. 4127/0300:140), esančio Vilniaus r. sav., Nemenčinės sen., Maskoliškių k. (toliau – Žemės sklypas) pagrindinės žemės naudojimo paskirties ir žemės naudojimo būdo keitimą. Prašymo tikslas: 2,6094 ha ploto žemės ūkio paskirties Žemės sklypo pagrindinės žemės naudojimo paskirties ir žemės naudojimo būdo keitimas į miško ūkio paskirties - ūkinių miškų sklypai. Su prašymu galima susipažinti nuo 2025-08-20 iki 2025-09-02 Lietuvos Respublikos teritorijų planavimo dokumentų rengimo ir teritorijų planavimo proceso valstybės priežiūros informacinėje svetainėje (TPDRIS.lt) ir Vilniaus rajono savivaldybės interneto svetainėje (vrsa.lt). Pasiūlymus dėl pagrindinės žemės naudojimo paskirties ir žemės naudojimo būdo keitimo galima teikti iki 2025-09-02 Vilniaus rajono savivaldybės administracijai (Rinktinės g. 50, Vilnius) raštu ir Lietuvos Respublikos teritorijų planavimo dokumentų rengimo ir teritorijų planavimo proceso valstybinės priežiūros informacinėje sistemoje.

Ištrauka iš Kraštovaizdžio spec. plano

Prašymas

2025-08-20

 

apie pateiktą nagrinėti prašymą dėl žemės sklypo (kad. Nr. 4162/0200:1123), esančio Vilniaus r. sav., Nemėžio sen., Daržininkų k., Senojo Kelio g. 36 (toliau – Žemės sklypas) naudojimo būdo keitimo. Prašymo tikslas: 0,5971 ploto kitos paskirties Žemės sklypo žemės naudojimo būdo keitimas į kitos – komercinės paskirties objektų teritorijos/Susisiekimo ir inžinerinių tinklų koridorių teritorijos. Su prašymu galima susipažinti nuo 2025-08-11 iki 2025-08-25 Lietuvos Respublikos teritorijų planavimo dokumentų rengimo ir teritorijų planavimo proceso valstybės priežiūros informacinėje svetainėje (TPDRIS.lt) ir Vilniaus rajono savivaldybės interneto svetainėje (vrsa.lt). Pasiūlymus dėl pagrindinės žemės naudojimo paskirties ir žemės naudojimo būdo keitimo galima teikti iki 2025-08-25 Vilniaus rajono savivaldybės administracijai (Rinktinės g. 50, Vilnius) raštu ir Lietuvos Respublikos teritorijų planavimo dokumentų rengimo ir teritorijų planavimo proceso valstybinės priežiūros informacinėje sistemoje.

Ištrauka iš Vilniaus rajono savivaldybės teritorijos dalies („U“ žemės naudojimo funkcinės zonos Avižienių, Juodšilių, Nemėžio, Pagirių, Riešės, Rudaminos ir Zujūnų seniūnijose) bendrojo plano

Prašymas

2025-08-11

 

Informuojame apie pateiktą nagrinėti prašymą dėl žemės sklypo (kadastro Nr. 4167/0300:1053), esančio Vilniaus r. sav., Pagirių sen., Skurbutėnų k., (toliau – Žemės sklypas) pagrindinės žemės naudojimo paskirties ir žemės naudojimo būdo keitimą. Prašymo tikslas 0,2403 ha ploto žemės ūkio paskirties Žemės sklypo pagrindinės žemės naudojimo paskirties ir žemės naudojimo būdo keitimas į kitos – vienbučių ir dvibučių gyvenamųjų pastatų teritorijos. Su prašymu galima susipažinti nuo 2025-08-11 iki 2025-08-25 Lietuvos Respublikos teritorijų planavimo dokumentų rengimo ir teritorijų planavimo proceso valstybės priežiūros informacinėje svetainėje (TPDRIS.lt) ir Vilniaus rajono savivaldybės interneto svetainėje (vrsa.lt). Pasiūlymus dėl pagrindinės žemės naudojimo paskirties ir žemės naudojimo būdo keitimo galima teikti iki 2025-08-25 Vilniaus rajono savivaldybės administracijai (Rinktinės g. 50, Vilnius) raštu ir Lietuvos Respublikos teritorijų planavimo dokumentų rengimo ir teritorijų planavimo proceso valstybinės priežiūros informacinėje sistemoje.

Ištrauka iš Kraštovaizdžio spec. plano

Prašymas

2025-08-11

Informuojame apie pateiktą nagrinėti prašymą dėl žemės sklypo (kadastro Nr. 4172/0603:8503), esančio Vilniaus r. sav., Nemenčinės sen., Zatišiaus vs., (toliau – Žemės sklypas) pagrindinės žemės naudojimo paskirties ir žemės naudojimo būdo keitimą. Prašymo tikslas 0,2622 ha ploto žemės ūkio paskirties Žemės sklypo pagrindinės žemės naudojimo paskirties ir žemės naudojimo būdo keitimas į kitos – vienbučių ir dvibučių gyvenamųjų pastatų teritorijos. Su prašymu galima susipažinti nuo 2025-08-11 iki 2025-08-25 Lietuvos Respublikos teritorijų planavimo dokumentų rengimo ir teritorijų planavimo proceso valstybės priežiūros informacinėje svetainėje (TPDRIS.lt) ir Vilniaus rajono savivaldybės interneto svetainėje (vrsa.lt). Pasiūlymus dėl pagrindinės žemės naudojimo paskirties ir žemės naudojimo būdo keitimo galima teikti iki 2025-08-25 Vilniaus rajono savivaldybės administracijai (Rinktinės g. 50, Vilnius) raštu ir Lietuvos Respublikos teritorijų planavimo dokumentų rengimo ir teritorijų planavimo proceso valstybinės priežiūros informacinėje sistemoje.

Ištrauka iš Kraštovaizdžio spec. plano

Prašymas

2025-08-11

 

Informuojame apie pateiktą nagrinėti prašymą dėl žemės sklypo (kadastro Nr. 4110/0100:897), esančio Vilniaus r. sav., Zujūnų sen., Čekoniškių k., (toliau – Žemės sklypas) pagrindinės žemės naudojimo paskirties ir žemės naudojimo būdo keitimą. Prašymo tikslas 0,1747 ha ploto žemės ūkio paskirties Žemės sklypo pagrindinės žemės naudojimo paskirties ir žemės naudojimo būdo keitimas į kitos – vienbučių ir dvibučių gyvenamųjų pastatų teritorijos. Su prašymu galima susipažinti nuo 2025-08-11 iki 2025-08-25 Lietuvos Respublikos teritorijų planavimo dokumentų rengimo ir teritorijų planavimo proceso valstybės priežiūros informacinėje svetainėje (TPDRIS.lt) ir Vilniaus rajono savivaldybės interneto svetainėje (vrsa.lt). Pasiūlymus dėl pagrindinės žemės naudojimo paskirties ir žemės naudojimo būdo keitimo galima teikti iki 2025-08-25 Vilniaus rajono savivaldybės administracijai (Rinktinės g. 50, Vilnius) raštu ir Lietuvos Respublikos teritorijų planavimo dokumentų rengimo ir teritorijų planavimo proceso valstybinės priežiūros informacinėje sistemoje.

Ištrauka iš Kraštovaizdžio spec. plano

Prašymas

2025-08-11

 

Informuojame apie pateiktą nagrinėti prašymą dėl žemės sklypo (kad. Nr. 4117/0100:885), esančio Vilniaus r. sav., Riešės sen., Ryliškių vs., (toliau – Žemės sklypas) pagrindinės žemės naudojimo paskirties ir žemės naudojimo būdo keitimą. Prašymo tikslas 0,2981 ha ploto žemės ūkio paskirties Žemės sklypo pagrindinės žemės naudojimo paskirties ir žemės naudojimo būdo keitimas į kitos – vienbučių ir dvibučių gyvenamųjų pastatų teritorijos. Su prašymu galima susipažinti nuo 2025-08-11 iki 2025-08-25 Lietuvos Respublikos teritorijų planavimo dokumentų rengimo ir teritorijų planavimo proceso valstybės priežiūros informacinėje svetainėje (TPDRIS.lt) ir Vilniaus rajono savivaldybės interneto svetainėje (vrsa.lt). Pasiūlymus dėl pagrindinės žemės naudojimo paskirties ir žemės naudojimo būdo keitimo galima teikti iki 2025-08-25 Vilniaus rajono savivaldybės administracijai (Rinktinės g. 50, Vilnius) raštu ir Lietuvos Respublikos teritorijų planavimo dokumentų rengimo ir teritorijų planavimo proceso valstybinės priežiūros informacinėje sistemoje.

Ištrauka iš Kraštovaizdžio spec. plano

Prašymas

2025-08-11

Informuojame apie pateiktą nagrinėti prašymą dėl žemės sklypo (kad. Nr. 4162/0200:1123), esančio Vilniaus r. sav., Nemėžio sen., Daržininkų k., Senojo Kelio g. 36 (toliau – Žemės sklypas) naudojimo būdo keitimo. Prašymo tikslas: 0,5971 ploto kitos paskirties Žemės sklypo žemės naudojimo būdo keitimas į kitos – komercinės paskirties objektų teritorijos/Susisiekimo ir inžinerinių tinklų koridorių teritorijos. Su prašymu galima susipažinti nuo 2025-08-11 iki 2025-08-25 Lietuvos Respublikos teritorijų planavimo dokumentų rengimo ir teritorijų planavimo proceso valstybės priežiūros informacinėje svetainėje (TPDRIS.lt) ir Vilniaus rajono savivaldybės interneto svetainėje (vrsa.lt). Pasiūlymus dėl pagrindinės žemės naudojimo paskirties ir žemės naudojimo būdo keitimo galima teikti iki 2025-08-25 Vilniaus rajono savivaldybės administracijai (Rinktinės g. 50, Vilnius) raštu ir Lietuvos Respublikos teritorijų planavimo dokumentų rengimo ir teritorijų planavimo proceso valstybinės priežiūros informacinėje sistemoje.

Ištrauka iš Vilniaus rajono savivaldybės teritorijos dalies („U“ žemės naudojimo funkcinės zonos Avižienių, Juodšilių, Nemėžio, Pagirių, Riešės, Rudaminos ir Zujūnų seniūnijose) bendrojo plano

Prašymas

2025-08-11

 

Informuojame apie pateiktą nagrinėti prašymą dėl žemės sklypo (kadastro Nr. 4167/0300:1053), esančio Vilniaus r. sav., Pagirių sen., Skurbutėnų k., (toliau – Žemės sklypas) pagrindinės žemės naudojimo paskirties ir žemės naudojimo būdo keitimą. Prašymo tikslas 0,2403 ha ploto žemės ūkio paskirties Žemės sklypo pagrindinės žemės naudojimo paskirties ir žemės naudojimo būdo keitimas į kitos – vienbučių ir dvibučių gyvenamųjų pastatų teritorijos. Su prašymu galima susipažinti nuo 2025-08-11 iki 2025-08-25 Lietuvos Respublikos teritorijų planavimo dokumentų rengimo ir teritorijų planavimo proceso valstybės priežiūros informacinėje svetainėje (TPDRIS.lt) ir Vilniaus rajono savivaldybės interneto svetainėje (vrsa.lt). Pasiūlymus dėl pagrindinės žemės naudojimo paskirties ir žemės naudojimo būdo keitimo galima teikti iki 2025-08-25 Vilniaus rajono savivaldybės administracijai (Rinktinės g. 50, Vilnius) raštu ir Lietuvos Respublikos teritorijų planavimo dokumentų rengimo ir teritorijų planavimo proceso valstybinės priežiūros informacinėje sistemoje.

Ištrauka iš Kraštovaizdžio spec. plano

Prašymas

2025-08-11

 

 

Informuojame apie pateiktą nagrinėti prašymą dėl žemės sklypo (kad. Nr.4110/0100:438), esančio Vilniaus r. sav., Zujūnų sen., Čekoniškių k., Skautų g. 11, (toliau – Žemės sklypas) pagrindinės žemės naudojimo paskirties ir žemės naudojimo būdo keitimą. Prašymo tikslas 0,7000 ha ploto žemės ūkio paskirties Žemės sklypo pagrindinės žemės naudojimo paskirties ir žemės naudojimo būdo keitimas į kitos – komercinės paskirties objektų teritorijos. Su prašymu galima susipažinti nuo 2025-08-06 iki 2025-08-20 Lietuvos Respublikos teritorijų planavimo dokumentų rengimo ir teritorijų planavimo proceso valstybės priežiūros informacinėje svetainėje (TPDRIS.lt) ir Vilniaus rajono savivaldybės interneto svetainėje (vrsa.lt). Pasiūlymus dėl pagrindinės žemės naudojimo paskirties ir žemės naudojimo būdo keitimo galima teikti iki 2025-08-20 Vilniaus rajono savivaldybės administracijai (Rinktinės g. 50, Vilnius) raštu ir Lietuvos Respublikos teritorijų planavimo dokumentų rengimo ir teritorijų planavimo proceso valstybinės priežiūros informacinėje sistemoje.

Ištrauka iš Kraštovaizdžio spec. plano

Prašymas

2025-08-06

Informuojame apie pateiktą nagrinėti prašymą dėl žemės sklypo (kad. Nr.4103/0200:1817), esančio Vilniaus r. sav., Avižienių sen., Avižienių k., (toliau – Žemės sklypas) pagrindinės žemės naudojimo paskirties ir žemės naudojimo būdo keitimą. Prašymo tikslas 0,1000 ha ploto žemės ūkio paskirties Žemės sklypo pagrindinės žemės naudojimo paskirties ir žemės naudojimo būdo keitimas į kitos – vienbučių ir dvibučių gyvenamųjų pastatų teritorijos. Su prašymu galima susipažinti nuo 2025-08-06 iki 2025-08-20 Lietuvos Respublikos teritorijų planavimo dokumentų rengimo ir teritorijų planavimo proceso valstybės priežiūros informacinėje svetainėje (TPDRIS.lt) ir Vilniaus rajono savivaldybės interneto svetainėje (vrsa.lt). Pasiūlymus dėl pagrindinės žemės naudojimo paskirties ir žemės naudojimo būdo keitimo galima teikti iki 2025-08-20 Vilniaus rajono savivaldybės administracijai (Rinktinės g. 50, Vilnius) raštu ir Lietuvos Respublikos teritorijų planavimo dokumentų rengimo ir teritorijų planavimo proceso valstybinės priežiūros informacinėje sistemoje.

Ištrauka iš Vilniaus rajono savivaldybės teritorijos dalies („U“ žemės naudojimo funkcinės zonos Avižienių, Juodšilių, Nemėžio, Pagirių, Riešės, Rudaminos ir Zujūnų seniūnijose) bendrojo plano

Prašymas

2025-08-06

Informuojame apie pateiktą nagrinėti prašymą dėl žemės sklypo (kad. Nr.4124/0508:389), esančio Vilniaus r. sav., Dūkštų sen., Brinkiškių k., Žaros 23-ioji g. 9, (toliau – Žemės sklypas) pagrindinės žemės naudojimo paskirties ir žemės naudojimo būdo keitimą. Prašymo tikslas 0,1200 ha ploto žemės ūkio paskirties Žemės sklypo pagrindinės žemės naudojimo paskirties ir žemės naudojimo būdo keitimas į kitos – vienbučių ir dvibučių gyvenamųjų pastatų teritorijos. Su prašymu galima susipažinti nuo 2025-08-06 iki 2025-08-20 Lietuvos Respublikos teritorijų planavimo dokumentų rengimo ir teritorijų planavimo proceso valstybės priežiūros informacinėje svetainėje (TPDRIS.lt) ir Vilniaus rajono savivaldybės interneto svetainėje (vrsa.lt). Pasiūlymus dėl pagrindinės žemės naudojimo paskirties ir žemės naudojimo būdo keitimo galima teikti iki 2025-08-20 Vilniaus rajono savivaldybės administracijai (Rinktinės g. 50, Vilnius) raštu ir Lietuvos Respublikos teritorijų planavimo dokumentų rengimo ir teritorijų planavimo proceso valstybinės priežiūros informacinėje sistemoje.

Vilniaus rajono savivaldybės teritorijos dalies („ZRg“ žemės naudojimo funkcinės zonos Sudervės seniūnijoje) bendrojo plano ištrauka)

Prašymas

2025-08-06

Informuojame apie pateiktą nagrinėti prašymą dėl žemės sklypo (kad. 4117/0400:5247), esančio Vilniaus r. sav., Riešės sen., Didžiųjų Gulbinų k., Pelėdų g. 5A., (toliau – Žemės sklypas) žemės naudojimo būdo keitimo. Prašymo tikslas 0,1577 ha ploto kitos paskirties Žemės sklypo žemės naudojimo būdo keitimas į kitos – pramonės ir sandėliavimo objektų teritorijos. Su prašymu galima susipažinti nuo 2025-08-06 iki 2025-08-20 Lietuvos Respublikos teritorijų planavimo dokumentų rengimo ir teritorijų planavimo proceso valstybės priežiūros informacinėje svetainėje (TPDRIS.lt) ir Vilniaus rajono savivaldybės interneto svetainėje (vrsa.lt). Pasiūlymus dėl pagrindinės žemės naudojimo paskirties ir žemės naudojimo būdo keitimo galima teikti iki 2025-08-20 Vilniaus rajono savivaldybės administracijai (Rinktinės g. 50, Vilnius) raštu ir Lietuvos Respublikos teritorijų planavimo dokumentų rengimo ir teritorijų planavimo proceso valstybinės priežiūros informacinėje sistemoje.

Ištrauka iš Vilniaus rajono savivaldybės teritorijos dalies („U“ žemės naudojimo funkcinės zonos Avižienių, Juodšilių, Nemėžio, Pagirių, Riešės, Rudaminos ir Zujūnų seniūnijose) bendrojo plano

Prašymas

2025-08-06

Informuojame apie pateiktą nagrinėti prašymą dėl žemės sklypo (kad. 4174/0100:2514), esančio Vilniaus r. sav., Avižienių sen., Riešės k., Pergalės g. 7., (toliau – Žemės sklypas) žemės naudojimo būdo keitimo. Prašymo tikslas 0,1243 ha ploto kitos paskirties Žemės sklypo žemės naudojimo būdo keitimas į kitos – vienbučių ir dvibučių gyvenamųjų pastatų teritorijos. Su prašymu galima susipažinti nuo 2025-08-06 iki 2025-08-20 Lietuvos Respublikos teritorijų planavimo dokumentų rengimo ir teritorijų planavimo proceso valstybės priežiūros informacinėje svetainėje (TPDRIS.lt) ir Vilniaus rajono savivaldybės interneto svetainėje (vrsa.lt). Pasiūlymus dėl pagrindinės žemės naudojimo paskirties ir žemės naudojimo būdo keitimo galima teikti iki 2025-08-20 Vilniaus rajono savivaldybės administracijai (Rinktinės g. 50, Vilnius) raštu ir Lietuvos Respublikos teritorijų planavimo dokumentų rengimo ir teritorijų planavimo proceso valstybinės priežiūros informacinėje sistemoje.

Ištrauka iš Vilniaus rajono savivaldybės teritorijos dalies („U“ žemės naudojimo funkcinės zonos Avižienių, Juodšilių, Nemėžio, Pagirių, Riešės, Rudaminos ir Zujūnų seniūnijose) bendrojo plano

Prašymas

2025-08-06

Informuojame apie pateiktą nagrinėti prašymą dėl žemės sklypo (kad. 4110/0800:4397), esančio Vilniaus r. sav., Zujūnų sen., Zujūnų k., Pergalės g. 16., (toliau – Žemės sklypas) žemės naudojimo būdo keitimo. Prašymo tikslas 0,1913 ha ploto kitos paskirties Žemės sklypo žemės naudojimo būdo keitimas į kitos – vienbučių ir dvibučių gyvenamųjų pastatų teritorijos. Su prašymu galima susipažinti nuo 2025-08-06 iki 2025-08-20 Lietuvos Respublikos teritorijų planavimo dokumentų rengimo ir teritorijų planavimo proceso valstybės priežiūros informacinėje svetainėje (TPDRIS.lt) ir Vilniaus rajono savivaldybės interneto svetainėje (vrsa.lt). Pasiūlymus dėl pagrindinės žemės naudojimo paskirties ir žemės naudojimo būdo keitimo galima teikti iki 2025-08-20 Vilniaus rajono savivaldybės administracijai (Rinktinės g. 50, Vilnius) raštu ir Lietuvos Respublikos teritorijų planavimo dokumentų rengimo ir teritorijų planavimo proceso valstybinės priežiūros informacinėje sistemoje.

Ištrauka iš Vilniaus rajono savivaldybės teritorijos dalies („U“ žemės naudojimo funkcinės zonos Avižienių, Juodšilių, Nemėžio, Pagirių, Riešės, Rudaminos ir Zujūnų seniūnijose) bendrojo plano

Prašymas

2025-08-06

Informuojame apie pateiktą nagrinėti prašymą dėl žemės sklypo (kad. Nr.4174/0100:1308), esančio Vilniaus r. sav., Avižienių sen., Mažosios Riešės vs., (toliau – Žemės sklypas) pagrindinės žemės naudojimo paskirties ir žemės naudojimo būdo keitimą. Prašymo tikslas 0,1050 ha ploto žemės ūkio paskirties Žemės sklypo pagrindinės žemės naudojimo paskirties ir žemės naudojimo būdo keitimas į kitos – vienbučių ir dvibučių gyvenamųjų pastatų teritorijos. Su prašymu galima susipažinti nuo 2025-08-06 iki 2025-08-20 Lietuvos Respublikos teritorijų planavimo dokumentų rengimo ir teritorijų planavimo proceso valstybės priežiūros informacinėje svetainėje (TPDRIS.lt) ir Vilniaus rajono savivaldybės interneto svetainėje (vrsa.lt). Pasiūlymus dėl pagrindinės žemės naudojimo paskirties ir žemės naudojimo būdo keitimo galima teikti iki 2025-08-20 Vilniaus rajono savivaldybės administracijai (Rinktinės g. 50, Vilnius) raštu ir Lietuvos Respublikos teritorijų planavimo dokumentų rengimo ir teritorijų planavimo proceso valstybinės priežiūros informacinėje sistemoje.

Ištrauka iš Kraštovaizdžio spec. plano

Prašymas

2025-08-06

Informuojame apie pateiktą nagrinėti prašymą dėl žemės sklypo (kad. Nr.4174/0100:1309), esančio Vilniaus r. sav., Avižienių sen., Mažosios Riešės vs., (toliau – Žemės sklypas) pagrindinės žemės naudojimo paskirties ir žemės naudojimo būdo keitimą. Prašymo tikslas 0,1000 ha ploto žemės ūkio paskirties Žemės sklypo pagrindinės žemės naudojimo paskirties ir žemės naudojimo būdo keitimas į kitos – vienbučių ir dvibučių gyvenamųjų pastatų teritorijos. Su prašymu galima susipažinti nuo 2025-08-06 iki 2025-08-20 Lietuvos Respublikos teritorijų planavimo dokumentų rengimo ir teritorijų planavimo proceso valstybės priežiūros informacinėje svetainėje (TPDRIS.lt) ir Vilniaus rajono savivaldybės interneto svetainėje (vrsa.lt). Pasiūlymus dėl pagrindinės žemės naudojimo paskirties ir žemės naudojimo būdo keitimo galima teikti iki 2025-08-20 Vilniaus rajono savivaldybės administracijai (Rinktinės g. 50, Vilnius) raštu ir Lietuvos Respublikos teritorijų planavimo dokumentų rengimo ir teritorijų planavimo proceso valstybinės priežiūros informacinėje sistemoje.

Ištrauka iš Kraštovaizdžio spec. plano

Prašymas

2025-08-06

Informuojame apie pateiktą nagrinėti prašymą dėl žemės sklypo (kad. Nr.4167/0500:442), esančio Vilniaus r. sav., Pagirių sen., Papiškių k., (toliau – Žemės sklypas) pagrindinės žemės naudojimo paskirties ir žemės naudojimo būdo keitimą. Prašymo tikslas 0,2583 ha ploto žemės ūkio paskirties Žemės sklypo pagrindinės žemės naudojimo paskirties ir žemės naudojimo būdo keitimas į kitos – vienbučių ir dvibučių gyvenamųjų pastatų teritorijos. Su prašymu galima susipažinti nuo 2025-08-06 iki 2025-08-20 Lietuvos Respublikos teritorijų planavimo dokumentų rengimo ir teritorijų planavimo proceso valstybės priežiūros informacinėje svetainėje (TPDRIS.lt) ir Vilniaus rajono savivaldybės interneto svetainėje (vrsa.lt). Pasiūlymus dėl pagrindinės žemės naudojimo paskirties ir žemės naudojimo būdo keitimo galima teikti iki 2025-08-20 Vilniaus rajono savivaldybės administracijai (Rinktinės g. 50, Vilnius) raštu ir Lietuvos Respublikos teritorijų planavimo dokumentų rengimo ir teritorijų planavimo proceso valstybinės priežiūros informacinėje sistemoje.

Ištrauka iš Kraštovaizdžio spec. plano

Prašymas

2025-08-06

Priimtas sprendimas dėl kitos paskirties žemės sklypo (kadastro Nr. 4174/0100:1828), esančio Vilniaus r. sav., Avižienių sen., Mažosios Riešės vs., Bendorių kel. 51A,  žemės naudojimo būdo keitimo.

Sprendimas

2025-08-05

Informuojame apie pateiktą nagrinėti prašymą dėl žemės sklypo (kad. Nr.4152/0300:343), esančio Vilniaus r. sav., Mickūnų sen., Gailiūnų k., (toliau – Žemės sklypas) pagrindinės žemės naudojimo paskirties ir žemės naudojimo būdo keitimą. Prašymo tikslas 0,2410 ha ploto žemės ūkio paskirties Žemės sklypo pagrindinės žemės naudojimo paskirties ir žemės naudojimo būdo keitimas į kitos – vienbučių ir dvibučių gyvenamųjų pastatų teritorijos. Su prašymu galima susipažinti nuo 2025-08-01 iki 2025-08-15 Lietuvos Respublikos teritorijų planavimo dokumentų rengimo ir teritorijų planavimo proceso valstybės priežiūros informacinėje svetainėje (TPDRIS.lt) ir Vilniaus rajono savivaldybės interneto svetainėje (vrsa.lt). Pasiūlymus dėl pagrindinės žemės naudojimo paskirties ir žemės naudojimo būdo keitimo galima teikti iki 2025-08-15 Vilniaus rajono savivaldybės administracijai (Rinktinės g. 50, Vilnius) raštu ir Lietuvos Respublikos teritorijų planavimo dokumentų rengimo ir teritorijų planavimo proceso valstybinės priežiūros informacinėje sistemoje.

Ištrauka iš Kraštovaizdžio spec. plano

Prašymas

2025-08-01

Informuojame apie pateiktą nagrinėti prašymą dėl žemės sklypo (kad. Nr.4184/0400:460), esančio Vilniaus r. sav., Avižienių sen., Švedų k., (toliau – Žemės sklypas) pagrindinės žemės naudojimo paskirties ir žemės naudojimo būdo keitimą. Prašymo tikslas 0,2443 ha ploto žemės ūkio paskirties Žemės sklypo pagrindinės žemės naudojimo paskirties ir žemės naudojimo būdo keitimas į kitos – vienbučių ir dvibučių gyvenamųjų pastatų teritorijos. Su prašymu galima susipažinti nuo 2025-08-01 iki 2025-08-15 Lietuvos Respublikos teritorijų planavimo dokumentų rengimo ir teritorijų planavimo proceso valstybės priežiūros informacinėje svetainėje (TPDRIS.lt) ir Vilniaus rajono savivaldybės interneto svetainėje (vrsa.lt). Pasiūlymus dėl pagrindinės žemės naudojimo paskirties ir žemės naudojimo būdo keitimo galima teikti iki 2025-08-15 Vilniaus rajono savivaldybės administracijai (Rinktinės g. 50, Vilnius) raštu ir Lietuvos Respublikos teritorijų planavimo dokumentų rengimo ir teritorijų planavimo proceso valstybinės priežiūros informacinėje sistemoje.

Ištrauka iš Kraštovaizdžio spec. plano

Prašymas

2025-08-01

Priimtas sprendimas dėl žemės ūkio paskirties žemės sklypo (kadastro Nr. 4122/0200:724), esančio Vilniaus r. sav., Pagirių sen., Mažųjų Lygainių k., pagrindinės žemės naudojimo paskirties ir žemės naudojimo būdo keitimo.

Sprendimas

2025-07-31

Informuojame apie pateiktą nagrinėti prašymą dėl žemės sklypo (kad. Nr.4172/0200:406), esančio Vilniaus r. sav., Nemenčinės sen., Gamernės vs., (toliau – Žemės sklypas) pagrindinės žemės naudojimo paskirties ir žemės naudojimo būdo keitimą. Prašymo tikslas 0,3333 ha ploto žemės ūkio paskirties Žemės sklypo pagrindinės žemės naudojimo paskirties ir žemės naudojimo būdo keitimas į kitos – vienbučių ir dvibučių gyvenamųjų pastatų teritorijos. Su prašymu galima susipažinti nuo 2025-07-31 iki 2025-08-14 Lietuvos Respublikos teritorijų planavimo dokumentų rengimo ir teritorijų planavimo proceso valstybės priežiūros informacinėje svetainėje (TPDRIS.lt) ir Vilniaus rajono savivaldybės interneto svetainėje (vrsa.lt). Pasiūlymus dėl pagrindinės žemės naudojimo paskirties ir žemės naudojimo būdo keitimo galima teikti iki 2025-08-14 Vilniaus rajono savivaldybės administracijai (Rinktinės g. 50, Vilnius) raštu ir Lietuvos Respublikos teritorijų planavimo dokumentų rengimo ir teritorijų planavimo proceso valstybinės priežiūros informacinėje sistemoje.

Ištrauka iš Kraštovaizdžio spec. plano

Prašymas

2025-07-31

Informuojame apie pateiktą nagrinėti prašymą dėl žemės sklypo (kad. Nr.4162/0200:820), esančio Vilniaus r. sav., Nemėžio sen., Didžiasalio k., (toliau – Žemės sklypas) pagrindinės žemės naudojimo paskirties ir žemės naudojimo būdo keitimą. Prašymo tikslas 1,1300 ha ploto žemės ūkio paskirties Žemės sklypo pagrindinės žemės naudojimo paskirties ir žemės naudojimo būdo keitimas į kitos – vienbučių ir dvibučių gyvenamųjų pastatų teritorijos. Su prašymu galima susipažinti nuo 2025-07-30 iki 2025-08-13 Lietuvos Respublikos teritorijų planavimo dokumentų rengimo ir teritorijų planavimo proceso valstybės priežiūros informacinėje svetainėje (TPDRIS.lt) ir Vilniaus rajono savivaldybės interneto svetainėje (vrsa.lt). Pasiūlymus dėl pagrindinės žemės naudojimo paskirties ir žemės naudojimo būdo keitimo galima teikti iki 2025-08-13 Vilniaus rajono savivaldybės administracijai (Rinktinės g. 50, Vilnius) raštu ir Lietuvos Respublikos teritorijų planavimo dokumentų rengimo ir teritorijų planavimo proceso valstybinės priežiūros informacinėje sistemoje.

Ištrauka iš Kraštovaizdžio spec. plano

Prašymas

2025-07-30

Informuojame apie pateiktą nagrinėti prašymą dėl žemės sklypo (kad. Nr.4107/0400:428), esančio Vilniaus r. sav., Bezdonių sen., Baronų k., Juodeglių g. 2, (toliau – Žemės sklypas) pagrindinės žemės naudojimo paskirties ir žemės naudojimo būdo keitimą. Prašymo tikslas 0,4727 ha ploto žemės ūkio paskirties Žemės sklypo pagrindinės žemės naudojimo paskirties ir žemės naudojimo būdo keitimas į kitos – vienbučių ir dvibučių gyvenamųjų pastatų teritorijos. Su prašymu galima susipažinti nuo 2025-07-30 iki 2025-08-13 Lietuvos Respublikos teritorijų planavimo dokumentų rengimo ir teritorijų planavimo proceso valstybės priežiūros informacinėje svetainėje (TPDRIS.lt) ir Vilniaus rajono savivaldybės interneto svetainėje (vrsa.lt). Pasiūlymus dėl pagrindinės žemės naudojimo paskirties ir žemės naudojimo būdo keitimo galima teikti iki 2025-08-13 Vilniaus rajono savivaldybės administracijai (Rinktinės g. 50, Vilnius) raštu ir Lietuvos Respublikos teritorijų planavimo dokumentų rengimo ir teritorijų planavimo proceso valstybinės priežiūros informacinėje sistemoje.

Ištrauka iš Kraštovaizdžio spec. plano

Prašymas

2025-07-30

Informuojame apie pateiktą nagrinėti prašymą dėl žemės sklypo (kad. Nr.4107/0400:409), esančio Vilniaus r. sav., Bezdonių sen., Baronų k., (toliau – Žemės sklypas) pagrindinės žemės naudojimo paskirties ir žemės naudojimo būdo keitimą. Prašymo tikslas 0,2089 ha ploto žemės ūkio paskirties Žemės sklypo pagrindinės žemės naudojimo paskirties ir žemės naudojimo būdo keitimas į kitos – vienbučių ir dvibučių gyvenamųjų pastatų teritorijos. Su prašymu galima susipažinti nuo 2025-07-30 iki 2025-08-13 Lietuvos Respublikos teritorijų planavimo dokumentų rengimo ir teritorijų planavimo proceso valstybės priežiūros informacinėje svetainėje (TPDRIS.lt) ir Vilniaus rajono savivaldybės interneto svetainėje (vrsa.lt). Pasiūlymus dėl pagrindinės žemės naudojimo paskirties ir žemės naudojimo būdo keitimo galima teikti iki 2025-08-13 Vilniaus rajono savivaldybės administracijai (Rinktinės g. 50, Vilnius) raštu ir Lietuvos Respublikos teritorijų planavimo dokumentų rengimo ir teritorijų planavimo proceso valstybinės priežiūros informacinėje sistemoje.

Ištrauka iš Kraštovaizdžio spec. plano

Prašymas

2025-07-30

Priimtas sprendimas kitos paskirties žemės sklypo (kadastro Nr. 4162/0100:3718), esančio Vilniaus r. sav., Nemėžio sen., Nemėžio k., Baltarusių g. 2,  žemės naudojimo būdo keitimo.

Sprendimas

2025-07-29

Informuojame apie pateiktą nagrinėti prašymą dėl žemės sklypo (kad. Nr.4177/0300:45), esančio Vilniaus r. sav., Rudaminos sen., Parapijoniškių k., (toliau – Žemės sklypas) pagrindinės žemės naudojimo paskirties ir žemės naudojimo būdo keitimą. Prašymo tikslas 0,2455 ha ploto žemės ūkio paskirties Žemės sklypo pagrindinės žemės naudojimo paskirties ir žemės naudojimo būdo keitimas į kitos – vienbučių ir dvibučių gyvenamųjų pastatų teritorijos. Su prašymu galima susipažinti nuo 2025-07-25 iki 2025-08-08 Lietuvos Respublikos teritorijų planavimo dokumentų rengimo ir teritorijų planavimo proceso valstybės priežiūros informacinėje svetainėje (TPDRIS.lt) ir Vilniaus rajono savivaldybės interneto svetainėje (vrsa.lt). Pasiūlymus dėl pagrindinės žemės naudojimo paskirties ir žemės naudojimo būdo keitimo galima teikti iki 2025-08-08 Vilniaus rajono savivaldybės administracijai (Rinktinės g. 50, Vilnius) raštu ir Lietuvos Respublikos teritorijų planavimo dokumentų rengimo ir teritorijų planavimo proceso valstybinės priežiūros informacinėje sistemoje.

Ištrauka iš Kraštovaizdžio spec. plano

Prašymas

2025-07-25

Informuojame apie pateiktą nagrinėti prašymą dėl žemės sklypo (kad. Nr.4180/0400:227), esančio Vilniaus r. sav., Rukainių sen., Užudvario k., (toliau – Žemės sklypas) pagrindinės žemės naudojimo paskirties ir žemės naudojimo būdo keitimą. Prašymo tikslas 0,9607 ha ploto žemės ūkio paskirties Žemės sklypo pagrindinės žemės naudojimo paskirties ir žemės naudojimo būdo keitimas į kitos – vienbučių ir dvibučių gyvenamųjų pastatų teritorijos. Su prašymu galima susipažinti nuo 2025-07-25 iki 2025-08-08 Lietuvos Respublikos teritorijų planavimo dokumentų rengimo ir teritorijų planavimo proceso valstybės priežiūros informacinėje svetainėje (TPDRIS.lt) ir Vilniaus rajono savivaldybės interneto svetainėje (vrsa.lt). Pasiūlymus dėl pagrindinės žemės naudojimo paskirties ir žemės naudojimo būdo keitimo galima teikti iki 2025-08-08 Vilniaus rajono savivaldybės administracijai (Rinktinės g. 50, Vilnius) raštu ir Lietuvos Respublikos teritorijų planavimo dokumentų rengimo ir teritorijų planavimo proceso valstybinės priežiūros informacinėje sistemoje.

Ištrauka iš Kraštovaizdžio spec. plano

Prašymas

2025-07-25

Priimtas sprendimas kitos paskirties žemės sklypo (kadastro Nr. 4174/0200:1354), esančio Vilniaus r. sav., Avižienių sen., Lindiniškių k., Liepų g. 115, pagrindinės žemės naudojimo paskirties ir žemės naudojimo būdo keitimo.

Sprendimas

2025-07-24

Informuojame apie pateiktą nagrinėti prašymą dėl žemės sklypo (kad. Nr.4177/1002:169), esančio Vilniaus r. sav., Rudaminos sen., Papiškių k., Gegužinės 7-oji g. 6, (toliau – Žemės sklypas) pagrindinės žemės naudojimo paskirties ir žemės naudojimo būdo keitimą. Prašymo tikslas 0,0690 ha ploto žemės ūkio paskirties Žemės sklypo pagrindinės žemės naudojimo paskirties ir žemės naudojimo būdo keitimas į kitos – vienbučių ir dvibučių gyvenamųjų pastatų teritorijos. Su prašymu galima susipažinti nuo 2025-07-24 iki 2025-08-07 Lietuvos Respublikos teritorijų planavimo dokumentų rengimo ir teritorijų planavimo proceso valstybės priežiūros informacinėje svetainėje (TPDRIS.lt) ir Vilniaus rajono savivaldybės interneto svetainėje (vrsa.lt). Pasiūlymus dėl pagrindinės žemės naudojimo paskirties ir žemės naudojimo būdo keitimo galima teikti iki 2025-08-07 Vilniaus rajono savivaldybės administracijai (Rinktinės g. 50, Vilnius) raštu ir Lietuvos Respublikos teritorijų planavimo dokumentų rengimo ir teritorijų planavimo proceso valstybinės priežiūros informacinėje sistemoje.

Ištrauka iš Kraštovaizdžio spec. plano

Prašymas

2025-07-24

Informuojame apie pateiktą nagrinėti prašymą dėl žemės sklypo (kad. Nr. 4170/1100:18), esančio Vilniaus r. sav., Riešės sen., Ažulaukės k., Tylioji g. 14, (toliau – Žemės sklypas)  žemės naudojimo būdo keitimo. Prašymo tikslas: 0,4476 ha ploto kitos paskirties Žemės sklypo žemės naudojimo būdo keitimas į kitos – komercinės paskirties objektų teritorijos. Su prašymu galima susipažinti nuo 2025-07-24 iki 2025-08-07 Lietuvos Respublikos teritorijų planavimo dokumentų rengimo ir teritorijų planavimo proceso valstybės priežiūros informacinėje svetainėje (TPDRIS.lt) ir Vilniaus rajono savivaldybės interneto svetainėje (vrsa.lt). Pasiūlymus dėl pagrindinės žemės naudojimo paskirties ir žemės naudojimo būdo keitimo galima teikti iki 2025-08-07 Vilniaus rajono savivaldybės administracijai (Rinktinės g. 50, Vilnius) raštu ir Lietuvos Respublikos teritorijų planavimo dokumentų rengimo ir teritorijų planavimo proceso valstybinės priežiūros informacinėje sistemoje.

Ištrauka iš Kraštovaizdžio spec. plano

Prašymas

2025-07-24

Priimtas sprendimas žemės ūkio paskirties žemės sklypo (kadastro Nr. 4103/0200:1748), esančio Vilniaus r. sav., Avižienių sen., Avižienių k., pagrindinės žemės naudojimo paskirties ir žemės naudojimo būdo keitimo.

Sprendimas

2025-07-17

Informuojame apie pateiktą nagrinėti prašymą dėl žemės sklypo (kad. Nr.4127/0300:259), esančio Vilniaus r. sav., Nemenčinės sen., Mileikių k., (toliau – Žemės sklypas) pagrindinės žemės naudojimo paskirties ir žemės naudojimo būdo keitimą. Prašymo tikslas: 1,5500 ha ploto žemės ūkio paskirties Žemės sklypo pagrindinės žemės naudojimo paskirties ir žemės naudojimo būdo keitimas į kitos – vienbučių ir dvibučių gyvenamųjų pastatų teritorijos. Su prašymu galima susipažinti nuo 2025-07-18 iki 2025-08-01 Lietuvos Respublikos teritorijų planavimo dokumentų rengimo ir teritorijų planavimo proceso valstybės priežiūros informacinėje svetainėje (TPDRIS.lt) ir Vilniaus rajono savivaldybės interneto svetainėje (vrsa.lt). Pasiūlymus dėl pagrindinės žemės naudojimo paskirties ir žemės naudojimo būdo keitimo galima teikti iki 2025-08-01 Vilniaus rajono savivaldybės administracijai (Rinktinės g. 50, Vilnius) raštu ir Lietuvos Respublikos teritorijų planavimo dokumentų rengimo ir teritorijų planavimo proceso valstybinės priežiūros informacinėje sistemoje.

Ištrauka iš Kraštovaizdžio spec. plano

Prašymas

2025-07-18

Informuojame apie pateiktą nagrinėti prašymą dėl žemės sklypo (kad. Nr. 4184/0100:9984), esančio Vilniaus r. sav., Sudervės sen., Geležių k., (toliau – Žemės sklypas) pagrindinės žemės naudojimo paskirties ir žemės naudojimo būdo keitimą. Prašymo tikslas: 0,5010 ha ploto žemės ūkio paskirties Žemės sklypo pagrindinės žemės naudojimo paskirties ir žemės naudojimo būdo keitimas į kitos – vienbučių ir dvibučių gyvenamųjų pastatų teritorijos. Su prašymu galima susipažinti nuo 2025-07-18 iki 2025-08-01 Lietuvos Respublikos teritorijų planavimo dokumentų rengimo ir teritorijų planavimo proceso valstybės priežiūros informacinėje svetainėje (TPDRIS.lt) ir Vilniaus rajono savivaldybės interneto svetainėje (vrsa.lt). Pasiūlymus dėl pagrindinės žemės naudojimo paskirties ir žemės naudojimo būdo keitimo galima teikti iki 2025-08-01 Vilniaus rajono savivaldybės administracijai (Rinktinės g. 50, Vilnius) raštu ir Lietuvos Respublikos teritorijų planavimo dokumentų rengimo ir teritorijų planavimo proceso valstybinės priežiūros informacinėje sistemoje.

Ištrauka iš Kraštovaizdžio spec. plano

Prašymas

2025-07-18

Informuojame apie pateiktą nagrinėti prašymą dėl žemės sklypo (kad. Nr. 4177/0300:1029), esančio Vilniaus r. sav., Rudaminos sen., Rudaminos k., (toliau – Žemės sklypas) pagrindinės žemės naudojimo paskirties ir žemės naudojimo būdo keitimą. Prašymo tikslas: 0,1497 ha ploto žemės ūkio paskirties Žemės sklypo pagrindinės žemės naudojimo paskirties ir žemės naudojimo būdo keitimas į kitos – vienbučių ir dvibučių gyvenamųjų pastatų teritorijos. Su prašymu galima susipažinti nuo 2025-07-18 iki 2025-08-01 Lietuvos Respublikos teritorijų planavimo dokumentų rengimo ir teritorijų planavimo proceso valstybės priežiūros informacinėje svetainėje (TPDRIS.lt) ir Vilniaus rajono savivaldybės interneto svetainėje (vrsa.lt). Pasiūlymus dėl pagrindinės žemės naudojimo paskirties ir žemės naudojimo būdo keitimo galima teikti iki 2025-08-01 Vilniaus rajono savivaldybės administracijai (Rinktinės g. 50, Vilnius) raštu ir Lietuvos Respublikos teritorijų planavimo dokumentų rengimo ir teritorijų planavimo proceso valstybinės priežiūros informacinėje sistemoje.

Ištrauka iš Vilniaus rajono savivaldybės teritorijos dalies („U“ žemės naudojimo funkcinės zonos Avižienių, Juodšilių, Nemėžio, Pagirių, Riešės, Rudaminos ir Zujūnų seniūnijose) bendrojo plano

Prašymas

2025-07-18

Informuojame apie pateiktą nagrinėti prašymą dėl žemės sklypo (kad. Nr. 4174/0100:1828), esančio Vilniaus r. sav., Avižienių sen., Mažosios Riešės vs., Bendorių kel. 51A., (toliau – Žemės sklypas)  žemės naudojimo būdo keitimo. Prašymo tikslas: 0,1613 ha ploto kitos paskirties Žemės sklypo žemės naudojimo būdo keitimas į kitos – komercinės paskirties objektų teritorijos. Su prašymu galima susipažinti nuo 2025-07-17 iki 2025-07-31 Lietuvos Respublikos teritorijų planavimo dokumentų rengimo ir teritorijų planavimo proceso valstybės priežiūros informacinėje svetainėje (TPDRIS.lt) ir Vilniaus rajono savivaldybės interneto svetainėje (vrsa.lt). Pasiūlymus dėl pagrindinės žemės naudojimo paskirties ir žemės naudojimo būdo keitimo galima teikti iki 2025-07-31 Vilniaus rajono savivaldybės administracijai (Rinktinės g. 50, Vilnius) raštu ir Lietuvos Respublikos teritorijų planavimo dokumentų rengimo ir teritorijų planavimo proceso valstybinės priežiūros informacinėje sistemoje.

Ištrauka iš Vilniaus rajono savivaldybės teritorijos dalies („U“ žemės naudojimo funkcinės zonos Avižienių, Juodšilių, Nemėžio, Pagirių, Riešės, Rudaminos ir Zujūnų seniūnijose) bendrojo plano

Prašymas

2025-07-17

Informuojame apie pateiktą nagrinėti prašymą dėl žemės sklypo (kad. Nr. 4167/0100:479), esančio Vilniaus r. sav., Pagirių sen., Baltosios Vokės k., (toliau – Žemės sklypas) pagrindinės žemės naudojimo paskirties ir žemės naudojimo būdo keitimą. Prašymo tikslas: 0,0692 ha ploto žemės ūkio paskirties Žemės sklypo pagrindinės žemės naudojimo paskirties ir žemės naudojimo būdo keitimas į kitos – vienbučių ir dvibučių gyvenamųjų pastatų teritorijos. Su prašymu galima susipažinti nuo 2025-07-17 iki 2025-07-31 Lietuvos Respublikos teritorijų planavimo dokumentų rengimo ir teritorijų planavimo proceso valstybės priežiūros informacinėje svetainėje (TPDRIS.lt) ir Vilniaus rajono savivaldybės interneto svetainėje (vrsa.lt). Pasiūlymus dėl pagrindinės žemės naudojimo paskirties ir žemės naudojimo būdo keitimo galima teikti iki 2025-07-31 Vilniaus rajono savivaldybės administracijai (Rinktinės g. 50, Vilnius) raštu ir Lietuvos Respublikos teritorijų planavimo dokumentų rengimo ir teritorijų planavimo proceso valstybinės priežiūros informacinėje sistemoje.

Ištrauka iš Vilniaus rajono savivaldybės teritorijos dalies („U“ žemės naudojimo funkcinės zonos Avižienių, Juodšilių, Nemėžio, Pagirių, Riešės, Rudaminos ir Zujūnų seniūnijose) bendrojo plano

Prašymas

2025-07-17

Informuojame apie pateiktą nagrinėti prašymą dėl žemės sklypo (kad. Nr. 4117/0400:5074), esančio Vilniaus r. sav., Riešės sen., Kalino k., (toliau – Žemės sklypas) pagrindinės žemės naudojimo paskirties ir žemės naudojimo būdo keitimą. Prašymo tikslas: 0,3000 ha ploto žemės ūkio paskirties Žemės sklypo pagrindinės žemės naudojimo paskirties ir žemės naudojimo būdo keitimas į kitos – pramonės ir sandėliavimo objektų teritorijos. Su prašymu galima susipažinti nuo 2025-07-16 iki 2025-07-30 Lietuvos Respublikos teritorijų planavimo dokumentų rengimo ir teritorijų planavimo proceso valstybės priežiūros informacinėje svetainėje (TPDRIS.lt) ir Vilniaus rajono savivaldybės interneto svetainėje (vrsa.lt). Pasiūlymus dėl pagrindinės žemės naudojimo paskirties ir žemės naudojimo būdo keitimo galima teikti iki 2025-07-30 Vilniaus rajono savivaldybės administracijai (Rinktinės g. 50, Vilnius) raštu ir Lietuvos Respublikos teritorijų planavimo dokumentų rengimo ir teritorijų planavimo proceso valstybinės priežiūros informacinėje sistemoje.

Ištrauka iš Kraštovaizdžio spec. plano

Prašymas

2025-07-16

Informuojame apie pateiktą nagrinėti prašymą dėl žemės sklypo (kad. Nr. 4103/0200:1368), esančio Vilniaus r. sav., Avižienių sen., Saldenės k., (toliau – Žemės sklypas) pagrindinės žemės naudojimo paskirties ir žemės naudojimo būdo keitimą. Prašymo tikslas: 0,1500 ha ploto žemės ūkio paskirties Žemės sklypo pagrindinės žemės naudojimo paskirties ir žemės naudojimo būdo keitimas į kitos – vienbučių ir dvibučių gyvenamųjų pastatų teritorijos. Su prašymu galima susipažinti nuo 2025-07-16 iki 2025-07-30 Lietuvos Respublikos teritorijų planavimo dokumentų rengimo ir teritorijų planavimo proceso valstybės priežiūros informacinėje svetainėje (TPDRIS.lt) ir Vilniaus rajono savivaldybės interneto svetainėje (vrsa.lt). Pasiūlymus dėl pagrindinės žemės naudojimo paskirties ir žemės naudojimo būdo keitimo galima teikti iki 2025-07-30 Vilniaus rajono savivaldybės administracijai (Rinktinės g. 50, Vilnius) raštu ir Lietuvos Respublikos teritorijų planavimo dokumentų rengimo ir teritorijų planavimo proceso valstybinės priežiūros informacinėje sistemoje.

Ištrauka iš Vilniaus rajono savivaldybės teritorijos dalies („U“ žemės naudojimo funkcinės zonos Avižienių, Juodšilių, Nemėžio, Pagirių, Riešės, Rudaminos ir Zujūnų seniūnijose) bendrojo plano

Prašymas

2025-07-16

Informuojame apie pateiktą nagrinėti prašymą dėl žemės sklypo (kad. Nr. 4167/0300:582), esančio Vilniaus r. sav., Pagirių sen., Keturiasdešimt Totorių k., (toliau – Žemės sklypas) pagrindinės žemės naudojimo paskirties ir žemės naudojimo būdo keitimą. Prašymo tikslas: 0,2500 ha ploto žemės ūkio paskirties Žemės sklypo pagrindinės žemės naudojimo paskirties ir žemės naudojimo būdo keitimas į kitos – vienbučių ir dvibučių gyvenamųjų pastatų teritorijos. Su prašymu galima susipažinti nuo 2025-07-16 iki 2025-07-30 Lietuvos Respublikos teritorijų planavimo dokumentų rengimo ir teritorijų planavimo proceso valstybės priežiūros informacinėje svetainėje (TPDRIS.lt) ir Vilniaus rajono savivaldybės interneto svetainėje (vrsa.lt). Pasiūlymus dėl pagrindinės žemės naudojimo paskirties ir žemės naudojimo būdo keitimo galima teikti iki 2025-07-30 Vilniaus rajono savivaldybės administracijai (Rinktinės g. 50, Vilnius) raštu ir Lietuvos Respublikos teritorijų planavimo dokumentų rengimo ir teritorijų planavimo proceso valstybinės priežiūros informacinėje sistemoje.

Ištrauka iš Kraštovaizdžio spec. plano

Prašymas

2025-07-16

Priimtas sprendimas žemės ūkio paskirties žemės sklypo (kadastro Nr. 4124/0100:461), esančio Vilniaus r. sav., Dūkštų sen., Buivydų k., pagrindinės žemės naudojimo paskirties ir žemės naudojimo būdo keitimo.

Sprendimas

2025-07-15

Priimtas sprendimas žemės ūkio paskirties žemės sklypo (kadastro Nr. 4174/0100:1340), esančio Vilniaus r. sav., Avižienių sen., Lindiniškių k, pagrindinės žemės naudojimo paskirties ir žemės naudojimo būdo keitimo.

Sprendimas

2025-07-11

Priimtas sprendimas žemės ūkio paskirties žemės sklypo (kadastro Nr. 4124/0100:133), esančio Vilniaus r. sav., Dūkštų sen., Buivydų k., pagrindinės žemės naudojimo paskirties ir žemės naudojimo būdo keitimo.

Sprendimas

2025-07-11

Informuojame apie pateiktą nagrinėti prašymą dėl žemės sklypo (kad. Nr. 4124/0400:1043), esančio Vilniaus r. sav., Dūkštų sen., Kryžinės k. (toliau – Žemės sklypas) pagrindinės žemės naudojimo paskirties ir žemės naudojimo būdo keitimą. Prašymo tikslas: 0,8600 ha ploto žemės ūkio paskirties Žemės sklypo pagrindinės žemės naudojimo paskirties ir žemės naudojimo būdo keitimas į kitos – vienbučių ir dvibučių gyvenamųjų pastatų teritorijos. Su prašymu galima susipažinti nuo 2025-07-11 iki 2025-07-25 Lietuvos Respublikos teritorijų planavimo dokumentų rengimo ir teritorijų planavimo proceso valstybės priežiūros informacinėje svetainėje (TPDRIS.lt) ir Vilniaus rajono savivaldybės interneto svetainėje (vrsa.lt). Pasiūlymus dėl pagrindinės žemės naudojimo paskirties ir žemės naudojimo būdo keitimo galima teikti iki 2025-07-25 Vilniaus rajono savivaldybės administracijai (Rinktinės g. 50, Vilnius) raštu ir Lietuvos Respublikos teritorijų planavimo dokumentų rengimo ir teritorijų planavimo proceso valstybinės priežiūros informacinėje sistemoje.

Vilniaus rajono savivaldybės teritorijos dalies („ZRg“ žemės naudojimo funkcinės zonos Sudervės seniūnijoje) bendrojo plano ištrauka)

Prašymas

2025-07-11

Informuojame apie pateiktą nagrinėti prašymą dėl žemės sklypo (kad. Nr. 4122/0200:724), esančio Vilniaus r. sav., Pagirių sen., Mažųjų Lygainių k. (toliau – Žemės sklypas) pagrindinės žemės naudojimo paskirties ir žemės naudojimo būdo keitimą. Prašymo tikslas: 0,3134 ha ploto žemės ūkio paskirties Žemės sklypo pagrindinės žemės naudojimo paskirties ir žemės naudojimo būdo keitimas į kitos – vienbučių ir dvibučių gyvenamųjų pastatų teritorijos. Su prašymu galima susipažinti nuo 2025-07-10 iki 2025-07-24 Lietuvos Respublikos teritorijų planavimo dokumentų rengimo ir teritorijų planavimo proceso valstybės priežiūros informacinėje svetainėje (TPDRIS.lt) ir Vilniaus rajono savivaldybės interneto svetainėje (vrsa.lt). Pasiūlymus dėl pagrindinės žemės naudojimo paskirties ir žemės naudojimo būdo keitimo galima teikti iki 2025-07-24 Vilniaus rajono savivaldybės administracijai (Rinktinės g. 50, Vilnius) raštu ir Lietuvos Respublikos teritorijų planavimo dokumentų rengimo ir teritorijų planavimo proceso valstybinės priežiūros informacinėje sistemoje.

Ištrauka iš Kraštovaizdžio spec. plano

Prašymas

2025-07-10

Informuojame apie pateiktą nagrinėti prašymą dėl žemės sklypo (kad. Nr. 4142/0100:435), esančio Vilniaus r. sav., Šatrininkų sen., Grigaičių k. (toliau – Žemės sklypas) pagrindinės žemės naudojimo paskirties ir žemės naudojimo būdo keitimą. Prašymo tikslas: 0,3000 ha ploto žemės ūkio paskirties Žemės sklypo pagrindinės žemės naudojimo paskirties ir žemės naudojimo būdo keitimas į kitos – vienbučių ir dvibučių gyvenamųjų pastatų teritorijos. Su prašymu galima susipažinti nuo 2025-07-10 iki 2025-07-24 Lietuvos Respublikos teritorijų planavimo dokumentų rengimo ir teritorijų planavimo proceso valstybės priežiūros informacinėje svetainėje (TPDRIS.lt) ir Vilniaus rajono savivaldybės interneto svetainėje (vrsa.lt). Pasiūlymus dėl pagrindinės žemės naudojimo paskirties ir žemės naudojimo būdo keitimo galima teikti iki 2025-07-24 Vilniaus rajono savivaldybės administracijai (Rinktinės g. 50, Vilnius) raštu ir Lietuvos Respublikos teritorijų planavimo dokumentų rengimo ir teritorijų planavimo proceso valstybinės priežiūros informacinėje sistemoje.

Ištrauka iš Kraštovaizdžio spec. plano

Prašymas

2025-07-10

Informuojame apie pateiktą nagrinėti prašymą dėl žemės sklypo (kad. Nr. 4110/0500:280), esančio Vilniaus r. sav., Zujūnų sen., Smiglių k., Upės g. 76 (toliau – Žemės sklypas) pagrindinės žemės naudojimo paskirties ir žemės naudojimo būdo keitimą. Prašymo tikslas: 0,3825 ha ploto žemės ūkio paskirties Žemės sklypo pagrindinės žemės naudojimo paskirties ir žemės naudojimo būdo keitimas į kitos – vienbučių ir dvibučių gyvenamųjų pastatų teritorijos. Su prašymu galima susipažinti nuo 2025-07-09 iki 2025-07-23 Lietuvos Respublikos teritorijų planavimo dokumentų rengimo ir teritorijų planavimo proceso valstybės priežiūros informacinėje svetainėje (TPDRIS.lt) ir Vilniaus rajono savivaldybės interneto svetainėje (vrsa.lt). Pasiūlymus dėl pagrindinės žemės naudojimo paskirties ir žemės naudojimo būdo keitimo galima teikti iki 2025-07-23 Vilniaus rajono savivaldybės administracijai (Rinktinės g. 50, Vilnius) raštu ir Lietuvos Respublikos teritorijų planavimo dokumentų rengimo ir teritorijų planavimo proceso valstybinės priežiūros informacinėje sistemoje.

Ištrauka iš Kraštovaizdžio spec. plano

Prašymas

2025-07-09

Informuojame apie pateiktą nagrinėti prašymą dėl žemės sklypo (kad. Nr. 4154/2000:924), esančio Vilniaus r. sav., Marijampolio sen., Vilkiškių k. (toliau – Žemės sklypas) pagrindinės žemės naudojimo paskirties ir žemės naudojimo būdo keitimą. Prašymo tikslas: 0,2500 ha ploto žemės ūkio paskirties Žemės sklypo pagrindinės žemės naudojimo paskirties ir žemės naudojimo būdo keitimas į kitos – vienbučių ir dvibučių gyvenamųjų pastatų teritorijos. Su prašymu galima susipažinti nuo 2025-07-08 iki 2025-07-22 Lietuvos Respublikos teritorijų planavimo dokumentų rengimo ir teritorijų planavimo proceso valstybės priežiūros informacinėje svetainėje (TPDRIS.lt) ir Vilniaus rajono savivaldybės interneto svetainėje (vrsa.lt). Pasiūlymus dėl pagrindinės žemės naudojimo paskirties ir žemės naudojimo būdo keitimo galima teikti iki 2025-07-22 Vilniaus rajono savivaldybės administracijai (Rinktinės g. 50, Vilnius) raštu ir Lietuvos Respublikos teritorijų planavimo dokumentų rengimo ir teritorijų planavimo proceso valstybinės priežiūros informacinėje sistemoje.

Ištrauka iš Kraštovaizdžio spec. plano

Prašymas

2025-07-08

Informuojame apie pateiktą nagrinėti prašymą dėl žemės sklypo (kad. Nr. 4130/0300:635), esančio Vilniaus r. sav., Dūkštų sen., Geisiškių k. (toliau – Žemės sklypas) pagrindinės žemės naudojimo paskirties ir žemės naudojimo būdo keitimą. Prašymo tikslas: 0,1830 ha ploto žemės ūkio paskirties Žemės sklypo pagrindinės žemės naudojimo paskirties ir žemės naudojimo būdo keitimas į kitos – vienbučių ir dvibučių gyvenamųjų pastatų teritorijos. Su prašymu galima susipažinti nuo 2025-07-08 iki 2025-07-22 Lietuvos Respublikos teritorijų planavimo dokumentų rengimo ir teritorijų planavimo proceso valstybės priežiūros informacinėje svetainėje (TPDRIS.lt) ir Vilniaus rajono savivaldybės interneto svetainėje (vrsa.lt). Pasiūlymus dėl pagrindinės žemės naudojimo paskirties ir žemės naudojimo būdo keitimo galima teikti iki 2025-07-22 Vilniaus rajono savivaldybės administracijai (Rinktinės g. 50, Vilnius) raštu ir Lietuvos Respublikos teritorijų planavimo dokumentų rengimo ir teritorijų planavimo proceso valstybinės priežiūros informacinėje sistemoje.

Ištrauka iš Kraštovaizdžio spec. plano

Prašymas

2025-07-08

Informuojame apie pateiktą nagrinėti prašymą dėl žemės sklypo (kad. Nr.4122/0200:819 ), esančio Vilniaus r. sav., Pagirių sen., Didžiųjų Lygainių k. (toliau – Žemės sklypas) pagrindinės žemės naudojimo paskirties ir žemės naudojimo būdo keitimą. Prašymo tikslas: 0,2572 ha ploto žemės ūkio paskirties Žemės sklypo pagrindinės žemės naudojimo paskirties ir žemės naudojimo būdo keitimas į kitos – vienbučių ir dvibučių gyvenamųjų pastatų teritorijos. Su prašymu galima susipažinti nuo 2025-07-03 iki 2025-07-17 Lietuvos Respublikos teritorijų planavimo dokumentų rengimo ir teritorijų planavimo proceso valstybės priežiūros informacinėje svetainėje (TPDRIS.lt) ir Vilniaus rajono savivaldybės interneto svetainėje (vrsa.lt). Pasiūlymus dėl pagrindinės žemės naudojimo paskirties ir žemės naudojimo būdo keitimo galima teikti iki 2025-07-17 Vilniaus rajono savivaldybės administracijai (Rinktinės g. 50, Vilnius) raštu ir Lietuvos Respublikos teritorijų planavimo dokumentų rengimo ir teritorijų planavimo proceso valstybinės priežiūros informacinėje sistemoje.

Ištrauka iš Kraštovaizdžio spec. plano

Prašymas

2025-07-03

Informuojame apie pateiktą nagrinėti prašymą dėl žemės sklypo (kad. Nr.4177/0500:1314), esančio Vilniaus r. sav., Rudaminos sen., Dukelių k., Dukelių g. 9 (toliau – Žemės sklypas) pagrindinės žemės naudojimo paskirties ir žemės naudojimo būdo keitimą. Prašymo tikslas: 0,2521 ha ploto žemės ūkio paskirties Žemės sklypo pagrindinės žemės naudojimo paskirties ir žemės naudojimo būdo keitimas į kitos – vienbučių ir dvibučių gyvenamųjų pastatų teritorijos. Su prašymu galima susipažinti nuo 2025-07-03 iki 2025-07-17 Lietuvos Respublikos teritorijų planavimo dokumentų rengimo ir teritorijų planavimo proceso valstybės priežiūros informacinėje svetainėje (TPDRIS.lt) ir Vilniaus rajono savivaldybės interneto svetainėje (vrsa.lt). Pasiūlymus dėl pagrindinės žemės naudojimo paskirties ir žemės naudojimo būdo keitimo galima teikti iki 2025-07-17 Vilniaus rajono savivaldybės administracijai (Rinktinės g. 50, Vilnius) raštu ir Lietuvos Respublikos teritorijų planavimo dokumentų rengimo ir teritorijų planavimo proceso valstybinės priežiūros informacinėje sistemoje.

Ištrauka iš Vilniaus rajono savivaldybės teritorijos dalies („U“ žemės naudojimo funkcinės zonos Avižienių, Juodšilių, Nemėžio, Pagirių, Riešės, Rudaminos ir Zujūnų seniūnijose) bendrojo plano

Prašymas

2025-07-03

Informuojame apie pateiktą nagrinėti prašymą dėl žemės sklypo (kad. Nr.4174/0200:1354), esančio Vilniaus r. sav., Avižienių sen., Lindiniškių k., Liepų g. 115 (toliau – Žemės sklypas) žemės naudojimo būdo keitimo. Prašymo tikslas: 0,1897 ha ploto kitos paskirties Žemės sklypo žemės naudojimo būdo keitimas į kitos – komercinės paskirties objektų teritorijos. Su prašymu galima susipažinti nuo 2025-07-03 iki 2025-07-17 Lietuvos Respublikos teritorijų planavimo dokumentų rengimo ir teritorijų planavimo proceso valstybės priežiūros informacinėje svetainėje (TPDRIS.lt) ir Vilniaus rajono savivaldybės interneto svetainėje (vrsa.lt). Pasiūlymus dėl pagrindinės žemės naudojimo paskirties ir žemės naudojimo būdo keitimo galima teikti iki 2025-07-17 Vilniaus rajono savivaldybės administracijai (Rinktinės g. 50, Vilnius) raštu ir Lietuvos Respublikos teritorijų planavimo dokumentų rengimo ir teritorijų planavimo proceso valstybinės priežiūros informacinėje sistemoje.

Ištrauka iš Vilniaus rajono savivaldybės teritorijos dalies („U“ žemės naudojimo funkcinės zonos Avižienių, Juodšilių, Nemėžio, Pagirių, Riešės, Rudaminos ir Zujūnų seniūnijose) bendrojo plano

Prašymas

2025-07-03

Informuojame apie pateiktą nagrinėti prašymą dėl žemės sklypo (kad. Nr.4174/0100:877), esančio Vilniaus r. sav., Avižienių sen., Riešės k. (toliau – Žemės sklypas) pagrindinės žemės naudojimo paskirties ir žemės naudojimo būdo keitimą. Prašymo tikslas: 0,3030 ha ploto žemės ūkio paskirties Žemės sklypo pagrindinės žemės naudojimo paskirties ir žemės naudojimo būdo keitimas į kitos – daugiabučių gyvenamųjų pastatų ir bendrabučių teritorijos. Su prašymu galima susipažinti nuo 2025-07-03 iki 2025-07-17 Lietuvos Respublikos teritorijų planavimo dokumentų rengimo ir teritorijų planavimo proceso valstybės priežiūros informacinėje svetainėje (TPDRIS.lt) ir Vilniaus rajono savivaldybės interneto svetainėje (vrsa.lt). Pasiūlymus dėl pagrindinės žemės naudojimo paskirties ir žemės naudojimo būdo keitimo galima teikti iki 2025-07-17 Vilniaus rajono savivaldybės administracijai (Rinktinės g. 50, Vilnius) raštu ir Lietuvos Respublikos teritorijų planavimo dokumentų rengimo ir teritorijų planavimo proceso valstybinės priežiūros informacinėje sistemoje.

Ištrauka iš Vilniaus rajono savivaldybės teritorijos dalies („U“ žemės naudojimo funkcinės zonos Avižienių, Juodšilių, Nemėžio, Pagirių, Riešės, Rudaminos ir Zujūnų seniūnijose) bendrojo plano

Prašymas

2025-07-03

Informuojame apie pateiktą nagrinėti prašymą dėl žemės sklypo (kad. Nr.4154/2900:127), esančio Vilniaus r. sav., Marijampolio sen., Terešiškių k. (toliau – Žemės sklypas) pagrindinės žemės naudojimo paskirties ir žemės naudojimo būdo keitimą. Prašymo tikslas: 0,1200 ha ploto žemės ūkio paskirties Žemės sklypo pagrindinės žemės naudojimo paskirties ir žemės naudojimo būdo keitimas į kitos – vienbučių ir dvibučių gyvenamųjų pastatų teritorijos. Su prašymu galima susipažinti nuo 2025-07-01 iki 2025-07-15 Lietuvos Respublikos teritorijų planavimo dokumentų rengimo ir teritorijų planavimo proceso valstybės priežiūros informacinėje svetainėje (TPDRIS.lt) ir Vilniaus rajono savivaldybės interneto svetainėje (vrsa.lt). Pasiūlymus dėl pagrindinės žemės naudojimo paskirties ir žemės naudojimo būdo keitimo galima teikti iki 2025-07-15 Vilniaus rajono savivaldybės administracijai (Rinktinės g. 50, Vilnius) raštu ir Lietuvos Respublikos teritorijų planavimo dokumentų rengimo ir teritorijų planavimo proceso valstybinės priežiūros informacinėje sistemoje.

Ištrauka iš Kraštovaizdžio spec. plano

Prašymas

2025-07-01

Informuojame apie pateiktą nagrinėti prašymą dėl žemės sklypo (kad. Nr.4184/0400:1140), esančio Vilniaus r. sav., Sudervės sen., Izabelinės k., Šv. Jono g. 4 (toliau – Žemės sklypas) pagrindinės žemės naudojimo paskirties ir žemės naudojimo būdo keitimą. Prašymo tikslas: 0.4207 ha ploto žemės ūkio paskirties Žemės sklypo pagrindinės žemės naudojimo paskirties ir žemės naudojimo būdo keitimas į kitos – pramonės ir sandėliavimo objektų teritorijos. Su prašymu galima susipažinti nuo 2025-06-27 iki 2025-07-11 Lietuvos Respublikos teritorijų planavimo dokumentų rengimo ir teritorijų planavimo proceso valstybės priežiūros informacinėje svetainėje (TPDRIS.lt) ir Vilniaus rajono savivaldybės interneto svetainėje (vrsa.lt). Pasiūlymus dėl pagrindinės žemės naudojimo paskirties ir žemės naudojimo būdo keitimo galima teikti iki 2025-07-11 Vilniaus rajono savivaldybės administracijai (Rinktinės g. 50, Vilnius) raštu ir Lietuvos Respublikos teritorijų planavimo dokumentų rengimo ir teritorijų planavimo proceso valstybinės priežiūros informacinėje sistemoje.

Ištrauka iš Kraštovaizdžio spec. plano

Prašymas

2025-06-27

Informuojame apie pateiktą nagrinėti prašymą dėl žemės sklypo (kad. Nr.4167/0200:1098), esančio Vilniaus r. sav., Pagirių sen., Melekonių k. (toliau – Žemės sklypas) pagrindinės žemės naudojimo paskirties ir žemės naudojimo būdo keitimą. Prašymo tikslas: 0.9614 ha ploto žemės ūkio paskirties Žemės sklypo pagrindinės žemės naudojimo paskirties ir žemės naudojimo būdo keitimas į kitos – pramonės ir sandėliavimo objektų teritorijos. Su prašymu galima susipažinti nuo 2025-06-26 iki 2025-07-10 Lietuvos Respublikos teritorijų planavimo dokumentų rengimo ir teritorijų planavimo proceso valstybės priežiūros informacinėje svetainėje (TPDRIS.lt) ir Vilniaus rajono savivaldybės interneto svetainėje (vrsa.lt). Pasiūlymus dėl pagrindinės žemės naudojimo paskirties ir žemės naudojimo būdo keitimo galima teikti iki 2025-07-10 Vilniaus rajono savivaldybės administracijai (Rinktinės g. 50, Vilnius) raštu ir Lietuvos Respublikos teritorijų planavimo dokumentų rengimo ir teritorijų planavimo proceso valstybinės priežiūros informacinėje sistemoje.

Ištrauka iš Kraštovaizdžio spec. plano

Prašymas

2025-06-26

Informuojame apie pateiktą nagrinėti prašymą dėl žemės sklypo (kad. Nr.4160/0100:998), esančio Vilniaus r. sav., Nemenčinės m. (toliau – Žemės sklypas)  žemės naudojimo būdo keitimo. Prašymo tikslas: 0,8430 ha ploto kitos paskirties Žemės sklypo  žemės naudojimo būdo keitimas į kitos – daugiabučių gyvenamųjų pastatų ir bendrabučių teritorijos. Su prašymu galima susipažinti nuo 2025-06-26 iki 2025-07-10 Lietuvos Respublikos teritorijų planavimo dokumentų rengimo ir teritorijų planavimo proceso valstybės priežiūros informacinėje svetainėje (TPDRIS.lt) ir Vilniaus rajono savivaldybės interneto svetainėje (vrsa.lt). Pasiūlymus dėl pagrindinės žemės naudojimo paskirties ir žemės naudojimo būdo keitimo galima teikti iki 2025-07-10 Vilniaus rajono savivaldybės administracijai (Rinktinės g. 50, Vilnius) raštu ir Lietuvos Respublikos teritorijų planavimo dokumentų rengimo ir teritorijų planavimo proceso valstybinės priežiūros informacinėje sistemoje.

Ištrauka iš Kraštovaizdžio spec. plano

Prašymas

2025-06-26

Informuojame apie pateiktą nagrinėti prašymą dėl žemės sklypo (kad. Nr.4160/0100:997), esančio Vilniaus r. sav., Nemenčinės m. (toliau – Žemės sklypas)  žemės naudojimo būdo keitimo. Prašymo tikslas: 0,7745 ha ploto kitos paskirties Žemės sklypo  žemės naudojimo būdo keitimas į kitos – daugiabučių gyvenamųjų pastatų ir bendrabučių teritorijos. Su prašymu galima susipažinti nuo 2025-06-26 iki 2025-07-10 Lietuvos Respublikos teritorijų planavimo dokumentų rengimo ir teritorijų planavimo proceso valstybės priežiūros informacinėje svetainėje (TPDRIS.lt) ir Vilniaus rajono savivaldybės interneto svetainėje (vrsa.lt). Pasiūlymus dėl pagrindinės žemės naudojimo paskirties ir žemės naudojimo būdo keitimo galima teikti iki 2025-07-10 Vilniaus rajono savivaldybės administracijai (Rinktinės g. 50, Vilnius) raštu ir Lietuvos Respublikos teritorijų planavimo dokumentų rengimo ir teritorijų planavimo proceso valstybinės priežiūros informacinėje sistemoje.

Ištrauka iš Kraštovaizdžio spec. plano

Prašymas

2025-06-26

Priimtas sprendimas žemės ūkio paskirties žemės sklypo (kadastro Nr. 4110/0800:736), esančio Vilniaus r. sav., Zujūnų sen., Buivydiškių k., pagrindinės žemės naudojimo paskirties ir žemės naudojimo būdo keitimo.

Sprendimas

2025-06-25

Informuojame apie pateiktą nagrinėti prašymą dėl žemės sklypo (kad. Nr.4127/0300:254), esančio Vilniaus r. sav., Nemenčinės sen., Vilkaraisčio k. (toliau – Žemės sklypas) pagrindinės žemės naudojimo paskirties ir žemės naudojimo būdo keitimą. Prašymo tikslas: 15,0618 ha ploto žemės ūkio paskirties Žemės sklypo pagrindinės žemės naudojimo paskirties ir žemės naudojimo būdo keitimas į kitos – rekreacinės teritorijos. Su prašymu galima susipažinti nuo 2025-06-25 iki 2025-07-09 Lietuvos Respublikos teritorijų planavimo dokumentų rengimo ir teritorijų planavimo proceso valstybės priežiūros informacinėje svetainėje (TPDRIS.lt) ir Vilniaus rajono savivaldybės interneto svetainėje (vrsa.lt). Pasiūlymus dėl pagrindinės žemės naudojimo paskirties ir žemės naudojimo būdo keitimo galima teikti iki 2025-07-09 Vilniaus rajono savivaldybės administracijai (Rinktinės g. 50, Vilnius) raštu ir Lietuvos Respublikos teritorijų planavimo dokumentų rengimo ir teritorijų planavimo proceso valstybinės priežiūros informacinėje sistemoje.

Ištrauka iš Kraštovaizdžio spec. plano

Prašymas

2025-06-25

Informuojame apie pateiktą nagrinėti prašymą dėl žemės sklypo (kad. Nr.4127/0300:253), esančio Vilniaus r. sav., Nemenčinės sen., Vilkaraisčio k. (toliau – Žemės sklypas) pagrindinės žemės naudojimo paskirties ir žemės naudojimo būdo keitimą. Prašymo tikslas: 4,9442 ha ploto žemės ūkio paskirties Žemės sklypo pagrindinės žemės naudojimo paskirties ir žemės naudojimo būdo keitimas į kitos – rekreacinės teritorijos. Su prašymu galima susipažinti nuo 2025-06-25 iki 2025-07-09 Lietuvos Respublikos teritorijų planavimo dokumentų rengimo ir teritorijų planavimo proceso valstybės priežiūros informacinėje svetainėje (TPDRIS.lt) ir Vilniaus rajono savivaldybės interneto svetainėje (vrsa.lt). Pasiūlymus dėl pagrindinės žemės naudojimo paskirties ir žemės naudojimo būdo keitimo galima teikti iki 2025-07-09 Vilniaus rajono savivaldybės administracijai (Rinktinės g. 50, Vilnius) raštu ir Lietuvos Respublikos teritorijų planavimo dokumentų rengimo ir teritorijų planavimo proceso valstybinės priežiūros informacinėje sistemoje.

Ištrauka iš Kraštovaizdžio spec. plano

Prašymas

2025-06-25

Informuojame apie pateiktą nagrinėti prašymą dėl žemės sklypo (kad. Nr.4103/0200:1748), esančio Vilniaus r. sav., Avižienių sen., Avižienių k. (toliau – Žemės sklypas) pagrindinės žemės naudojimo paskirties ir žemės naudojimo būdo keitimą. Prašymo tikslas: 0,1000 ha ploto žemės ūkio paskirties Žemės sklypo pagrindinės žemės naudojimo paskirties ir žemės naudojimo būdo keitimas į kitos – vienbučių ir dvibučių gyvenamųjų pastatų teritorijos. Su prašymu galima susipažinti nuo 2025-06-25 iki 2025-07-09 Lietuvos Respublikos teritorijų planavimo dokumentų rengimo ir teritorijų planavimo proceso valstybės priežiūros informacinėje svetainėje (TPDRIS.lt) ir Vilniaus rajono savivaldybės interneto svetainėje (vrsa.lt). Pasiūlymus dėl pagrindinės žemės naudojimo paskirties ir žemės naudojimo būdo keitimo galima teikti iki 2025-07-09 Vilniaus rajono savivaldybės administracijai (Rinktinės g. 50, Vilnius) raštu ir Lietuvos Respublikos teritorijų planavimo dokumentų rengimo ir teritorijų planavimo proceso valstybinės priežiūros informacinėje sistemoje.

Ištrauka iš Vilniaus rajono savivaldybės teritorijos dalies („U“ žemės naudojimo funkcinės zonos Avižienių, Juodšilių, Nemėžio, Pagirių, Riešės, Rudaminos ir Zujūnų seniūnijose) bendrojo plano

Prašymas

2025-06-25

Informuojame apie pateiktą nagrinėti prašymą dėl žemės sklypo (kad. Nr.4172/0200:527), esančio Vilniaus r. sav., Nemenčinės sen., Vilkaraisčio k. (toliau – Žemės sklypas) pagrindinės žemės naudojimo paskirties ir žemės naudojimo būdo keitimą. Prašymo tikslas: 0,2700 ha ploto žemės ūkio paskirties Žemės sklypo pagrindinės žemės naudojimo paskirties ir žemės naudojimo būdo keitimas į kitos – vienbučių ir dvibučių gyvenamųjų pastatų teritorijos. Su prašymu galima susipažinti nuo 2025-06-25 iki 2025-07-09 Lietuvos Respublikos teritorijų planavimo dokumentų rengimo ir teritorijų planavimo proceso valstybės priežiūros informacinėje svetainėje (TPDRIS.lt) ir Vilniaus rajono savivaldybės interneto svetainėje (vrsa.lt). Pasiūlymus dėl pagrindinės žemės naudojimo paskirties ir žemės naudojimo būdo keitimo galima teikti iki 2025-07-09 Vilniaus rajono savivaldybės administracijai (Rinktinės g. 50, Vilnius) raštu ir Lietuvos Respublikos teritorijų planavimo dokumentų rengimo ir teritorijų planavimo proceso valstybinės priežiūros informacinėje sistemoje.

Ištrauka iš Kraštovaizdžio spec. plano

Prašymas

2025-06-25

Informuojame apie pateiktą nagrinėti prašymą dėl žemės sklypo (kad. Nr.4152/0100:4049), esančio Vilniaus r. sav., Mickūnų sen., Galgių k. (toliau – Žemės sklypas) pagrindinės žemės naudojimo paskirties ir žemės naudojimo būdo keitimą. Prašymo tikslas: 0,4300 ha ploto žemės ūkio paskirties Žemės sklypo pagrindinės žemės naudojimo paskirties ir žemės naudojimo būdo keitimas į kitos – komercinės paskirtės objektų teritorijos. Su prašymu galima susipažinti nuo 2025-06-25 iki 2025-07-09 Lietuvos Respublikos teritorijų planavimo dokumentų rengimo ir teritorijų planavimo proceso valstybės priežiūros informacinėje svetainėje (TPDRIS.lt) ir Vilniaus rajono savivaldybės interneto svetainėje (vrsa.lt). Pasiūlymus dėl pagrindinės žemės naudojimo paskirties ir žemės naudojimo būdo keitimo galima teikti iki 2025-07-09 Vilniaus rajono savivaldybės administracijai (Rinktinės g. 50, Vilnius) raštu ir Lietuvos Respublikos teritorijų planavimo dokumentų rengimo ir teritorijų planavimo proceso valstybinės priežiūros informacinėje sistemoje.

Ištrauka iš Kraštovaizdžio spec. plano

Prašymas

2025-06-25

Informuojame apie pateiktą nagrinėti prašymą dėl žemės sklypo (kad. Nr.4122/0200:645), esančio Vilniaus r. sav., Pagirių sen., Gudelių k. (toliau – Žemės sklypas)  žemės naudojimo būdo keitimo. Prašymo tikslas: 1,1700 ha plotokitos paskirties Žemės sklypo žemės naudojimo būdo keitimas į kitos – rekreacinės teritorijos. Su prašymu galima susipažinti nuo 2025-06-25 iki 2025-07-09 Lietuvos Respublikos teritorijų planavimo dokumentų rengimo ir teritorijų planavimo proceso valstybės priežiūros informacinėje svetainėje (TPDRIS.lt) ir Vilniaus rajono savivaldybės interneto svetainėje (vrsa.lt). Pasiūlymus dėl pagrindinės žemės naudojimo paskirties ir žemės naudojimo būdo keitimo galima teikti iki 2025-07-09 Vilniaus rajono savivaldybės administracijai (Rinktinės g. 50, Vilnius) raštu ir Lietuvos Respublikos teritorijų planavimo dokumentų rengimo ir teritorijų planavimo proceso valstybinės priežiūros informacinėje sistemoje.

Ištrauka iš Kraštovaizdžio spec. plano

Prašymas

2025-06-25

Informuojame apie pateiktą nagrinėti prašymą dėl žemės sklypo (kad. Nr.4152/1700:653), esančio Vilniaus r. sav., Mickūnų sen., Muknos k. (toliau – Žemės sklypas) pagrindinės žemės naudojimo paskirties ir žemės naudojimo būdo keitimą. Prašymo tikslas: 0,3345 ha ploto žemės ūkio paskirties Žemės sklypo pagrindinės žemės naudojimo paskirties ir žemės naudojimo būdo keitimas į kitos – rekreacinės teritorijos. Su prašymu galima susipažinti nuo 2025-06-19 iki 2025-07-04 Lietuvos Respublikos teritorijų planavimo dokumentų rengimo ir teritorijų planavimo proceso valstybės priežiūros informacinėje svetainėje (TPDRIS.lt) ir Vilniaus rajono savivaldybės interneto svetainėje (vrsa.lt). Pasiūlymus dėl pagrindinės žemės naudojimo paskirties ir žemės naudojimo būdo keitimo galima teikti iki 2025-07-04 Vilniaus rajono savivaldybės administracijai (Rinktinės g. 50, Vilnius) raštu ir Lietuvos Respublikos teritorijų planavimo dokumentų rengimo ir teritorijų planavimo proceso valstybinės priežiūros informacinėje sistemoje.

Ištrauka iš Kraštovaizdžio spec. plano

Prašymas

2025-06-19

Informuojame apie pateiktą nagrinėti prašymą dėl žemės sklypo (kad. Nr.4154/1500:65 ), esančio Vilniaus r. sav., Marijampolio sen., Rakonių k., Eugenijušo Venckovičiaus g. 9 (toliau – Žemės sklypas)  žemės naudojimo būdo keitimo. Prašymo tikslas: 1,9416 ha ploto kitos paskirties Žemės sklypo  žemės naudojimo būdo keitimas į kitos – daugiabučių gyvenamųjų pastatų ir bendrabučių teritorijos. Su prašymu galima susipažinti nuo 2025-06-19 iki 2025-07-04 Lietuvos Respublikos teritorijų planavimo dokumentų rengimo ir teritorijų planavimo proceso valstybės priežiūros informacinėje svetainėje (TPDRIS.lt) ir Vilniaus rajono savivaldybės interneto svetainėje (vrsa.lt). Pasiūlymus dėl pagrindinės žemės naudojimo paskirties ir žemės naudojimo būdo keitimo galima teikti iki 2025-07-04 Vilniaus rajono savivaldybės administracijai (Rinktinės g. 50, Vilnius) raštu ir Lietuvos Respublikos teritorijų planavimo dokumentų rengimo ir teritorijų planavimo proceso valstybinės priežiūros informacinėje sistemoje.

Ištrauka iš Kraštovaizdžio spec. plano

Prašymas

2025-06-19

Priimtas sprendimas žemės ūkio paskirties žemės sklypo (kadastro Nr. 4182/0200:562), esančio Vilniaus r. sav., Rukainių sen., Lankelių k., pagrindinės žemės naudojimo paskirties ir žemės naudojimo būdo keitimo.

Sprendimas

2025-06-19

Priimtas sprendimas žemės ūkio paskirties žemės sklypo (kadastro Nr. 4162/0400:407), esančio Vilniaus r. sav., Nemėžio sen., Skaidiškių k., Ievų g. 7, pagrindinės žemės naudojimo paskirties ir žemės naudojimo būdo keitimo.

Sprendimas

2025-06-19

Priimtas sprendimas žemės ūkio paskirties žemės sklypo (kadastro Nr. 4110/0800:464), esančio Vilniaus r. sav., Zujūnų sen., Gineitiškių k., pagrindinės žemės naudojimo paskirties ir žemės naudojimo būdo keitimo.

Sprendimas

2025-06-19

Priimtas sprendimas žemės ūkio paskirties žemės sklypo (kadastro Nr. 4112/0700:79), esančio Vilniaus r. sav., Buivydžių sen., Buivydžių I k., pagrindinės žemės naudojimo paskirties ir žemės naudojimo būdo keitimo.

Sprendimas

2025-06-19

Priimtas sprendimas žemės ūkio paskirties žemės sklypo (kadastro Nr. 4162/0100:517), esančio Vilniaus r. sav., Nemėžio sen., Nemėžio k., pagrindinės žemės naudojimo paskirties ir žemės naudojimo būdo keitimo.

Sprendimas

2025-06-19

Informuojame apie pateiktą nagrinėti prašymą dėl žemės sklypo (kad. Nr.4103/0200:1565), esančio Vilniaus r. sav., Avižienių sen., Užubalių k. (toliau – Žemės sklypas) pagrindinės žemės naudojimo paskirties ir žemės naudojimo būdo keitimą. Prašymo tikslas: 0,2200 ha ploto žemės ūkio paskirties Žemės sklypo pagrindinės žemės naudojimo paskirties ir žemės naudojimo būdo keitimas į kitos – komercinės paskirtės objektų teritorijos. Su prašymu galima susipažinti nuo 2025-06-18 iki 2025-07-03 Lietuvos Respublikos teritorijų planavimo dokumentų rengimo ir teritorijų planavimo proceso valstybės priežiūros informacinėje svetainėje (TPDRIS.lt) ir Vilniaus rajono savivaldybės interneto svetainėje (vrsa.lt). Pasiūlymus dėl pagrindinės žemės naudojimo paskirties ir žemės naudojimo būdo keitimo galima teikti iki 2025-07-03 Vilniaus rajono savivaldybės administracijai (Rinktinės g. 50, Vilnius) raštu ir Lietuvos Respublikos teritorijų planavimo dokumentų rengimo ir teritorijų planavimo proceso valstybinės priežiūros informacinėje sistemoje.

Ištrauka iš Vilniaus rajono savivaldybės teritorijos dalies („U“ žemės naudojimo funkcinės zonos Avižienių, Juodšilių, Nemėžio, Pagirių, Riešės, Rudaminos ir Zujūnų seniūnijose) bendrojo plano

Prašymas

2025-06-18

Informuojame apie pateiktą nagrinėti prašymą dėl žemės sklypo (kad. Nr.4103/0200:1564), esančio Vilniaus r. sav., Avižienių sen., Užubalių k. (toliau – Žemės sklypas) pagrindinės žemės naudojimo paskirties ir žemės naudojimo būdo keitimą. Prašymo tikslas: 0,2000 ha ploto žemės ūkio paskirties Žemės sklypo pagrindinės žemės naudojimo paskirties ir žemės naudojimo būdo keitimas į kitos – komercinės paskirtės objektų teritorijos. Su prašymu galima susipažinti nuo 2025-06-18 iki 2025-07-03 Lietuvos Respublikos teritorijų planavimo dokumentų rengimo ir teritorijų planavimo proceso valstybės priežiūros informacinėje svetainėje (TPDRIS.lt) ir Vilniaus rajono savivaldybės interneto svetainėje (vrsa.lt). Pasiūlymus dėl pagrindinės žemės naudojimo paskirties ir žemės naudojimo būdo keitimo galima teikti iki 2025-07-03 Vilniaus rajono savivaldybės administracijai (Rinktinės g. 50, Vilnius) raštu ir Lietuvos Respublikos teritorijų planavimo dokumentų rengimo ir teritorijų planavimo proceso valstybinės priežiūros informacinėje sistemoje.

Ištrauka iš Vilniaus rajono savivaldybės teritorijos dalies („U“ žemės naudojimo funkcinės zonos Avižienių, Juodšilių, Nemėžio, Pagirių, Riešės, Rudaminos ir Zujūnų seniūnijose) bendrojo plano

Prašymas

2025-06-18

Informuojame apie pateiktą nagrinėti prašymą dėl žemės sklypo (kad. Nr.4124/0100:133), esančio Vilniaus r. sav., Dūkštų sen., Buivydų k. (toliau – Žemės sklypas) pagrindinės žemės naudojimo paskirties ir žemės naudojimo būdo keitimą. Prašymo tikslas: 0,2700 ha ploto žemės ūkio paskirties Žemės sklypo pagrindinės žemės naudojimo paskirties ir žemės naudojimo būdo keitimas į kitos – vienbučių ir dvibučių gyvenamųjų pastatų teritorijos. Su prašymu galima susipažinti nuo 2025-06-18 iki 2025-07-03 Lietuvos Respublikos teritorijų planavimo dokumentų rengimo ir teritorijų planavimo proceso valstybės priežiūros informacinėje svetainėje (TPDRIS.lt) ir Vilniaus rajono savivaldybės interneto svetainėje (vrsa.lt). Pasiūlymus dėl pagrindinės žemės naudojimo paskirties ir žemės naudojimo būdo keitimo galima teikti iki 2025-07-03 Vilniaus rajono savivaldybės administracijai (Rinktinės g. 50, Vilnius) raštu ir Lietuvos Respublikos teritorijų planavimo dokumentų rengimo ir teritorijų planavimo proceso valstybinės priežiūros informacinėje sistemoje.

Ištrauka iš Kraštovaizdžio spec. plano

Prašymas

2025-06-18

Informuojame apie pateiktą nagrinėti prašymą dėl žemės sklypo (kad. Nr.4172/0300:430), esančio Vilniaus r. sav., Nemenčinės sen., Unėniškių k. (toliau – Žemės sklypas) pagrindinės žemės naudojimo paskirties ir žemės naudojimo būdo keitimą. Prašymo tikslas: 0,4202 ha ploto žemės ūkio paskirties Žemės sklypo pagrindinės žemės naudojimo paskirties ir žemės naudojimo būdo keitimas į kitos – vienbučių ir dvibučių gyvenamųjų pastatų teritorijos. Su prašymu galima susipažinti nuo 2025-06-18 iki 2025-07-03 Lietuvos Respublikos teritorijų planavimo dokumentų rengimo ir teritorijų planavimo proceso valstybės priežiūros informacinėje svetainėje (TPDRIS.lt) ir Vilniaus rajono savivaldybės interneto svetainėje (vrsa.lt). Pasiūlymus dėl pagrindinės žemės naudojimo paskirties ir žemės naudojimo būdo keitimo galima teikti iki 2025-07-03 Vilniaus rajono savivaldybės administracijai (Rinktinės g. 50, Vilnius) raštu ir Lietuvos Respublikos teritorijų planavimo dokumentų rengimo ir teritorijų planavimo proceso valstybinės priežiūros informacinėje sistemoje.

Ištrauka iš Kraštovaizdžio spec. plano

Prašymas

2025-06-18

Informuojame apie pateiktą nagrinėti prašymą dėl žemės sklypo (kad. Nr.4160/0100:274), esančio Vilniaus r. sav., Nemenčinė, Vilniaus g. 52 (toliau – Žemės sklypas) pagrindinės žemės naudojimo paskirties ir žemės naudojimo būdo keitimą. Prašymo tikslas: 0,2099 ha ploto žemės ūkio paskirties Žemės sklypo pagrindinės žemės naudojimo paskirties ir žemės naudojimo būdo keitimas į kitos – daugiabučių gyvenamųjų pastatų ir bendrabučių teritorijos. Su prašymu galima susipažinti nuo 2025-06-18 iki 2025-07-03 Lietuvos Respublikos teritorijų planavimo dokumentų rengimo ir teritorijų planavimo proceso valstybės priežiūros informacinėje svetainėje (TPDRIS.lt) ir Vilniaus rajono savivaldybės interneto svetainėje (vrsa.lt). Pasiūlymus dėl pagrindinės žemės naudojimo paskirties ir žemės naudojimo būdo keitimo galima teikti iki 2025-07-03 Vilniaus rajono savivaldybės administracijai (Rinktinės g. 50, Vilnius) raštu ir Lietuvos Respublikos teritorijų planavimo dokumentų rengimo ir teritorijų planavimo proceso valstybinės priežiūros informacinėje sistemoje.

Ištrauka iš Kraštovaizdžio spec. plano

Prašymas

2025-06-18

Informuojame apie pateiktą nagrinėti prašymą dėl žemės sklypo (kad. Nr.4134/0100:95), esančio Vilniaus r. sav., Paberžės sen., Glitiškių k. (toliau – Žemės sklypas) pagrindinės žemės naudojimo paskirties ir žemės naudojimo būdo keitimą. Prašymo tikslas: 0,1267 ha ploto žemės ūkio paskirties Žemės sklypo pagrindinės žemės naudojimo paskirties ir žemės naudojimo būdo keitimas į kitos – vienbučių ir dvibučių gyvenamųjų pastatų teritorijos. Su prašymu galima susipažinti nuo 2025-06-17 iki 2025-07-02 Lietuvos Respublikos teritorijų planavimo dokumentų rengimo ir teritorijų planavimo proceso valstybės priežiūros informacinėje svetainėje (TPDRIS.lt) ir Vilniaus rajono savivaldybės interneto svetainėje (vrsa.lt). Pasiūlymus dėl pagrindinės žemės naudojimo paskirties ir žemės naudojimo būdo keitimo galima teikti iki 2025-07-02 Vilniaus rajono savivaldybės administracijai (Rinktinės g. 50, Vilnius) raštu ir Lietuvos Respublikos teritorijų planavimo dokumentų rengimo ir teritorijų planavimo proceso valstybinės priežiūros informacinėje sistemoje.

Ištrauka iš Kraštovaizdžio spec. plano

Prašymas

2025-06-17

Priimtas sprendimas kitos paskirties žemės sklypo (kadastro Nr. 4184/0100:1201), esančio Vilniaus r. sav., Sudervės sen., Buiniškių k., Klevinų g. 2, žemės naudojimo būdo keitimo.

Sprendimas

2025-06-17

Priimtas sprendimas žemės ūkio paskirties žemės sklypo (kadastro Nr. 4154/2900:155), esančio Vilniaus r. sav., Marijampolio sen., Terešiškių k., ., pagrindinės žemės naudojimo paskirties ir žemės naudojimo būdo keitimo.

Sprendimas

2025-06-17

Informuojame apie pateiktą nagrinėti prašymą dėl žemės sklypo (kad. Nr.4167/0300:85), esančio Vilniaus r. sav., Pagirių sen., Keturiasdešimt Totorių k., Vytauto g. 8 (toliau – Žemės sklypas) pagrindinės žemės naudojimo paskirties ir žemės naudojimo būdo keitimą. Prašymo tikslas: 0,2850 ha ploto žemės ūkio paskirties Žemės sklypo pagrindinės žemės naudojimo paskirties ir žemės naudojimo būdo keitimas į kitos – vienbučių ir dvibučių gyvenamųjų pastatų teritorijos. Su prašymu galima susipažinti nuo 2025-06-12 iki 2025-06-27 Lietuvos Respublikos teritorijų planavimo dokumentų rengimo ir teritorijų planavimo proceso valstybės priežiūros informacinėje svetainėje (TPDRIS.lt) ir Vilniaus rajono savivaldybės interneto svetainėje (vrsa.lt). Pasiūlymus dėl pagrindinės žemės naudojimo paskirties ir žemės naudojimo būdo keitimo galima teikti iki 2025-06-27 Vilniaus rajono savivaldybės administracijai (Rinktinės g. 50, Vilnius) raštu ir Lietuvos Respublikos teritorijų planavimo dokumentų rengimo ir teritorijų planavimo proceso valstybinės priežiūros informacinėje sistemoje.

Ištrauka iš Kraštovaizdžio spec. plano

Prašymas

2025-06-12

Informuojame apie pateiktą nagrinėti prašymą dėl žemės sklypo (kad. Nr.4152/0800:385), esančio Vilniaus r. sav., Mickūnų sen., Mickūnų mst. (toliau – Žemės sklypas) pagrindinės žemės naudojimo paskirties ir žemės naudojimo būdo keitimą. Prašymo tikslas: 0,1000 ha ploto žemės ūkio paskirties Žemės sklypo pagrindinės žemės naudojimo paskirties ir žemės naudojimo būdo keitimas į kitos – vienbučių ir dvibučių gyvenamųjų pastatų teritorijos. Su prašymu galima susipažinti nuo 2025-06-12 iki 2025-06-27 Lietuvos Respublikos teritorijų planavimo dokumentų rengimo ir teritorijų planavimo proceso valstybės priežiūros informacinėje svetainėje (TPDRIS.lt) ir Vilniaus rajono savivaldybės interneto svetainėje (vrsa.lt). Pasiūlymus dėl pagrindinės žemės naudojimo paskirties ir žemės naudojimo būdo keitimo galima teikti iki 2025-06-27 Vilniaus rajono savivaldybės administracijai (Rinktinės g. 50, Vilnius) raštu ir Lietuvos Respublikos teritorijų planavimo dokumentų rengimo ir teritorijų planavimo proceso valstybinės priežiūros informacinėje sistemoje.

Ištrauka iš Kraštovaizdžio spec. plano

Prašymas

2025-06-12

Informuojame apie pateiktą nagrinėti prašymą dėl žemės sklypo (kad. Nr.4167/0100:3), esančio Vilniaus r. sav., Pagirių sen., Vaidotų k., Krantinės g. 11D (toliau – Žemės sklypas)  žemės naudojimo būdo keitimo. Prašymo tikslas: 0,1559 ha ploto kitos paskirties Žemės sklypo  žemės naudojimo būdo keitimas į kitos – daugiabučių gyvenamųjų pastatų ir bendrabučių teritorijos. Su prašymu galima susipažinti nuo 2025-06-11 iki 2025-06-26 Lietuvos Respublikos teritorijų planavimo dokumentų rengimo ir teritorijų planavimo proceso valstybės priežiūros informacinėje svetainėje (TPDRIS.lt) ir Vilniaus rajono savivaldybės interneto svetainėje (vrsa.lt). Pasiūlymus dėl pagrindinės žemės naudojimo paskirties ir žemės naudojimo būdo keitimo galima teikti iki 2025-06-26 Vilniaus rajono savivaldybės administracijai (Rinktinės g. 50, Vilnius) raštu ir Lietuvos Respublikos teritorijų planavimo dokumentų rengimo ir teritorijų planavimo proceso valstybinės priežiūros informacinėje sistemoje.

Ištrauka iš Vilniaus rajono savivaldybės teritorijos dalies („U“ žemės naudojimo funkcinės zonos Avižienių, Juodšilių, Nemėžio, Pagirių, Riešės, Rudaminos ir Zujūnų seniūnijose) bendrojo plano

Prašymas

2025-06-11

Informuojame apie pateiktą nagrinėti prašymą dėl žemės sklypo (kad. Nr.4152/1700:738), esančio Vilniaus r. sav., Mickūnų sen., Mickūnų mst. (toliau – Žemės sklypas) pagrindinės žemės naudojimo paskirties ir žemės naudojimo būdo keitimą. Prašymo tikslas: 0,1238 ha ploto žemės ūkio paskirties Žemės sklypo pagrindinės žemės naudojimo paskirties ir žemės naudojimo būdo keitimas į kitos – vienbučių ir dvibučių gyvenamųjų pastatų teritorijos. Su prašymu galima susipažinti nuo 2025-06-11 iki 2025-06-26 Lietuvos Respublikos teritorijų planavimo dokumentų rengimo ir teritorijų planavimo proceso valstybės priežiūros informacinėje svetainėje (TPDRIS.lt) ir Vilniaus rajono savivaldybės interneto svetainėje (vrsa.lt). Pasiūlymus dėl pagrindinės žemės naudojimo paskirties ir žemės naudojimo būdo keitimo galima teikti iki 2025-06-26 Vilniaus rajono savivaldybės administracijai (Rinktinės g. 50, Vilnius) raštu ir Lietuvos Respublikos teritorijų planavimo dokumentų rengimo ir teritorijų planavimo proceso valstybinės priežiūros informacinėje sistemoje.

Ištrauka iš Kraštovaizdžio spec. plano

Prašymas

2025-06-11

Priimtas sprendimas žemės ūkio paskirties žemės sklypo (kadastro Nr. 4103/0100:1909), esančio Vilniaus r. sav., Avižienių sen., Švedų k., pagrindinės žemės naudojimo paskirties ir žemės naudojimo būdo keitimo.

Sprendimas

2025-06-11

Priimtas sprendimas žemės sklypo (kadastro Nr. 4152/1600:657), esančio Vilniaus r. sav., Mickūnų sen., Mickūnų mstl, pagrindinės žemės naudojimo paskirties ir žemės naudojimo būdo keitimo.

Sprendimas

2025-06-05

Priimtas sprendimas žemės ūkio paskirties žemės sklypo (kadastro Nr. 4103/0100:1909), esančio Vilniaus r. sav., Avižienių sen., Švedų k, pagrindinės žemės naudojimo paskirties ir žemės naudojimo būdo keitimo.

Sprendimas

2025-06-05

Informuojame apie pateiktą nagrinėti prašymą dėl žemės sklypo (kad. Nr.4177/0200:971), esančio Vilniaus r. sav., Rudaminos sen., Rudaminos k. (toliau – Žemės sklypas) pagrindinės žemės naudojimo paskirties ir žemės naudojimo būdo keitimą. Prašymo tikslas: 0,0900 ha ploto žemės ūkio paskirties Žemės sklypo pagrindinės žemės naudojimo paskirties ir žemės naudojimo būdo keitimas į kitos – vienbučių ir dvibučių gyvenamųjų pastatų teritorijos. Su prašymu galima susipažinti nuo 2025-06-05 iki 2025-06-19 Lietuvos Respublikos teritorijų planavimo dokumentų rengimo ir teritorijų planavimo proceso valstybės priežiūros informacinėje svetainėje (TPDRIS.lt) ir Vilniaus rajono savivaldybės interneto svetainėje (vrsa.lt). Pasiūlymus dėl pagrindinės žemės naudojimo paskirties ir žemės naudojimo būdo keitimo galima teikti iki 2025-06-19 Vilniaus rajono savivaldybės administracijai (Rinktinės g. 50, Vilnius) raštu ir Lietuvos Respublikos teritorijų planavimo dokumentų rengimo ir teritorijų planavimo proceso valstybinės priežiūros informacinėje sistemoje.

Ištrauka iš Vilniaus rajono savivaldybės teritorijos dalies („U“ žemės naudojimo funkcinės zonos Avižienių, Juodšilių, Nemėžio, Pagirių, Riešės, Rudaminos ir Zujūnų seniūnijose) bendrojo plano

Prašymas

2025-06-05

Informuojame apie pateiktą nagrinėti prašymą dėl žemės sklypo (kad. Nr.4177/0200:1116), esančio Vilniaus r. sav., Rudaminos sen., Rudaminos k. (toliau – Žemės sklypas) pagrindinės žemės naudojimo paskirties ir žemės naudojimo būdo keitimą. Prašymo tikslas: 0,5282 ha ploto žemės ūkio paskirties Žemės sklypo pagrindinės žemės naudojimo paskirties ir žemės naudojimo būdo keitimas į kitos – komercinės paskirtės objektų teritorijos. Su prašymu galima susipažinti nuo 2025-06-05 iki 2025-06-19 Lietuvos Respublikos teritorijų planavimo dokumentų rengimo ir teritorijų planavimo proceso valstybės priežiūros informacinėje svetainėje (TPDRIS.lt) ir Vilniaus rajono savivaldybės interneto svetainėje (vrsa.lt). Pasiūlymus dėl pagrindinės žemės naudojimo paskirties ir žemės naudojimo būdo keitimo galima teikti iki 2025-06-19 Vilniaus rajono savivaldybės administracijai (Rinktinės g. 50, Vilnius) raštu ir Lietuvos Respublikos teritorijų planavimo dokumentų rengimo ir teritorijų planavimo proceso valstybinės priežiūros informacinėje sistemoje.

Ištrauka iš Vilniaus rajono savivaldybės teritorijos dalies („U“ žemės naudojimo funkcinės zonos Avižienių, Juodšilių, Nemėžio, Pagirių, Riešės, Rudaminos ir Zujūnų seniūnijose) bendrojo plano

Prašymas

2025-06-05

Informuojame apie pateiktą nagrinėti prašymą dėl žemės sklypo (kad. Nr.4103/0300:2001), esančio Vilniaus r. sav., Avižienių sen., Bukiškio k., Mokyklos g. 1 (toliau – Žemės sklypas) papildomo žemės naudojimo būdo nustatymo. Prašymo tikslas: 6,8988 ha ploto kitos paskirties Žemės sklypo žemės naudojimo būdo nustatymo kitos – daugiabučių gyvenamųjų pastatų ir bendrabučių teritorijos. Su prašymu galima susipažinti nuo 2025-06-05 iki 2025-06-19 Lietuvos Respublikos teritorijų planavimo dokumentų rengimo ir teritorijų planavimo proceso valstybės priežiūros informacinėje svetainėje (TPDRIS.lt) ir Vilniaus rajono savivaldybės interneto svetainėje (vrsa.lt). Pasiūlymus dėl pagrindinės žemės naudojimo paskirties ir žemės naudojimo būdo keitimo galima teikti iki 2025-06-19 Vilniaus rajono savivaldybės administracijai (Rinktinės g. 50, Vilnius) raštu ir Lietuvos Respublikos teritorijų planavimo dokumentų rengimo ir teritorijų planavimo proceso valstybinės priežiūros informacinėje sistemoje.

Ištrauka iš Vilniaus rajono savivaldybės teritorijos dalies („U“ žemės naudojimo funkcinės zonos Avižienių, Juodšilių, Nemėžio, Pagirių, Riešės, Rudaminos ir Zujūnų seniūnijose) bendrojo plano

Prašymas

2025-06-05

Informuojame apie pateiktą nagrinėti prašymą dėl žemės sklypo (kad. Nr.4110/0700:842), esančio Vilniaus r. sav., Zujūnų sen., Geležių k., Smėlio g. 7A (toliau – Žemės sklypas) pagrindinės žemės naudojimo paskirties ir žemės naudojimo būdo keitimą. Prašymo tikslas: 0,5187 ha ploto žemės ūkio paskirties Žemės sklypo pagrindinės žemės naudojimo paskirties ir žemės naudojimo būdo keitimas į kitos – vienbučių ir dvibučių gyvenamųjų pastatų teritorijos. Su prašymu galima susipažinti nuo 2025-06-04 iki 2025-06-18 Lietuvos Respublikos teritorijų planavimo dokumentų rengimo ir teritorijų planavimo proceso valstybės priežiūros informacinėje svetainėje (TPDRIS.lt) ir Vilniaus rajono savivaldybės interneto svetainėje (vrsa.lt). Pasiūlymus dėl pagrindinės žemės naudojimo paskirties ir žemės naudojimo būdo keitimo galima teikti iki 2025-06-18 Vilniaus rajono savivaldybės administracijai (Rinktinės g. 50, Vilnius) raštu ir Lietuvos Respublikos teritorijų planavimo dokumentų rengimo ir teritorijų planavimo proceso valstybinės priežiūros informacinėje sistemoje.

Ištrauka iš Vilniaus rajono savivaldybės teritorijos dalies („U“ žemės naudojimo funkcinės zonos Avižienių, Juodšilių, Nemėžio, Pagirių, Riešės, Rudaminos ir Zujūnų seniūnijose) bendrojo plano

Prašymas

2025-06-04

Informuojame apie pateiktą nagrinėti prašymą dėl žemės sklypo (kad. Nr.4162/0400:408), esančio Vilniaus r. sav., Nemėžio sen., Skaidiškių k. (toliau – Žemės sklypas) pagrindinės žemės naudojimo paskirties ir žemės naudojimo būdo keitimą. Prašymo tikslas: 0,2535 ha ploto žemės ūkio paskirties Žemės sklypo pagrindinės žemės naudojimo paskirties ir žemės naudojimo būdo keitimas į kitos – vienbučių ir dvibučių gyvenamųjų pastatų teritorijos. Su prašymu galima susipažinti nuo 2025-06-04 iki 2025-06-18 Lietuvos Respublikos teritorijų planavimo dokumentų rengimo ir teritorijų planavimo proceso valstybės priežiūros informacinėje svetainėje (TPDRIS.lt) ir Vilniaus rajono savivaldybės interneto svetainėje (vrsa.lt). Pasiūlymus dėl pagrindinės žemės naudojimo paskirties ir žemės naudojimo būdo keitimo galima teikti iki 2025-06-18 Vilniaus rajono savivaldybės administracijai (Rinktinės g. 50, Vilnius) raštu ir Lietuvos Respublikos teritorijų planavimo dokumentų rengimo ir teritorijų planavimo proceso valstybinės priežiūros informacinėje sistemoje.

Ištrauka iš Vilniaus rajono savivaldybės teritorijos dalies („U“ žemės naudojimo funkcinės zonos Avižienių, Juodšilių, Nemėžio, Pagirių, Riešės, Rudaminos ir Zujūnų seniūnijose) bendrojo plano

Prašymas

2025-06-04

Informuojame apie pateiktą nagrinėti prašymą dėl žemės sklypo (kad. Nr.4152/0400:55), esančio Vilniaus r. sav., Mickūnų sen., Kairėnų k. (toliau – Žemės sklypas) pagrindinės žemės naudojimo paskirties ir žemės naudojimo būdo keitimą. Prašymo tikslas: 0,3000 ha ploto žemės ūkio paskirties Žemės sklypo pagrindinės žemės naudojimo paskirties ir žemės naudojimo būdo keitimas į kitos – vienbučių ir dvibučių gyvenamųjų pastatų teritorijos. Su prašymu galima susipažinti nuo 2025-06-04 iki 2025-06-18 Lietuvos Respublikos teritorijų planavimo dokumentų rengimo ir teritorijų planavimo proceso valstybės priežiūros informacinėje svetainėje (TPDRIS.lt) ir Vilniaus rajono savivaldybės interneto svetainėje (vrsa.lt). Pasiūlymus dėl pagrindinės žemės naudojimo paskirties ir žemės naudojimo būdo keitimo galima teikti iki 2025-06-18 Vilniaus rajono savivaldybės administracijai (Rinktinės g. 50, Vilnius) raštu ir Lietuvos Respublikos teritorijų planavimo dokumentų rengimo ir teritorijų planavimo proceso valstybinės priežiūros informacinėje sistemoje.

Ištrauka iš Kraštovaizdžio spec. plano

Prašymas

2025-06-04

Informuojame apie pateiktą nagrinėti prašymą dėl žemės sklypo (kad. Nr.4112/0700:78), esančio Vilniaus r. sav., Buivydžių sen., Buivydžių I k. (toliau – Žemės sklypas) pagrindinės žemės naudojimo paskirties ir žemės naudojimo būdo keitimą. Prašymo tikslas: 0,3257 ha ploto žemės ūkio paskirties Žemės sklypo pagrindinės žemės naudojimo paskirties ir žemės naudojimo būdo keitimas į kitos – vienbučių ir dvibučių gyvenamųjų pastatų teritorijos. Su prašymu galima susipažinti nuo 2025-05-29 iki 2025-06-12 Lietuvos Respublikos teritorijų planavimo dokumentų rengimo ir teritorijų planavimo proceso valstybės priežiūros informacinėje svetainėje (TPDRIS.lt) ir Vilniaus rajono savivaldybės interneto svetainėje (vrsa.lt). Pasiūlymus dėl pagrindinės žemės naudojimo paskirties ir žemės naudojimo būdo keitimo galima teikti iki 2025-06-12 Vilniaus rajono savivaldybės administracijai (Rinktinės g. 50, Vilnius) raštu ir Lietuvos Respublikos teritorijų planavimo dokumentų rengimo ir teritorijų planavimo proceso valstybinės priežiūros informacinėje sistemoje.

Ištrauka iš Kraštovaizdžio spec. plano

Prašymas

2025-05-29

Informuojame apie pateiktą nagrinėti prašymą dėl žemės sklypo (kad. Nr. 4154/2000:626 ), esančio Vilniaus r. sav., Marijampolio sen., Marijampolio k., Savivaldybių g. 50 (toliau – Žemės sklypas) žemės naudojimo būdo keitimą. Prašymo tikslas: 2,7700 ha ploto kitos paskirties Žemės sklypo  žemės naudojimo būdo keitimas į kitos – Daugiabučių gyvenamųjų pastatų ir bendrabučių teritorijos. Su prašymu galima susipažinti nuo 2025-05-28 iki 2025-06-11 Lietuvos Respublikos teritorijų planavimo dokumentų rengimo ir teritorijų planavimo proceso valstybės priežiūros informacinėje svetainėje (TPDRIS.lt) ir Vilniaus rajono savivaldybės interneto svetainėje (vrsa.lt). Pasiūlymus dėl pagrindinės žemės naudojimo paskirties ir žemės naudojimo būdo keitimo galima teikti iki 2025-06-11 Vilniaus rajono savivaldybės administracijai (Rinktinės g. 50, Vilnius) raštu ir Lietuvos Respublikos teritorijų planavimo dokumentų rengimo ir teritorijų planavimo proceso valstybinės priežiūros informacinėje sistemoje.

Ištrauka iš Kraštovaizdžio spec. plano

Prašymas

2025-05-28

Informuojame apie pateiktą nagrinėti prašymą dėl žemės sklypo (kad. Nr.4162/0100:3718 ), esančio Vilniaus r. sav., Nemėžio sen., Nemėžio k., Baltarusių g. 2 (toliau – Žemės sklypas) žemės naudojimo būdo keitimą. Prašymo tikslas: 0,2348 ha ploto kitos paskirties Žemės sklypo  žemės naudojimo būdo keitimas į kitos – pramonės ir sandėliavimo objektų teritorijos. Su prašymu galima susipažinti nuo 2025-05-28 iki 2025-06-11 Lietuvos Respublikos teritorijų planavimo dokumentų rengimo ir teritorijų planavimo proceso valstybės priežiūros informacinėje svetainėje (TPDRIS.lt) ir Vilniaus rajono savivaldybės interneto svetainėje (vrsa.lt). Pasiūlymus dėl pagrindinės žemės naudojimo paskirties ir žemės naudojimo būdo keitimo galima teikti iki 2025-06-11 Vilniaus rajono savivaldybės administracijai (Rinktinės g. 50, Vilnius) raštu ir Lietuvos Respublikos teritorijų planavimo dokumentų rengimo ir teritorijų planavimo proceso valstybinės priežiūros informacinėje sistemoje.

Ištrauka iš Vilniaus rajono savivaldybės teritorijos dalies („U“ žemės naudojimo funkcinės zonos Avižienių, Juodšilių, Nemėžio, Pagirių, Riešės, Rudaminos ir Zujūnų seniūnijose) bendrojo plano

Prašymas

2025-05-28

Informuojame apie pateiktą nagrinėti prašymą dėl žemės sklypo (kad. Nr.4110/0800:736), esančio Vilniaus r. sav., Zujūnų sen., Buivydiškių k. (toliau – Žemės sklypas) pagrindinės žemės naudojimo paskirties ir žemės naudojimo būdo keitimą. Prašymo tikslas: 0,0670 ha ploto žemės ūkio paskirties Žemės sklypo pagrindinės žemės naudojimo paskirties ir žemės naudojimo būdo keitimas į kitos – rekreacinės teritorijos. Su prašymu galima susipažinti nuo 2025-05-28 iki 2025-06-11 Lietuvos Respublikos teritorijų planavimo dokumentų rengimo ir teritorijų planavimo proceso valstybės priežiūros informacinėje svetainėje (TPDRIS.lt) ir Vilniaus rajono savivaldybės interneto svetainėje (vrsa.lt). Pasiūlymus dėl pagrindinės žemės naudojimo paskirties ir žemės naudojimo būdo keitimo galima teikti iki 2025-06-11 Vilniaus rajono savivaldybės administracijai (Rinktinės g. 50, Vilnius) raštu ir Lietuvos Respublikos teritorijų planavimo dokumentų rengimo ir teritorijų planavimo proceso valstybinės priežiūros informacinėje sistemoje.

Ištrauka iš Vilniaus rajono savivaldybės teritorijos dalies („U“ žemės naudojimo funkcinės zonos Avižienių, Juodšilių, Nemėžio, Pagirių, Riešės, Rudaminos ir Zujūnų seniūnijose) bendrojo plano

Prašymas

2025-05-28

Informuojame apie pateiktą nagrinėti prašymą dėl žemės sklypo (kad. Nr.4130/0300:645), esančio Vilniaus r. sav., Dūkštų sen., Geisiškių k. (toliau – Žemės sklypas) pagrindinės žemės naudojimo paskirties ir žemės naudojimo būdo keitimą. Prašymo tikslas: 0,6300 ha ploto žemės ūkio paskirties Žemės sklypo pagrindinės žemės naudojimo paskirties ir žemės naudojimo būdo keitimas į kitos – vienbučių ir dvibučių gyvenamųjų pastatų teritorijos. Su prašymu galima susipažinti nuo 2025-05-28 iki 2025-06-11 Lietuvos Respublikos teritorijų planavimo dokumentų rengimo ir teritorijų planavimo proceso valstybės priežiūros informacinėje svetainėje (TPDRIS.lt) ir Vilniaus rajono savivaldybės interneto svetainėje (vrsa.lt). Pasiūlymus dėl pagrindinės žemės naudojimo paskirties ir žemės naudojimo būdo keitimo galima teikti iki 2025-06-11 Vilniaus rajono savivaldybės administracijai (Rinktinės g. 50, Vilnius) raštu ir Lietuvos Respublikos teritorijų planavimo dokumentų rengimo ir teritorijų planavimo proceso valstybinės priežiūros informacinėje sistemoje.

Ištrauka iš Kraštovaizdžio spec. plano

Prašymas

2025-05-28

Informuojame apie pateiktą nagrinėti prašymą dėl žemės sklypo (kad. Nr.4182/0200:562), esančio Vilniaus r. sav., Rukainių sen., Lankelių k. (toliau – Žemės sklypas) pagrindinės žemės naudojimo paskirties ir žemės naudojimo būdo keitimą. Prašymo tikslas: 4.8469 ha ploto žemės ūkio paskirties Žemės sklypo pagrindinės žemės naudojimo paskirties ir žemės naudojimo būdo keitimas į miško ūkio paskirties - ūkinių miškų sklypai. Su prašymu galima susipažinti nuo 2025-05-28 iki 2025-06-11 Lietuvos Respublikos teritorijų planavimo dokumentų rengimo ir teritorijų planavimo proceso valstybės priežiūros informacinėje svetainėje (TPDRIS.lt) ir Vilniaus rajono savivaldybės interneto svetainėje (vrsa.lt). Pasiūlymus dėl pagrindinės žemės naudojimo paskirties ir žemės naudojimo būdo keitimo galima teikti iki 2025-06-11 Vilniaus rajono savivaldybės administracijai (Rinktinės g. 50, Vilnius) raštu ir Lietuvos Respublikos teritorijų planavimo dokumentų rengimo ir teritorijų planavimo proceso valstybinės priežiūros informacinėje sistemoje.

Ištrauka iš Kraštovaizdžio spec. plano

Prašymas

2025-05-28

Informuojame apie pateiktą nagrinėti prašymą dėl žemės sklypo (kad. Nr.4152/0100:548), esančio Vilniaus r. sav., Mickūnų sen., Galgių k. (toliau – Žemės sklypas) pagrindinės žemės naudojimo paskirties ir žemės naudojimo būdo keitimą. Prašymo tikslas: 0,4049 ha ploto žemės ūkio paskirties Žemės sklypo pagrindinės žemės naudojimo paskirties ir žemės naudojimo būdo keitimas į kitos – vienbučių ir dvibučių gyvenamųjų pastatų teritorijos. Su prašymu galima susipažinti nuo 2025-05-28 iki 2025-06-11 Lietuvos Respublikos teritorijų planavimo dokumentų rengimo ir teritorijų planavimo proceso valstybės priežiūros informacinėje svetainėje (TPDRIS.lt) ir Vilniaus rajono savivaldybės interneto svetainėje (vrsa.lt). Pasiūlymus dėl pagrindinės žemės naudojimo paskirties ir žemės naudojimo būdo keitimo galima teikti iki 2025-06-11 Vilniaus rajono savivaldybės administracijai (Rinktinės g. 50, Vilnius) raštu ir Lietuvos Respublikos teritorijų planavimo dokumentų rengimo ir teritorijų planavimo proceso valstybinės priežiūros informacinėje sistemoje.

Ištrauka iš Kraštovaizdžio spec. plano

Prašymas

2025-05-28

Informuojame apie pateiktą nagrinėti prašymą dėl žemės sklypo (kad. Nr.4152/0100:549), esančio Vilniaus r. sav., Mickūnų sen., Galgių k. (toliau – Žemės sklypas) pagrindinės žemės naudojimo paskirties ir žemės naudojimo būdo keitimą. Prašymo tikslas: 0,9600 ha ploto žemės ūkio paskirties Žemės sklypo pagrindinės žemės naudojimo paskirties ir žemės naudojimo būdo keitimas į kitos – vienbučių ir dvibučių gyvenamųjų pastatų teritorijos. Su prašymu galima susipažinti nuo 2025-05-28 iki 2025-06-11 Lietuvos Respublikos teritorijų planavimo dokumentų rengimo ir teritorijų planavimo proceso valstybės priežiūros informacinėje svetainėje (TPDRIS.lt) ir Vilniaus rajono savivaldybės interneto svetainėje (vrsa.lt). Pasiūlymus dėl pagrindinės žemės naudojimo paskirties ir žemės naudojimo būdo keitimo galima teikti iki 2025-06-11 Vilniaus rajono savivaldybės administracijai (Rinktinės g. 50, Vilnius) raštu ir Lietuvos Respublikos teritorijų planavimo dokumentų rengimo ir teritorijų planavimo proceso valstybinės priežiūros informacinėje sistemoje.

Ištrauka iš Kraštovaizdžio spec. plano

Prašymas

2025-05-28

Informuojame apie pateiktą nagrinėti prašymą dėl žemės sklypo (kad. Nr.4162/0400:407), esančio Vilniaus r. sav., Nemėžio sen., Skaidiškių k., Ievų g. 7 (toliau – Žemės sklypas) pagrindinės žemės naudojimo paskirties ir žemės naudojimo būdo keitimą. Prašymo tikslas: 0,4637 ha ploto žemės ūkio paskirties Žemės sklypo pagrindinės žemės naudojimo paskirties ir žemės naudojimo būdo keitimas į kitos – vienbučių ir dvibučių gyvenamųjų pastatų teritorijos. Su prašymu galima susipažinti nuo 2025-05-28 iki 2025-06-11 Lietuvos Respublikos teritorijų planavimo dokumentų rengimo ir teritorijų planavimo proceso valstybės priežiūros informacinėje svetainėje (TPDRIS.lt) ir Vilniaus rajono savivaldybės interneto svetainėje (vrsa.lt). Pasiūlymus dėl pagrindinės žemės naudojimo paskirties ir žemės naudojimo būdo keitimo galima teikti iki 2025-06-11 Vilniaus rajono savivaldybės administracijai (Rinktinės g. 50, Vilnius) raštu ir Lietuvos Respublikos teritorijų planavimo dokumentų rengimo ir teritorijų planavimo proceso valstybinės priežiūros informacinėje sistemoje.

Ištrauka iš Vilniaus rajono savivaldybės teritorijos dalies („U“ žemės naudojimo funkcinės zonos Avižienių, Juodšilių, Nemėžio, Pagirių, Riešės, Rudaminos ir Zujūnų seniūnijose) bendrojo plano

Prašymas

2025-05-28

Informuojame apie pateiktą nagrinėti prašymą dėl žemės sklypo (kad. Nr.4154/2900:155), esančio Vilniaus r. sav., Marijampolio sen., Terešiškių k. (toliau – Žemės sklypas) pagrindinės žemės naudojimo paskirties ir žemės naudojimo būdo keitimą. Prašymo tikslas: 0,3700 ha ploto žemės ūkio paskirties Žemės sklypo pagrindinės žemės naudojimo paskirties ir žemės naudojimo būdo keitimas į kitos – vienbučių ir dvibučių gyvenamųjų pastatų teritorijos. Su prašymu galima susipažinti nuo 2025-05-28 iki 2025-06-11 Lietuvos Respublikos teritorijų planavimo dokumentų rengimo ir teritorijų planavimo proceso valstybės priežiūros informacinėje svetainėje (TPDRIS.lt) ir Vilniaus rajono savivaldybės interneto svetainėje (vrsa.lt). Pasiūlymus dėl pagrindinės žemės naudojimo paskirties ir žemės naudojimo būdo keitimo galima teikti iki 2025-06-11 Vilniaus rajono savivaldybės administracijai (Rinktinės g. 50, Vilnius) raštu ir Lietuvos Respublikos teritorijų planavimo dokumentų rengimo ir teritorijų planavimo proceso valstybinės priežiūros informacinėje sistemoje.

Ištrauka iš Kraštovaizdžio spec. plano

Prašymas

2025-05-28

Informuojame apie pateiktą nagrinėti prašymą dėl žemės sklypo (kad. Nr.4174/0100:1184), esančio Vilniaus r. sav., Avižienių sen., Lindiniškių k. (toliau – Žemės sklypas) pagrindinės žemės naudojimo paskirties ir žemės naudojimo būdo keitimą. Prašymo tikslas: 0,1026 ha ploto žemės ūkio paskirties Žemės sklypo pagrindinės žemės naudojimo paskirties ir žemės naudojimo būdo keitimas į kitos – vienbučių ir dvibučių gyvenamųjų pastatų teritorijos. Su prašymu galima susipažinti nuo 2025-05-28 iki 2025-06-11 Lietuvos Respublikos teritorijų planavimo dokumentų rengimo ir teritorijų planavimo proceso valstybės priežiūros informacinėje svetainėje (TPDRIS.lt) ir Vilniaus rajono savivaldybės interneto svetainėje (vrsa.lt). Pasiūlymus dėl pagrindinės žemės naudojimo paskirties ir žemės naudojimo būdo keitimo galima teikti iki 2025-06-11 Vilniaus rajono savivaldybės administracijai (Rinktinės g. 50, Vilnius) raštu ir Lietuvos Respublikos teritorijų planavimo dokumentų rengimo ir teritorijų planavimo proceso valstybinės priežiūros informacinėje sistemoje.

Ištrauka iš Vilniaus rajono savivaldybės teritorijos dalies („U“ žemės naudojimo funkcinės zonos Avižienių, Juodšilių, Nemėžio, Pagirių, Riešės, Rudaminos ir Zujūnų seniūnijose) bendrojo plano

Prašymas

2025-05-28

Priimtas sprendimasžemės ūkio paskirties žemės sklypo (kadastro Nr. 4120/0100:1373), esančio Vilniaus r. sav., Nemenčinės sen., Mažųjų Kabiškių k., Bažnyčios g. 104, pagrindinės žemės naudojimo paskirties ir žemės naudojimo būdo keitimo.

Sprendimas

2025-05-26

Priimtas sprendimas žemės ūkio paskirties žemės sklypo (kadastro Nr. 4174/0100:752), esančio Vilniaus r. sav., Avižienių sen., Riešės k., pagrindinės žemės naudojimo paskirties ir žemės naudojimo būdo keitimo.

Sprendimas

2025-05-26

Priimtas sprendimas žemės ūkio paskirties žemės sklypo (kadastro Nr. 4130/0500:145), esančio Vilniaus r. sav., Dūkštų sen., Geisiškių k., Mokyklos g. 77, pagrindinės žemės naudojimo paskirties ir žemės naudojimo būdo keitimo.

Sprendimas

2025-05-23

Priimtas sprendimas žemės ūkio paskirties žemės sklypo (kadastro Nr. 4110/0600:1411), esančio Vilniaus r. sav., Zujūnų sen., Dvarykščių k., pagrindinės žemės naudojimo paskirties ir žemės naudojimo būdo keitimo.

Sprendimas

2025-05-23

Informuojame apie pateiktą nagrinėti prašymą dėl žemės sklypo (kad. Nr.4184/0100:1201), esančio Vilniaus r. sav., Sudervės sen., Buiniškių k., Klevinų g. 2 (toliau – Žemės sklypas) žemės naudojimo būdo keitimo. Prašymo tikslas: 0,3415 ha ploto kitos paskirties Žemės sklypo žemės naudojimo būdo keitimas į kitos – komercinės paskirties objektų teritorijos. Su prašymu galima susipažinti nuo 2025-05-22 iki 2025-06-05 Lietuvos Respublikos teritorijų planavimo dokumentų rengimo ir teritorijų planavimo proceso valstybės priežiūros informacinėje svetainėje (TPDRIS.lt) ir Vilniaus rajono savivaldybės interneto svetainėje (vrsa.lt). Pasiūlymus dėl pagrindinės žemės naudojimo paskirties ir žemės naudojimo būdo keitimo galima teikti iki 2025-06-05 Vilniaus rajono savivaldybės administracijai (Rinktinės g. 50, Vilnius) raštu ir Lietuvos Respublikos teritorijų planavimo dokumentų rengimo ir teritorijų planavimo proceso valstybinės priežiūros informacinėje sistemoje.

Vilniaus rajono savivaldybės teritorijos dalies („ZRg“ žemės naudojimo funkcinės zonos Sudervės seniūnijoje) bendrojo plano ištrauka)

Prašymas

2025-05-22

Informuojame apie pateiktą nagrinėti prašymą dėl žemės sklypo (kad. Nr.4110/0700:1966), esančio Vilniaus r. sav., Zujūnų sen., Zujūnų k. (toliau – Žemės sklypas) pagrindinės žemės naudojimo paskirties ir žemės naudojimo būdo keitimą. Prašymo tikslas: 0,4000 ha ploto žemės ūkio paskirties Žemės sklypo pagrindinės žemės naudojimo paskirties ir žemės naudojimo būdo keitimas į kitos – vienbučių ir dvibučių gyvenamųjų pastatų teritorijos. Su prašymu galima susipažinti nuo 2025-05-22 iki 2025-06-05 Lietuvos Respublikos teritorijų planavimo dokumentų rengimo ir teritorijų planavimo proceso valstybės priežiūros informacinėje svetainėje (TPDRIS.lt) ir Vilniaus rajono savivaldybės interneto svetainėje (vrsa.lt). Pasiūlymus dėl pagrindinės žemės naudojimo paskirties ir žemės naudojimo būdo keitimo galima teikti iki 2025-06-05 Vilniaus rajono savivaldybės administracijai (Rinktinės g. 50, Vilnius) raštu ir Lietuvos Respublikos teritorijų planavimo dokumentų rengimo ir teritorijų planavimo proceso valstybinės priežiūros informacinėje sistemoje.

Ištrauka iš Vilniaus rajono savivaldybės teritorijos dalies („U“ žemės naudojimo funkcinės zonos Avižienių, Juodšilių, Nemėžio, Pagirių, Riešės, Rudaminos ir Zujūnų seniūnijose) bendrojo plano

Prašymas

2025-05-22

Informuojame apie pateiktą nagrinėti prašymą dėl žemės sklypo (kad. Nr.4110/0700:704), esančio Vilniaus r. sav., Zujūnų sen., Zujūnų k. (toliau – Žemės sklypas) pagrindinės žemės naudojimo paskirties ir žemės naudojimo būdo keitimą. Prašymo tikslas: 0,1996 ha ploto žemės ūkio paskirties Žemės sklypo pagrindinės žemės naudojimo paskirties ir žemės naudojimo būdo keitimas į kitos – vienbučių ir dvibučių gyvenamųjų pastatų teritorijos. Su prašymu galima susipažinti nuo 2025-05-22 iki 2025-06-05 Lietuvos Respublikos teritorijų planavimo dokumentų rengimo ir teritorijų planavimo proceso valstybės priežiūros informacinėje svetainėje (TPDRIS.lt) ir Vilniaus rajono savivaldybės interneto svetainėje (vrsa.lt). Pasiūlymus dėl pagrindinės žemės naudojimo paskirties ir žemės naudojimo būdo keitimo galima teikti iki 2025-06-05 Vilniaus rajono savivaldybės administracijai (Rinktinės g. 50, Vilnius) raštu ir Lietuvos Respublikos teritorijų planavimo dokumentų rengimo ir teritorijų planavimo proceso valstybinės priežiūros informacinėje sistemoje.

Ištrauka iš Vilniaus rajono savivaldybės teritorijos dalies („U“ žemės naudojimo funkcinės zonos Avižienių, Juodšilių, Nemėžio, Pagirių, Riešės, Rudaminos ir Zujūnų seniūnijose) bendrojo plano

Prašymas

2025-05-22

Informuojame apie pateiktą nagrinėti prašymą dėl žemės sklypo (kad. Nr.4110/0700:705), esančio Vilniaus r. sav., Zujūnų sen., Zujūnų k. (toliau – Žemės sklypas) pagrindinės žemės naudojimo paskirties ir žemės naudojimo būdo keitimą. Prašymo tikslas: 0,1850 ha ploto žemės ūkio paskirties Žemės sklypo pagrindinės žemės naudojimo paskirties ir žemės naudojimo būdo keitimas į kitos – vienbučių ir dvibučių gyvenamųjų pastatų teritorijos. Su prašymu galima susipažinti nuo 2025-05-22 iki 2025-06-05 Lietuvos Respublikos teritorijų planavimo dokumentų rengimo ir teritorijų planavimo proceso valstybės priežiūros informacinėje svetainėje (TPDRIS.lt) ir Vilniaus rajono savivaldybės interneto svetainėje (vrsa.lt). Pasiūlymus dėl pagrindinės žemės naudojimo paskirties ir žemės naudojimo būdo keitimo galima teikti iki 2025-06-05 Vilniaus rajono savivaldybės administracijai (Rinktinės g. 50, Vilnius) raštu ir Lietuvos Respublikos teritorijų planavimo dokumentų rengimo ir teritorijų planavimo proceso valstybinės priežiūros informacinėje sistemoje.

Ištrauka iš Vilniaus rajono savivaldybės teritorijos dalies („U“ žemės naudojimo funkcinės zonos Avižienių, Juodšilių, Nemėžio, Pagirių, Riešės, Rudaminos ir Zujūnų seniūnijose) bendrojo plano

Prašymas

2025-05-22

Informuojame apie pateiktą nagrinėti prašymą dėl žemės sklypo (kad. Nr.4110/0800:464), esančio Vilniaus r. sav., Zujūnų sen., Gineitiškių k. (toliau – Žemės sklypas) pagrindinės žemės naudojimo paskirties ir žemės naudojimo būdo keitimą. Prašymo tikslas: 0,0975 ha ploto žemės ūkio paskirties Žemės sklypo pagrindinės žemės naudojimo paskirties ir žemės naudojimo būdo keitimas į kitos – komercinės paskirtės objektų teritorijos. Su prašymu galima susipažinti nuo 2025-05-21 iki 2025-06-04 Lietuvos Respublikos teritorijų planavimo dokumentų rengimo ir teritorijų planavimo proceso valstybės priežiūros informacinėje svetainėje (TPDRIS.lt) ir Vilniaus rajono savivaldybės interneto svetainėje (vrsa.lt). Pasiūlymus dėl pagrindinės žemės naudojimo paskirties ir žemės naudojimo būdo keitimo galima teikti iki 2025-06-04 Vilniaus rajono savivaldybės administracijai (Rinktinės g. 50, Vilnius) raštu ir Lietuvos Respublikos teritorijų planavimo dokumentų rengimo ir teritorijų planavimo proceso valstybinės priežiūros informacinėje sistemoje.

Ištrauka iš Vilniaus rajono savivaldybės teritorijos dalies („U“ žemės naudojimo funkcinės zonos Avižienių, Juodšilių, Nemėžio, Pagirių, Riešės, Rudaminos ir Zujūnų seniūnijose) bendrojo plano

Prašymas

2025-05-21

Priimtas sprendimas žemės ūkio paskirties žemės sklypo (kadastro Nr. 4184/0300:0095), esančio Vilniaus r. sav., Sudervės sen., Sudervės k., pagrindinės žemės naudojimo paskirties ir žemės naudojimo būdo keitimo.

Sprendimas

2025-05-17

Informuojame apie pateiktą nagrinėti prašymą dėl žemės sklypo (kad. Nr.4120/0200:16), esančio Vilniaus r. sav., Nemenčinės sen., Gaukštonių k., Nemenčinės g. 99 (toliau – Žemės sklypas) pagrindinės žemės naudojimo paskirties ir žemės naudojimo būdo keitimą. Prašymo tikslas: 0,2468 ha ploto miškų ūkio paskirties Žemės sklypo pagrindinės žemės naudojimo paskirties ir žemės naudojimo būdo keitimas į kitos – vienbučių ir dvibučių gyvenamųjų pastatų teritorijos. Su prašymu galima susipažinti nuo 2025-05-21 iki 2025-06-04 Lietuvos Respublikos teritorijų planavimo dokumentų rengimo ir teritorijų planavimo proceso valstybės priežiūros informacinėje svetainėje (TPDRIS.lt) ir Vilniaus rajono savivaldybės interneto svetainėje (vrsa.lt). Pasiūlymus dėl pagrindinės žemės naudojimo paskirties ir žemės naudojimo būdo keitimo galima teikti iki 2025-06-04 Vilniaus rajono savivaldybės administracijai (Rinktinės g. 50, Vilnius) raštu ir Lietuvos Respublikos teritorijų planavimo dokumentų rengimo ir teritorijų planavimo proceso valstybinės priežiūros informacinėje sistemoje.

Ištrauka iš Kraštovaizdžio spec. plano

Prašymas

2025-05-21

Informuojame apie pateiktą nagrinėti prašymą dėl žemės sklypo (kad. Nr.4130/0200:626), esančio Vilniaus r. sav., Dūkštų sen., Airėnų I k. (toliau – Žemės sklypas) pagrindinės žemės naudojimo paskirties ir žemės naudojimo būdo keitimą. Prašymo tikslas: 0,8200 ha ploto žemės ūkio paskirties Žemės sklypo pagrindinės žemės naudojimo paskirties ir žemės naudojimo būdo keitimas į kitos – rekreacinės teritorijos. Su prašymu galima susipažinti nuo 2025-05-21 iki 2025-06-04 Lietuvos Respublikos teritorijų planavimo dokumentų rengimo ir teritorijų planavimo proceso valstybės priežiūros informacinėje svetainėje (TPDRIS.lt) ir Vilniaus rajono savivaldybės interneto svetainėje (vrsa.lt). Pasiūlymus dėl pagrindinės žemės naudojimo paskirties ir žemės naudojimo būdo keitimo galima teikti iki 2025-06-04 Vilniaus rajono savivaldybės administracijai (Rinktinės g. 50, Vilnius) raštu ir Lietuvos Respublikos teritorijų planavimo dokumentų rengimo ir teritorijų planavimo proceso valstybinės priežiūros informacinėje sistemoje.

Ištrauka iš Kraštovaizdžio spec. plano

Prašymas

2025-05-21

Informuojame apie pateiktą nagrinėti prašymą dėl žemės sklypo (kad. Nr.4110/0700:5037), esančio Vilniaus r. sav., Zujūnų sen., Antežerių k., Vakarų g. 1A (toliau – Žemės sklypas) pagrindinės žemės naudojimo paskirties ir žemės naudojimo būdo keitimą. Prašymo tikslas: 0,0986 ha ploto žemės ūkio paskirties Žemės sklypo pagrindinės žemės naudojimo paskirties ir žemės naudojimo būdo keitimas į kitos – komercinės paskirtės objektų teritorijos. Su prašymu galima susipažinti nuo 2025-05-21 iki 2025-06-04 Lietuvos Respublikos teritorijų planavimo dokumentų rengimo ir teritorijų planavimo proceso valstybės priežiūros informacinėje svetainėje (TPDRIS.lt) ir Vilniaus rajono savivaldybės interneto svetainėje (vrsa.lt). Pasiūlymus dėl pagrindinės žemės naudojimo paskirties ir žemės naudojimo būdo keitimo galima teikti iki 2025-06-04 Vilniaus rajono savivaldybės administracijai (Rinktinės g. 50, Vilnius) raštu ir Lietuvos Respublikos teritorijų planavimo dokumentų rengimo ir teritorijų planavimo proceso valstybinės priežiūros informacinėje sistemoje.

Ištrauka iš Vilniaus rajono savivaldybės teritorijos dalies („U“ žemės naudojimo funkcinės zonos Avižienių, Juodšilių, Nemėžio, Pagirių, Riešės, Rudaminos ir Zujūnų seniūnijose) bendrojo plano

Prašymas

2025-05-21

Informuojame apie pateiktą nagrinėti prašymą dėl žemės sklypo (kad. Nr.4112/0700:79), esančio Vilniaus r. sav., Buivydžių sen., Buivydžių I k. (toliau – Žemės sklypas) pagrindinės žemės naudojimo paskirties ir žemės naudojimo būdo keitimą. Prašymo tikslas: 0,2700 ha ploto žemės ūkio paskirties Žemės sklypo pagrindinės žemės naudojimo paskirties ir žemės naudojimo būdo keitimas į kitos – vienbučių ir dvibučių gyvenamųjų pastatų teritorijos. Su prašymu galima susipažinti nuo 2025-05-21 iki 2025-06-04 Lietuvos Respublikos teritorijų planavimo dokumentų rengimo ir teritorijų planavimo proceso valstybės priežiūros informacinėje svetainėje (TPDRIS.lt) ir Vilniaus rajono savivaldybės interneto svetainėje (vrsa.lt). Pasiūlymus dėl pagrindinės žemės naudojimo paskirties ir žemės naudojimo būdo keitimo galima teikti iki 2025-06-04 Vilniaus rajono savivaldybės administracijai (Rinktinės g. 50, Vilnius) raštu ir Lietuvos Respublikos teritorijų planavimo dokumentų rengimo ir teritorijų planavimo proceso valstybinės priežiūros informacinėje sistemoje.

Ištrauka iš Kraštovaizdžio spec. plano

Prašymas

2025-05-21

Informuojame apie pateiktą nagrinėti prašymą dėl žemės sklypo (kad. Nr.4162/0100:517), esančio Vilniaus r. sav., Nemėžio sen., Nemėžio k. (toliau – Žemės sklypas) pagrindinės žemės naudojimo paskirties ir žemės naudojimo būdo keitimą. Prašymo tikslas: 0,3500 ha ploto žemės ūkio paskirties Žemės sklypo pagrindinės žemės naudojimo paskirties ir žemės naudojimo būdo keitimas į kitos – komercinės paskirtės objektų teritorijos. Su prašymu galima susipažinti nuo 2025-05-21 iki 2025-06-04 Lietuvos Respublikos teritorijų planavimo dokumentų rengimo ir teritorijų planavimo proceso valstybės priežiūros informacinėje svetainėje (TPDRIS.lt) ir Vilniaus rajono savivaldybės interneto svetainėje (vrsa.lt). Pasiūlymus dėl pagrindinės žemės naudojimo paskirties ir žemės naudojimo būdo keitimo galima teikti iki 2025-06-04 Vilniaus rajono savivaldybės administracijai (Rinktinės g. 50, Vilnius) raštu ir Lietuvos Respublikos teritorijų planavimo dokumentų rengimo ir teritorijų planavimo proceso valstybinės priežiūros informacinėje sistemoje.

Ištrauka iš Vilniaus rajono savivaldybės teritorijos dalies („U“ žemės naudojimo funkcinės zonos Avižienių, Juodšilių, Nemėžio, Pagirių, Riešės, Rudaminos ir Zujūnų seniūnijose) bendrojo plano

Prašymas

2025-05-21

Informuojame apie pateiktą nagrinėti prašymą dėl žemės sklypo (kad. Nr.4142/0700:180), esančio Vilniaus r. sav., Šatrininkų sen., Juodalaukio k. (toliau – Žemės sklypas) pagrindinės žemės naudojimo paskirties ir žemės naudojimo būdo keitimą. Prašymo tikslas: 0,1900 ha ploto žemės ūkio paskirties Žemės sklypo pagrindinės žemės naudojimo paskirties ir žemės naudojimo būdo keitimas į kitos – vienbučių ir dvibučių gyvenamųjų pastatų teritorijos. Su prašymu galima susipažinti nuo 2025-05-15 iki 2025-05-29 Lietuvos Respublikos teritorijų planavimo dokumentų rengimo ir teritorijų planavimo proceso valstybės priežiūros informacinėje svetainėje (TPDRIS.lt) ir Vilniaus rajono savivaldybės interneto svetainėje (vrsa.lt). Pasiūlymus dėl pagrindinės žemės naudojimo paskirties ir žemės naudojimo būdo keitimo galima teikti iki 2025-05-29 Vilniaus rajono savivaldybės administracijai (Rinktinės g. 50, Vilnius) raštu ir Lietuvos Respublikos teritorijų planavimo dokumentų rengimo ir teritorijų planavimo proceso valstybinės priežiūros informacinėje sistemoje.

Ištrauka iš Kraštovaizdžio spec. plano

Prašymas

2025-05-15

Informuojame apie pateiktą nagrinėti prašymą dėl žemės sklypo (kad. Nr.4184/0300:220), esančio Vilniaus r. sav., Sudervės sen., Sudervės k. (toliau – Žemės sklypas) pagrindinės žemės naudojimo paskirties ir žemės naudojimo būdo keitimą. Prašymo tikslas: 0,5000 ha ploto žemės ūkio paskirties Žemės sklypo pagrindinės žemės naudojimo paskirties ir žemės naudojimo būdo keitimas į kitos – vienbučių ir dvibučių gyvenamųjų pastatų teritorijos. Su prašymu galima susipažinti nuo 2025-05-15 iki 2025-05-29 Lietuvos Respublikos teritorijų planavimo dokumentų rengimo ir teritorijų planavimo proceso valstybės priežiūros informacinėje svetainėje (TPDRIS.lt) ir Vilniaus rajono savivaldybės interneto svetainėje (vrsa.lt). Pasiūlymus dėl pagrindinės žemės naudojimo paskirties ir žemės naudojimo būdo keitimo galima teikti iki 2025-05-29 Vilniaus rajono savivaldybės administracijai (Rinktinės g. 50, Vilnius) raštu ir Lietuvos Respublikos teritorijų planavimo dokumentų rengimo ir teritorijų planavimo proceso valstybinės priežiūros informacinėje sistemoje.

Vilniaus rajono savivaldybės teritorijos dalies („ZRg“ žemės naudojimo funkcinės zonos Sudervės seniūnijoje) bendrojo plano ištrauka)

Prašymas

2025-05-15

Informuojame apie pateiktą nagrinėti prašymą dėl žemės sklypo (kad. Nr.4117/0500:72), esančio Vilniaus r. sav., Riešės sen., Didžiosios Riešės k. (toliau – Žemės sklypas) pagrindinės žemės naudojimo paskirties ir žemės naudojimo būdo keitimą. Prašymo tikslas: 0,7204 ha ploto žemės ūkio paskirties Žemės sklypo pagrindinės žemės naudojimo paskirties ir žemės naudojimo būdo keitimas į kitos – komercinės paskirtės objektų teritorijos. Su prašymu galima susipažinti nuo 2025-05-15 iki 2025-05-29 Lietuvos Respublikos teritorijų planavimo dokumentų rengimo ir teritorijų planavimo proceso valstybės priežiūros informacinėje svetainėje (TPDRIS.lt) ir Vilniaus rajono savivaldybės interneto svetainėje (vrsa.lt). Pasiūlymus dėl pagrindinės žemės naudojimo paskirties ir žemės naudojimo būdo keitimo galima teikti iki 2025-05-29 Vilniaus rajono savivaldybės administracijai (Rinktinės g. 50, Vilnius) raštu ir Lietuvos Respublikos teritorijų planavimo dokumentų rengimo ir teritorijų planavimo proceso valstybinės priežiūros informacinėje sistemoje.

Ištrauka iš Kraštovaizdžio spec. plano

Prašymas

2025-05-15

Informuojame apie pateiktą nagrinėti prašymą dėl žemės sklypo (kad. Nr.4103/0100:1909), esančio Vilniaus r. sav., Avižienių sen., Švedų k. (toliau – Žemės sklypas) pagrindinės žemės naudojimo paskirties ir žemės naudojimo būdo keitimą. Prašymo tikslas: 0,2101 ha ploto žemės ūkio paskirties Žemės sklypo pagrindinės žemės naudojimo paskirties ir žemės naudojimo būdo keitimas į kitos – vienbučių ir dvibučių gyvenamųjų pastatų teritorijos. Su prašymu galima susipažinti nuo 2025-05-15 iki 2025-05-29 Lietuvos Respublikos teritorijų planavimo dokumentų rengimo ir teritorijų planavimo proceso valstybės priežiūros informacinėje svetainėje (TPDRIS.lt) ir Vilniaus rajono savivaldybės interneto svetainėje (vrsa.lt). Pasiūlymus dėl pagrindinės žemės naudojimo paskirties ir žemės naudojimo būdo keitimo galima teikti iki 2025-05-29 Vilniaus rajono savivaldybės administracijai (Rinktinės g. 50, Vilnius) raštu ir Lietuvos Respublikos teritorijų planavimo dokumentų rengimo ir teritorijų planavimo proceso valstybinės priežiūros informacinėje sistemoje.

Ištrauka iš Vilniaus rajono savivaldybės teritorijos dalies („U“ žemės naudojimo funkcinės zonos Avižienių, Juodšilių, Nemėžio, Pagirių, Riešės, Rudaminos ir Zujūnų seniūnijose) bendrojo plano

Prašymas

2025-05-15

Informuojame apie pateiktą nagrinėti prašymą dėl žemės sklypo (kad. Nr.4152/1600:657), esančio Vilniaus r. sav., Mickūnų sen., Mickūnų mstl. (toliau – Žemės sklypas) pagrindinės žemės naudojimo paskirties ir žemės naudojimo būdo keitimą. Prašymo tikslas: 0,1568 ha ploto žemės ūkio paskirties Žemės sklypo pagrindinės žemės naudojimo paskirties ir žemės naudojimo būdo keitimas į kitos – vienbučių ir dvibučių gyvenamųjų pastatų teritorijos. Su prašymu galima susipažinti nuo 2025-05-15 iki 2025-05-29 Lietuvos Respublikos teritorijų planavimo dokumentų rengimo ir teritorijų planavimo proceso valstybės priežiūros informacinėje svetainėje (TPDRIS.lt) ir Vilniaus rajono savivaldybės interneto svetainėje (vrsa.lt). Pasiūlymus dėl pagrindinės žemės naudojimo paskirties ir žemės naudojimo būdo keitimo galima teikti iki 2025-05-29 Vilniaus rajono savivaldybės administracijai (Rinktinės g. 50, Vilnius) raštu ir Lietuvos Respublikos teritorijų planavimo dokumentų rengimo ir teritorijų planavimo proceso valstybinės priežiūros informacinėje sistemoje.

Ištrauka iš Kraštovaizdžio spec. plano

Prašymas

2025-05-15

Informuojame apie pateiktą nagrinėti prašymą dėl žemės sklypo (kad. Nr.4170/0100:21), esančio Vilniaus r. sav., Riešės sen., Stadališkių k. (toliau – Žemės sklypas) pagrindinės žemės naudojimo paskirties ir žemės naudojimo būdo keitimą. Prašymo tikslas: 1,0000 ha ploto žemės ūkio paskirties Žemės sklypo pagrindinės žemės naudojimo paskirties ir žemės naudojimo būdo keitimas į kitos – vienbučių ir dvibučių gyvenamųjų pastatų teritorijos. Su prašymu galima susipažinti nuo 2025-05-15 iki 2025-05-29 Lietuvos Respublikos teritorijų planavimo dokumentų rengimo ir teritorijų planavimo proceso valstybės priežiūros informacinėje svetainėje (TPDRIS.lt) ir Vilniaus rajono savivaldybės interneto svetainėje (vrsa.lt). Pasiūlymus dėl pagrindinės žemės naudojimo paskirties ir žemės naudojimo būdo keitimo galima teikti iki 2025-05-29 Vilniaus rajono savivaldybės administracijai (Rinktinės g. 50, Vilnius) raštu ir Lietuvos Respublikos teritorijų planavimo dokumentų rengimo ir teritorijų planavimo proceso valstybinės priežiūros informacinėje sistemoje.

Ištrauka iš Kraštovaizdžio spec. plano

Prašymas

2025-05-15

Informuojame apie pateiktą nagrinėti prašymą dėl žemės sklypo (kad. Nr.4152/1700:692), esančio Vilniaus r. sav., Mickūnų sen., Mickūnų mstl. (toliau – Žemės sklypas) pagrindinės žemės naudojimo paskirties ir žemės naudojimo būdo keitimą. Prašymo tikslas: 0,1701 ha ploto žemės ūkio paskirties Žemės sklypo pagrindinės žemės naudojimo paskirties ir žemės naudojimo būdo keitimas į kitos – vienbučių ir dvibučių gyvenamųjų pastatų teritorijos. Su prašymu galima susipažinti nuo 2025-05-15 iki 2025-05-29 Lietuvos Respublikos teritorijų planavimo dokumentų rengimo ir teritorijų planavimo proceso valstybės priežiūros informacinėje svetainėje (TPDRIS.lt) ir Vilniaus rajono savivaldybės interneto svetainėje (vrsa.lt). Pasiūlymus dėl pagrindinės žemės naudojimo paskirties ir žemės naudojimo būdo keitimo galima teikti iki 2025-05-29 Vilniaus rajono savivaldybės administracijai (Rinktinės g. 50, Vilnius) raštu ir Lietuvos Respublikos teritorijų planavimo dokumentų rengimo ir teritorijų planavimo proceso valstybinės priežiūros informacinėje sistemoje.

Ištrauka iš Kraštovaizdžio spec. plano

Prašymas

2025-05-15

Informuojame apie pateiktą nagrinėti prašymą dėl žemės sklypo (kadastro Nr. 4167/0200:0727), esančio Vilniaus r. sav., Pagirių sen., Pagirių k. (toliau – Žemės sklypas) pagrindinės žemės naudojimo paskirties ir naudojimo būdo keitimo. Prašymo tikslas: 3,0449 ha ploto žemės ūkio paskirties Žemės sklypo pagrindinės žemės naudojimo paskirties ir žemės naudojimo būdo keitimas į kitos paskirties žemės – pramonės ir sandėliavimo objektų teritorijos. Su prašymu galima susipažinti nuo 2025-05-06 iki 2025-05-21 Lietuvos Respublikos teritorijų planavimo dokumentų rengimo ir teritorijų planavimo proceso valstybės priežiūros informacinėje svetainėje (TPDRIS.lt) ir Vilniaus rajono savivaldybės interneto svetainėje (vrsa.lt). Pasiūlymus dėl pagrindinės žemės naudojimo paskirties ir žemės naudojimo būdo keitimo galima teikti iki 2025-05-21 Vilniaus rajono savivaldybės administracijai (Rinktinės g. 50, Vilnius) raštu ir Lietuvos Respublikos teritorijų planavimo dokumentų rengimo ir teritorijų planavimo proceso valstybinės priežiūros informacinėje sistemoje.

Vilniaus rajono savivaldybės teritorijos kraštovaizdžio specialiojo plano ištrauka

Prašymas

2025-05-06

 

Informuojame apie pateiktą nagrinėti prašymą dėl žemės sklypo (kadastro Nr. 4120/0200:0182), esančio Vilniaus r. sav., Nemenčinės sen., Pučkalaukio k. (toliau – Žemės sklypas) pagrindinės žemės naudojimo paskirties ir naudojimo būdo keitimo. Prašymo tikslas: 3,8616 ploto žemės ūkio paskirties Žemės sklypo pagrindinės žemės naudojimo paskirties ir žemės naudojimo būdo keitimas į kitos paskirties žemės – bendrojo naudojimo (miestų, miestelių ir kaimų ar savivaldybių bendrojo naudojimo) teritorijos. Su prašymu galima susipažinti nuo 2025-05-06 iki 2025-05-21 Lietuvos Respublikos teritorijų planavimo dokumentų rengimo ir teritorijų planavimo proceso valstybės priežiūros informacinėje svetainėje (TPDRIS.lt) ir Vilniaus rajono savivaldybės interneto svetainėje (vrsa.lt). Pasiūlymus dėl pagrindinės žemės naudojimo paskirties ir žemės naudojimo būdo keitimo galima teikti iki 2025-05-21 Vilniaus rajono savivaldybės administracijai (Rinktinės g. 50, Vilnius) raštu ir Lietuvos Respublikos teritorijų planavimo dokumentų rengimo ir teritorijų planavimo proceso valstybinės priežiūros informacinėje sistemoje.

Vilniaus rajono savivaldybės teritorijos kraštovaizdžio specialiojo plano ištrauka

Prašymas

2025-05-06

 

Informuojame apie pateiktą nagrinėti prašymą dėl žemės sklypo (kad. Nr.4137/0200:1043), esančio Vilniaus r. sav., Juodšilių sen., Valčiūnų k. (toliau – Žemės sklypas) pagrindinės žemės naudojimo paskirties ir žemės naudojimo būdo keitimą. Prašymo tikslas: 0,0755 ha ploto žemės ūkio paskirties Žemės sklypo pagrindinės žemės naudojimo paskirties ir žemės naudojimo būdo keitimas į kitos – vienbučių ir dvibučių gyvenamųjų pastatų teritorijos. Su prašymu galima susipažinti nuo 2025-04-24 iki 2025-05-09 Lietuvos Respublikos teritorijų planavimo dokumentų rengimo ir teritorijų planavimo proceso valstybės priežiūros informacinėje svetainėje (TPDRIS.lt) ir Vilniaus rajono savivaldybės interneto svetainėje (vrsa.lt). Pasiūlymus dėl pagrindinės žemės naudojimo paskirties ir žemės naudojimo būdo keitimo galima teikti iki 2025-05-09 Vilniaus rajono savivaldybės administracijai (Rinktinės g. 50, Vilnius) raštu ir Lietuvos Respublikos teritorijų planavimo dokumentų rengimo ir teritorijų planavimo proceso valstybinės priežiūros informacinėje sistemoje.

Ištrauka iš Vilniaus rajono savivaldybės teritorijos dalies („U“ žemės naudojimo funkcinės zonos Avižienių, Juodšilių, Nemėžio, Pagirių, Riešės, Rudaminos ir Zujūnų seniūnijose) bendrojo plano

Prašymas

2025-04-24

Informuojame apie pateiktą nagrinėti prašymą dėl žemės sklypo (kad. Nr.4167/0300:947), esančio Vilniaus r. sav., Mickūnai, Pirties g. 4 (toliau – Žemės sklypas) žemės naudojimo būdo keitimo. Prašymo tikslas: 0,1422 ha ploto kitos paskirties Žemės sklypo naudojimo būdo keitimas į kitos – vienbučių ir dvibučių gyvenamųjų pastatų teritorijos. Su prašymu galima susipažinti nuo 2025-04-24 iki 2025-05-09 Lietuvos Respublikos teritorijų planavimo dokumentų rengimo ir teritorijų planavimo proceso valstybės priežiūros informacinėje svetainėje (TPDRIS.lt) ir Vilniaus rajono savivaldybės interneto svetainėje (vrsa.lt). Pasiūlymus dėl pagrindinės žemės naudojimo paskirties ir žemės naudojimo būdo keitimo galima teikti iki 2025-05-09 Vilniaus rajono savivaldybės administracijai (Rinktinės g. 50, Vilnius) raštu ir Lietuvos Respublikos teritorijų planavimo dokumentų rengimo ir teritorijų planavimo proceso valstybinės priežiūros informacinėje sistemoje.

Ištrauka iš Kraštovaizdžio spec. plano

Prašymas

2025-04-24

Informuojame apie pateiktą nagrinėti prašymą dėl žemės sklypo (kad. Nr.4174/0100:752), esančio Vilniaus r. sav., Avižienių sen., Riešės k. (toliau – Žemės sklypas) pagrindinės žemės naudojimo paskirties ir žemės naudojimo būdo keitimą. Prašymo tikslas: 0,1492 ha ploto žemės ūkio paskirties Žemės sklypo pagrindinės žemės naudojimo paskirties ir žemės naudojimo būdo keitimas į kitos – vienbučių ir dvibučių gyvenamųjų pastatų teritorijos. Su prašymu galima susipažinti nuo 2025-04-24 iki 2025-05-09 Lietuvos Respublikos teritorijų planavimo dokumentų rengimo ir teritorijų planavimo proceso valstybės priežiūros informacinėje svetainėje (TPDRIS.lt) ir Vilniaus rajono savivaldybės interneto svetainėje (vrsa.lt). Pasiūlymus dėl pagrindinės žemės naudojimo paskirties ir žemės naudojimo būdo keitimo galima teikti iki 2025-05-09 Vilniaus rajono savivaldybės administracijai (Rinktinės g. 50, Vilnius) raštu ir Lietuvos Respublikos teritorijų planavimo dokumentų rengimo ir teritorijų planavimo proceso valstybinės priežiūros informacinėje sistemoje.

Ištrauka iš Vilniaus rajono savivaldybės teritorijos dalies („U“ žemės naudojimo funkcinės zonos Avižienių, Juodšilių, Nemėžio, Pagirių, Riešės, Rudaminos ir Zujūnų seniūnijose) bendrojo plano

Prašymas

2025-04-24

Informuojame apie pateiktą nagrinėti prašymą dėl žemės sklypo (kad. Nr.4167/0300:947), esančio Vilniaus r. sav., Pagirių sen., Skurbutėnų k. (toliau – Žemės sklypas) pagrindinės žemės naudojimo paskirties ir žemės naudojimo būdo keitimą. Prašymo tikslas: 9,3623 ha ploto žemės ūkio paskirties Žemės sklypo pagrindinės žemės naudojimo paskirties ir žemės naudojimo būdo keitimas į kitos – vienbučių ir dvibučių gyvenamųjų pastatų teritorijos. Su prašymu galima susipažinti nuo 2025-04-24 iki 2025-05-09 Lietuvos Respublikos teritorijų planavimo dokumentų rengimo ir teritorijų planavimo proceso valstybės priežiūros informacinėje svetainėje (TPDRIS.lt) ir Vilniaus rajono savivaldybės interneto svetainėje (vrsa.lt). Pasiūlymus dėl pagrindinės žemės naudojimo paskirties ir žemės naudojimo būdo keitimo galima teikti iki 2025-05-09 Vilniaus rajono savivaldybės administracijai (Rinktinės g. 50, Vilnius) raštu ir Lietuvos Respublikos teritorijų planavimo dokumentų rengimo ir teritorijų planavimo proceso valstybinės priežiūros informacinėje sistemoje.

Ištrauka iš Kraštovaizdžio spec. plano

Prašymas

2025-04-24

Informuojame apie pateiktą nagrinėti prašymą dėl žemės sklypo (kad. Nr.4130/0200:285), esančio Vilniaus r. sav., Dūkštų sen., Bielazariškių k. (toliau – Žemės sklypas) pagrindinės žemės naudojimo paskirties ir žemės naudojimo būdo keitimą. Prašymo tikslas: 2,0800 ha ploto žemės ūkio paskirties Žemės sklypo pagrindinės žemės naudojimo paskirties ir žemės naudojimo būdo keitimas į kitos – vienbučių ir dvibučių gyvenamųjų pastatų teritorijos. Su prašymu galima susipažinti nuo 2025-04-24 iki 2025-05-09 Lietuvos Respublikos teritorijų planavimo dokumentų rengimo ir teritorijų planavimo proceso valstybės priežiūros informacinėje svetainėje (TPDRIS.lt) ir Vilniaus rajono savivaldybės interneto svetainėje (vrsa.lt). Pasiūlymus dėl pagrindinės žemės naudojimo paskirties ir žemės naudojimo būdo keitimo galima teikti iki 2025-05-09 Vilniaus rajono savivaldybės administracijai (Rinktinės g. 50, Vilnius) raštu ir Lietuvos Respublikos teritorijų planavimo dokumentų rengimo ir teritorijų planavimo proceso valstybinės priežiūros informacinėje sistemoje.

Ištrauka iš Kraštovaizdžio spec. plano

Prašymas

2025-04-24

Informuojame apie pateiktą nagrinėti prašymą dėl žemės sklypo (kad. Nr.4184/0300:95), esančio Vilniaus r. sav., Sudervės sen., Sudervės k. (toliau – Žemės sklypas) pagrindinės žemės naudojimo paskirties ir žemės naudojimo būdo keitimą. Prašymo tikslas: 0,5500 ha ploto žemės ūkio paskirties Žemės sklypo pagrindinės žemės naudojimo paskirties ir žemės naudojimo būdo keitimas į kitos – bendro naudojimo (miestų, miestelių ir kaimų ar savivaldybių bendro naudojimo) teritorijos. Su prašymu galima susipažinti nuo 2025-04-24 iki 2025-05-09 Lietuvos Respublikos teritorijų planavimo dokumentų rengimo ir teritorijų planavimo proceso valstybės priežiūros informacinėje svetainėje (TPDRIS.lt) ir Vilniaus rajono savivaldybės interneto svetainėje (vrsa.lt). Pasiūlymus dėl pagrindinės žemės naudojimo paskirties ir žemės naudojimo būdo keitimo galima teikti iki 2025-05-09 Vilniaus rajono savivaldybės administracijai (Rinktinės g. 50, Vilnius) raštu ir Lietuvos Respublikos teritorijų planavimo dokumentų rengimo ir teritorijų planavimo proceso valstybinės priežiūros informacinėje sistemoje.

Vilniaus rajono savivaldybės teritorijos dalies („ZRg“ žemės naudojimo funkcinės zonos Sudervės seniūnijoje) bendrojo plano ištrauka)

Prašymas

2025-04-24

Priimtas sprendimas dėl žemės sklypo (kadastro Nr. 4177/0100:588), esančio Vilniaus r. sav., Rudaminos sen., Barkiškių k., pagrindinės žemės naudojimo paskirties ir žemės naudojimo būdo keitimo.

Sprendimas

2025-04-23

Informuojame apie pateiktą nagrinėti prašymą dėl žemės sklypo (kad. Nr.4120/0100:1373), esančio Vilniaus r. sav., Nemenčinės sen., Mažųjų Kabiškių k., Bažnyčios g. 104 (toliau – Žemės sklypas) pagrindinės žemės naudojimo paskirties ir žemės naudojimo būdo keitimą. Prašymo tikslas: 0,6647 ha ploto žemės ūkio paskirties Žemės sklypo pagrindinės žemės naudojimo paskirties ir žemės naudojimo būdo keitimas į kitos – vienbučių ir dvibučių gyvenamųjų pastatų teritorijos. Su prašymu galima susipažinti nuo 2025-04-23 iki 2025-05-08 Lietuvos Respublikos teritorijų planavimo dokumentų rengimo ir teritorijų planavimo proceso valstybės priežiūros informacinėje svetainėje (TPDRIS.lt) ir Vilniaus rajono savivaldybės interneto svetainėje (vrsa.lt). Pasiūlymus dėl pagrindinės žemės naudojimo paskirties ir žemės naudojimo būdo keitimo galima teikti iki 2025-05-08 Vilniaus rajono savivaldybės administracijai (Rinktinės g. 50, Vilnius) raštu ir Lietuvos Respublikos teritorijų planavimo dokumentų rengimo ir teritorijų planavimo proceso valstybinės priežiūros informacinėje sistemoje.

Ištrauka iš Kraštovaizdžio spec. plano

Prašymas

2025-04-23

Informuojame apie pateiktą nagrinėti prašymą dėl žemės sklypo (kad. Nr. 4170/0600:18 ), esančio Vilniaus r. sav., Riešės sen., Nemenčinėlės k. (toliau – Žemės sklypas) pagrindinės žemės naudojimo paskirties ir žemės naudojimo būdo keitimą. Prašymo tikslas: 0,7440 ha ploto žemės ūkio paskirties Žemės sklypo pagrindinės žemės naudojimo paskirties ir žemės naudojimo būdo keitimas į kitos – rekrecinės paskirties teritorijos. Su prašymu galima susipažinti nuo 2025-04-23 iki 2025-05-08 Lietuvos Respublikos teritorijų planavimo dokumentų rengimo ir teritorijų planavimo proceso valstybės priežiūros informacinėje svetainėje (TPDRIS.lt) ir Vilniaus rajono savivaldybės interneto svetainėje (vrsa.lt). Pasiūlymus dėl pagrindinės žemės naudojimo paskirties ir žemės naudojimo būdo keitimo galima teikti iki 2025-05-08 Vilniaus rajono savivaldybės administracijai (Rinktinės g. 50, Vilnius) raštu ir Lietuvos Respublikos teritorijų planavimo dokumentų rengimo ir teritorijų planavimo proceso valstybinės priežiūros informacinėje sistemoje.

Ištrauka iš Kraštovaizdžio spec. plano

Prašymas

2025-04-23

Informuojame apie pateiktą nagrinėti prašymą dėl žemės sklypo (kad. Nr.4110/0500:265), esančio Vilniaus r. sav., Zujūnų sen., Platiniškių k. (toliau – Žemės sklypas) pagrindinės žemės naudojimo paskirties ir žemės naudojimo būdo keitimą. Prašymo tikslas: 1,5300 ha ploto žemės ūkio paskirties Žemės sklypo pagrindinės žemės naudojimo paskirties ir žemės naudojimo būdo keitimas į kitos – vienbučių ir dvibučių gyvenamųjų pastatų teritorijos. Su prašymu galima susipažinti nuo 2025-04-23 iki 2025-05-08 Lietuvos Respublikos teritorijų planavimo dokumentų rengimo ir teritorijų planavimo proceso valstybės priežiūros informacinėje svetainėje (TPDRIS.lt) ir Vilniaus rajono savivaldybės interneto svetainėje (vrsa.lt). Pasiūlymus dėl pagrindinės žemės naudojimo paskirties ir žemės naudojimo būdo keitimo galima teikti iki 2025-05-08 Vilniaus rajono savivaldybės administracijai (Rinktinės g. 50, Vilnius) raštu ir Lietuvos Respublikos teritorijų planavimo dokumentų rengimo ir teritorijų planavimo proceso valstybinės priežiūros informacinėje sistemoje.

Ištrauka iš Kraštovaizdžio spec. plano

Prašymas

2025-04-23

Informuojame apie pateiktą nagrinėti prašymą dėl žemės sklypo (kad. Nr.4110/0500:71), esančio Vilniaus r. sav., Zujūnų sen., Platiniškių k. (toliau – Žemės sklypas) pagrindinės žemės naudojimo paskirties ir žemės naudojimo būdo keitimą. Prašymo tikslas: 0,5000 ha ploto žemės ūkio paskirties Žemės sklypo pagrindinės žemės naudojimo paskirties ir žemės naudojimo būdo keitimas į kitos – vienbučių ir dvibučių gyvenamųjų pastatų teritorijos. Su prašymu galima susipažinti nuo 2025-04-23 iki 2025-05-08 Lietuvos Respublikos teritorijų planavimo dokumentų rengimo ir teritorijų planavimo proceso valstybės priežiūros informacinėje svetainėje (TPDRIS.lt) ir Vilniaus rajono savivaldybės interneto svetainėje (vrsa.lt). Pasiūlymus dėl pagrindinės žemės naudojimo paskirties ir žemės naudojimo būdo keitimo galima teikti iki 2025-05-08 Vilniaus rajono savivaldybės administracijai (Rinktinės g. 50, Vilnius) raštu ir Lietuvos Respublikos teritorijų planavimo dokumentų rengimo ir teritorijų planavimo proceso valstybinės priežiūros informacinėje sistemoje.

Ištrauka iš Kraštovaizdžio spec. plano

Prašymas

2025-04-23

Informuojame apie pateiktą nagrinėti prašymą dėl žemės sklypo (kad. Nr.4110/0600:1411), esančio Vilniaus r. sav., Zujūnų sen., Dvarykščių k. (toliau – Žemės sklypas) pagrindinės žemės naudojimo paskirties ir žemės naudojimo būdo keitimą. Prašymo tikslas: 0,1200 ha ploto žemės ūkio paskirties Žemės sklypo pagrindinės žemės naudojimo paskirties ir žemės naudojimo būdo keitimas į kitos – vienbučių ir dvibučių gyvenamųjų pastatų teritorijos. Su prašymu galima susipažinti nuo 2025-04-23 iki 2025-05-08 Lietuvos Respublikos teritorijų planavimo dokumentų rengimo ir teritorijų planavimo proceso valstybės priežiūros informacinėje svetainėje (TPDRIS.lt) ir Vilniaus rajono savivaldybės interneto svetainėje (vrsa.lt). Pasiūlymus dėl pagrindinės žemės naudojimo paskirties ir žemės naudojimo būdo keitimo galima teikti iki 2025-05-08 Vilniaus rajono savivaldybės administracijai (Rinktinės g. 50, Vilnius) raštu ir Lietuvos Respublikos teritorijų planavimo dokumentų rengimo ir teritorijų planavimo proceso valstybinės priežiūros informacinėje sistemoje.

Ištrauka iš Kraštovaizdžio spec. plano

Prašymas

2025-04-23

Informuojame apie pateiktą nagrinėti prašymą dėl žemės sklypo (kad. Nr.4124/0100:458), esančio Vilniaus r. sav., Dūkštų sen., Buivydų k. (toliau – Žemės sklypas) pagrindinės žemės naudojimo paskirties ir žemės naudojimo būdo keitimą. Prašymo tikslas: 0,4026 ha ploto žemės ūkio paskirties Žemės sklypo pagrindinės žemės naudojimo paskirties ir žemės naudojimo būdo keitimas į kitos – vienbučių ir dvibučių gyvenamųjų pastatų teritorijos. Su prašymu galima susipažinti nuo 2025-04-23 iki 2025-05-08 Lietuvos Respublikos teritorijų planavimo dokumentų rengimo ir teritorijų planavimo proceso valstybės priežiūros informacinėje svetainėje (TPDRIS.lt) ir Vilniaus rajono savivaldybės interneto svetainėje (vrsa.lt). Pasiūlymus dėl pagrindinės žemės naudojimo paskirties ir žemės naudojimo būdo keitimo galima teikti iki 2025-05-08 Vilniaus rajono savivaldybės administracijai (Rinktinės g. 50, Vilnius) raštu ir Lietuvos Respublikos teritorijų planavimo dokumentų rengimo ir teritorijų planavimo proceso valstybinės priežiūros informacinėje sistemoje.

Ištrauka iš Kraštovaizdžio spec. plano

Prašymas

2025-04-23

Priimtas sprendimas dėl žemės sklypo (kadastro Nr. 4162/0100:807), esančio Vilniaus r. sav., Nemėžio sen., Katiliškių vs., pagrindinės žemės naudojimo paskirties ir žemės naudojimo būdo keitimo.

Sprendimas

2025-04-18

Priimtas sprendimas dėl  žemės sklypo (kadastro Nr. 4190/0200:154), esančio Vilniaus r. sav., Kalvelių sen., Kalvelių k., Vilniaus g. 13, žemės naudojimo būdo keitimo.

Sprendimas

2025-04-18

Priimtas sprendimas dėl  žemės sklypo (kadastro Nr. 4117/0400:5247), esančio Vilniaus r. sav., Riešės sen., Didžiųjų Gulbinų k., Pelėdų g. 5A, žemės naudojimo būdo keitimo.

Sprendimas

2025-04-18

Informuojame apie pateiktą nagrinėti prašymą dėl žemės sklypo (kad. Nr.4130/0500:145), esančio Vilniaus r. sav., Dūkštų sen., Geisiškių k., Mokyklos g. 77 (toliau – Žemės sklypas) pagrindinės žemės naudojimo paskirties ir žemės naudojimo būdo keitimą. Prašymo tikslas: 0.1164 ha ploto žemės ūkio paskirties Žemės sklypo pagrindinės žemės naudojimo paskirties ir žemės naudojimo būdo keitimas į kitos – visuomeninės paskirties objektų teritorijos. Su prašymu galima susipažinti nuo 2025-04-17 iki 2025-05-03 Lietuvos Respublikos teritorijų planavimo dokumentų rengimo ir teritorijų planavimo proceso valstybės priežiūros informacinėje svetainėje (TPDRIS.lt) ir Vilniaus rajono savivaldybės interneto svetainėje (vrsa.lt). Pasiūlymus dėl pagrindinės žemės naudojimo paskirties ir žemės naudojimo būdo keitimo galima teikti iki 2025-05-17 Vilniaus rajono savivaldybės administracijai (Rinktinės g. 50, Vilnius) raštu ir Lietuvos Respublikos teritorijų planavimo dokumentų rengimo ir teritorijų planavimo proceso valstybinės priežiūros informacinėje sistemoje.

Ištrauka iš Kraštovaizdžio spec. plano

Prašymas

2025-04-17

Informuojame apie pateiktą nagrinėti prašymą dėl žemės sklypo (kad. Nr.4110/0600:139), esančio Vilniaus r. sav., Zujūnų sen., Gudelių k. (toliau – Žemės sklypas) pagrindinės žemės naudojimo paskirties ir žemės naudojimo būdo keitimą. Prašymo tikslas: 0.0811 ha ploto žemės ūkio paskirties Žemės sklypo pagrindinės žemės naudojimo paskirties ir žemės naudojimo būdo keitimas į kitos – rekreacinės objektų teritorijos. Su prašymu galima susipažinti nuo 2025-04-17 iki 2025-05-03 Lietuvos Respublikos teritorijų planavimo dokumentų rengimo ir teritorijų planavimo proceso valstybės priežiūros informacinėje svetainėje (TPDRIS.lt) ir Vilniaus rajono savivaldybės interneto svetainėje (vrsa.lt). Pasiūlymus dėl pagrindinės žemės naudojimo paskirties ir žemės naudojimo būdo keitimo galima teikti iki 2025-05-17 Vilniaus rajono savivaldybės administracijai (Rinktinės g. 50, Vilnius) raštu ir Lietuvos Respublikos teritorijų planavimo dokumentų rengimo ir teritorijų planavimo proceso valstybinės priežiūros informacinėje sistemoje.

Ištrauka iš Kraštovaizdžio spec. plano

Prašymas

2025-04-17

Informuojame apie pateiktą nagrinėti prašymą dėl žemės sklypo (kad. Nr. 4162/0100:296), esančio Vilniaus r. sav., Nemėžio sen., Nemėžio k., Baltarusių g. 9 (toliau – Žemės sklypas) naudojimo būdo keitimo. Prašymo tikslas: 0,8302 ploto kitos paskirties Žemės sklypo žemės naudojimo būdo keitimas į kitos – komercinės paskirties objektu teritorijos. Su prašymu galima susipažinti nuo 2025-04-17 iki 2025-05-03 Lietuvos Respublikos teritorijų planavimo dokumentų rengimo ir teritorijų planavimo proceso valstybės priežiūros informacinėje svetainėje (TPDRIS.lt) ir Vilniaus rajono savivaldybės interneto svetainėje (vrsa.lt). Pasiūlymus dėl pagrindinės žemės naudojimo paskirties ir žemės naudojimo būdo keitimo galima teikti iki 2025-05-03 Vilniaus rajono savivaldybės administracijai (Rinktinės g. 50, Vilnius) raštu ir Lietuvos Respublikos teritorijų planavimo dokumentų rengimo ir teritorijų planavimo proceso valstybinės priežiūros informacinėje sistemoje.

Ištrauka iš Vilniaus rajono savivaldybės teritorijos dalies („U“ žemės naudojimo funkcinės zonos Avižienių, Juodšilių, Nemėžio, Pagirių, Riešės, Rudaminos ir Zujūnų seniūnijose) bendrojo plano

Prašymas

2025-04-17

Informuojame apie pateiktą nagrinėti prašymą dėl žemės sklypo (kad. Nr. 4174/0200:8104), esančio Vilniaus r. sav., Avižienių sen., Raisteniškių vs., Lapų g. 21 (toliau – Žemės sklypas) naudojimo būdo keitimo. Prašymo tikslas: 0,2216 ploto kitos paskirties Žemės sklypo žemės naudojimo būdo keitimas į kitos – komercinės paskirties objektu teritorijos. Su prašymu galima susipažinti nuo 2025-04-16 iki 2025-05-02 Lietuvos Respublikos teritorijų planavimo dokumentų rengimo ir teritorijų planavimo proceso valstybės priežiūros informacinėje svetainėje (TPDRIS.lt) ir Vilniaus rajono savivaldybės interneto svetainėje (vrsa.lt). Pasiūlymus dėl pagrindinės žemės naudojimo paskirties ir žemės naudojimo būdo keitimo galima teikti iki 2025-05-02 Vilniaus rajono savivaldybės administracijai (Rinktinės g. 50, Vilnius) raštu ir Lietuvos Respublikos teritorijų planavimo dokumentų rengimo ir teritorijų planavimo proceso valstybinės priežiūros informacinėje sistemoje.

Ištrauka iš Vilniaus rajono savivaldybės teritorijos dalies („U“ žemės naudojimo funkcinės zonos Avižienių, Juodšilių, Nemėžio, Pagirių, Riešės, Rudaminos ir Zujūnų seniūnijose) bendrojo plano

Prašymas

2025-04-16

Informuojame apie pateiktą nagrinėti prašymą dėl žemės sklypo (kad. Nr.4184/0100:175), esančio Vilniaus r. sav., Sudervės sen., Žemagulių k. (toliau – Žemės sklypas) pagrindinės žemės naudojimo paskirties ir žemės naudojimo būdo keitimą. Prašymo tikslas: 0,6101 ha ploto žemės ūkio paskirties Žemės sklypo pagrindinės žemės naudojimo paskirties ir žemės naudojimo būdo keitimas į kitos – vienbučių ir dvibučių gyvenamųjų pastatų teritorijos. Su prašymu galima susipažinti nuo 2025-04-16 iki 2025-05-02 Lietuvos Respublikos teritorijų planavimo dokumentų rengimo ir teritorijų planavimo proceso valstybės priežiūros informacinėje svetainėje (TPDRIS.lt) ir Vilniaus rajono savivaldybės interneto svetainėje (vrsa.lt). Pasiūlymus dėl pagrindinės žemės naudojimo paskirties ir žemės naudojimo būdo keitimo galima teikti iki 2025-05-02 Vilniaus rajono savivaldybės administracijai (Rinktinės g. 50, Vilnius) raštu ir Lietuvos Respublikos teritorijų planavimo dokumentų rengimo ir teritorijų planavimo proceso valstybinės priežiūros informacinėje sistemoje.

Ištrauka iš Kraštovaizdžio spec. plano

Prašymas

2025-04-16

Informuojame apie pateiktą nagrinėti prašymą dėl žemės sklypo (kad. Nr.4122/0200:543), esančio Vilniaus r. sav., Pagirių sen., Didžiųjų Lygainių k. (toliau – Žemės sklypas) pagrindinės žemės naudojimo paskirties ir žemės naudojimo būdo keitimą. Prašymo tikslas: 0,4500 ha ploto žemės ūkio paskirties Žemės sklypo pagrindinės žemės naudojimo paskirties ir žemės naudojimo būdo keitimas į kitos – vienbučių ir dvibučių gyvenamųjų pastatų teritorijos. Su prašymu galima susipažinti nuo 2025-04-16 iki 2025-05-02 Lietuvos Respublikos teritorijų planavimo dokumentų rengimo ir teritorijų planavimo proceso valstybės priežiūros informacinėje svetainėje (TPDRIS.lt) ir Vilniaus rajono savivaldybės interneto svetainėje (vrsa.lt). Pasiūlymus dėl pagrindinės žemės naudojimo paskirties ir žemės naudojimo būdo keitimo galima teikti iki 2025-05-02 Vilniaus rajono savivaldybės administracijai (Rinktinės g. 50, Vilnius) raštu ir Lietuvos Respublikos teritorijų planavimo dokumentų rengimo ir teritorijų planavimo proceso valstybinės priežiūros informacinėje sistemoje.

Ištrauka iš Kraštovaizdžio spec. plano

Prašymas

2025-04-16

Informuojame apie pateiktą nagrinėti prašymą dėl žemės sklypo (kad. Nr.4122/0200:542), esančio Vilniaus r. sav., Pagirių sen., Didžiųjų Lygainių k. (toliau – Žemės sklypas) pagrindinės žemės naudojimo paskirties ir žemės naudojimo būdo keitimą. Prašymo tikslas: 2,2000 ha ploto žemės ūkio paskirties Žemės sklypo pagrindinės žemės naudojimo paskirties ir žemės naudojimo būdo keitimas į kitos – vienbučių ir dvibučių gyvenamųjų pastatų teritorijos. Su prašymu galima susipažinti nuo 2025-04-16 iki 2025-05-02 Lietuvos Respublikos teritorijų planavimo dokumentų rengimo ir teritorijų planavimo proceso valstybės priežiūros informacinėje svetainėje (TPDRIS.lt) ir Vilniaus rajono savivaldybės interneto svetainėje (vrsa.lt). Pasiūlymus dėl pagrindinės žemės naudojimo paskirties ir žemės naudojimo būdo keitimo galima teikti iki 2025-05-02 Vilniaus rajono savivaldybės administracijai (Rinktinės g. 50, Vilnius) raštu ir Lietuvos Respublikos teritorijų planavimo dokumentų rengimo ir teritorijų planavimo proceso valstybinės priežiūros informacinėje sistemoje.

Ištrauka iš Kraštovaizdžio spec. plano

Prašymas

2025-04-16

Informuojame apie pateiktą nagrinėti prašymą dėl žemės sklypo (kad. Nr.4122/0200:541), esančio Vilniaus r. sav., Pagirių sen., Didžiųjų Lygainių k. (toliau – Žemės sklypas) pagrindinės žemės naudojimo paskirties ir žemės naudojimo būdo keitimą. Prašymo tikslas: 1,8000 ha ploto žemės ūkio paskirties Žemės sklypo pagrindinės žemės naudojimo paskirties ir žemės naudojimo būdo keitimas į kitos – vienbučių ir dvibučių gyvenamųjų pastatų teritorijos. Su prašymu galima susipažinti nuo 2025-04-16 iki 2025-05-02 Lietuvos Respublikos teritorijų planavimo dokumentų rengimo ir teritorijų planavimo proceso valstybės priežiūros informacinėje svetainėje (TPDRIS.lt) ir Vilniaus rajono savivaldybės interneto svetainėje (vrsa.lt). Pasiūlymus dėl pagrindinės žemės naudojimo paskirties ir žemės naudojimo būdo keitimo galima teikti iki 2025-05-02 Vilniaus rajono savivaldybės administracijai (Rinktinės g. 50, Vilnius) raštu ir Lietuvos Respublikos teritorijų planavimo dokumentų rengimo ir teritorijų planavimo proceso valstybinės priežiūros informacinėje sistemoje.

Ištrauka iš Kraštovaizdžio spec. plano

Prašymas

2025-04-16

Informuojame apie pateiktą nagrinėti prašymą dėl žemės sklypo (kad. Nr.4122/0200:540), esančio Vilniaus r. sav., Pagirių sen., Didžiųjų Lygainių k. (toliau – Žemės sklypas) pagrindinės žemės naudojimo paskirties ir žemės naudojimo būdo keitimą. Prašymo tikslas: 0,2400 ha ploto žemės ūkio paskirties Žemės sklypo pagrindinės žemės naudojimo paskirties ir žemės naudojimo būdo keitimas į kitos – vienbučių ir dvibučių gyvenamųjų pastatų teritorijos. Su prašymu galima susipažinti nuo 2025-04-16 iki 2025-05-02 Lietuvos Respublikos teritorijų planavimo dokumentų rengimo ir teritorijų planavimo proceso valstybės priežiūros informacinėje svetainėje (TPDRIS.lt) ir Vilniaus rajono savivaldybės interneto svetainėje (vrsa.lt). Pasiūlymus dėl pagrindinės žemės naudojimo paskirties ir žemės naudojimo būdo keitimo galima teikti iki 2025-05-02 Vilniaus rajono savivaldybės administracijai (Rinktinės g. 50, Vilnius) raštu ir Lietuvos Respublikos teritorijų planavimo dokumentų rengimo ir teritorijų planavimo proceso valstybinės priežiūros informacinėje sistemoje.

Ištrauka iš Kraštovaizdžio spec. plano

Prašymas

2025-04-16

Informuojame apie pateiktą nagrinėti prašymą dėl žemės sklypo (kad. Nr.4110/0400:816), esančio Vilniaus r. sav., Zujūnų sen., Koplyčninkų k. (toliau – Žemės sklypas) pagrindinės žemės naudojimo paskirties ir žemės naudojimo būdo keitimą. Prašymo tikslas: 0,2107 ha ploto žemės ūkio paskirties Žemės sklypo pagrindinės žemės naudojimo paskirties ir žemės naudojimo būdo keitimas į kitos – vienbučių ir dvibučių gyvenamųjų pastatų teritorijos. Su prašymu galima susipažinti nuo 2025-04-11 iki 2025-04-25 Lietuvos Respublikos teritorijų planavimo dokumentų rengimo ir teritorijų planavimo proceso valstybės priežiūros informacinėje svetainėje (TPDRIS.lt) ir Vilniaus rajono savivaldybės interneto svetainėje (vrsa.lt). Pasiūlymus dėl pagrindinės žemės naudojimo paskirties ir žemės naudojimo būdo keitimo galima teikti iki 2025-04-25 Vilniaus rajono savivaldybės administracijai (Rinktinės g. 50, Vilnius) raštu ir Lietuvos Respublikos teritorijų planavimo dokumentų rengimo ir teritorijų planavimo proceso valstybinės priežiūros informacinėje sistemoje.

Ištrauka iš Kraštovaizdžio spec. plano

Prašymas

2025-04-11

Informuojame apie pateiktą nagrinėti prašymą dėl žemės sklypo (kad. Nr. 4117/0400:5156 ), esančio Vilniaus r. sav., Riešės sen., Didžiųjų Gulbinų k., Pelėdų g. 6 (toliau – Žemės sklypas) naudojimo būdo keitimo. Prašymo tikslas: 0,1113 ploto kitos paskirties Žemės sklypo žemės naudojimo būdo keitimas į kitos – komercinės paskirties objektu teritorijos. Su prašymu galima susipažinti nuo 2025-04-11 iki 2025-04-25 Lietuvos Respublikos teritorijų planavimo dokumentų rengimo ir teritorijų planavimo proceso valstybės priežiūros informacinėje svetainėje (TPDRIS.lt) ir Vilniaus rajono savivaldybės interneto svetainėje (vrsa.lt). Pasiūlymus dėl pagrindinės žemės naudojimo paskirties ir žemės naudojimo būdo keitimo galima teikti iki 2025-04-25 Vilniaus rajono savivaldybės administracijai (Rinktinės g. 50, Vilnius) raštu ir Lietuvos Respublikos teritorijų planavimo dokumentų rengimo ir teritorijų planavimo proceso valstybinės priežiūros informacinėje sistemoje.

Ištrauka iš Vilniaus rajono savivaldybės teritorijos dalies („U“ žemės naudojimo funkcinės zonos Avižienių, Juodšilių, Nemėžio, Pagirių, Riešės, Rudaminos ir Zujūnų seniūnijose) bendrojo plano

Prašymas

2025-04-11

Informuojame apie pateiktą nagrinėti prašymą dėl žemės sklypo (kad. Nr. 4162/0200:1184 ), esančio Vilniaus r. sav., Nemėžio sen., Pakalniškių k. (toliau – Žemės sklypas) naudojimo būdo keitimo. Prašymo tikslas: 0,2462 ploto kitos paskirties Žemės sklypo žemės naudojimo būdo keitimas į kitos – vienbučių ir dvibučių gyvenamųjų pastatų teritorijos. Su prašymu galima susipažinti nuo 2025-04-10 iki 2025-04-24 Lietuvos Respublikos teritorijų planavimo dokumentų rengimo ir teritorijų planavimo proceso valstybės priežiūros informacinėje svetainėje (TPDRIS.lt) ir Vilniaus rajono savivaldybės interneto svetainėje (vrsa.lt). Pasiūlymus dėl pagrindinės žemės naudojimo paskirties ir žemės naudojimo būdo keitimo galima teikti iki 2025-04-24 Vilniaus rajono savivaldybės administracijai (Rinktinės g. 50, Vilnius) raštu ir Lietuvos Respublikos teritorijų planavimo dokumentų rengimo ir teritorijų planavimo proceso valstybinės priežiūros informacinėje sistemoje.

Ištrauka iš Vilniaus rajono savivaldybės teritorijos dalies („U“ žemės naudojimo funkcinės zonos Avižienių, Juodšilių, Nemėžio, Pagirių, Riešės, Rudaminos ir Zujūnų seniūnijose) bendrojo plano

Prašymas

2025-04-10

Priimtas sprendimas dėl žemės ūkio paskirties žemės sklypo (kadastro Nr. 4184/0300:266), esančio Vilniaus r. sav., Sudervės sen., Sudervės k., Maišiagalos g. 2, pagrindinės žemės naudojimo paskirties ir žemės naudojimo būdo keitimo.

Sprendimas

2025-04-09

Priimtas sprendimas dėl žemės ūkio paskirties žemės sklypo (kadastro Nr. 4120/0100:343), esančio Vilniaus r. sav., Nemenčinės sen., Krikščioniškių k., pagrindinės žemės naudojimo paskirties ir žemės naudojimo būdo keitimo.

Sprendimas

2025-04-09

Informuojame apie pateiktą nagrinėti prašymą dėl žemės sklypo (kad. Nr. 4174/0300:504), esančio Vilniaus r. sav., Avižienių sen., Galinės k., Gandrų g. 16 (toliau – Žemės sklypi) naudojimo būdo keitimo. Prašymo tikslas: 0,4520 ploto kitos paskirties Žemės sklypo žemės naudojimo būdo keitimas į kitos – komercinės paskirties objektų teritorijos. Su prašymu galima susipažinti nuo 2025-04-09 iki 2025-04-23 Lietuvos Respublikos teritorijų planavimo dokumentų rengimo ir teritorijų planavimo proceso valstybės priežiūros informacinėje svetainėje (TPDRIS.lt) ir Vilniaus rajono savivaldybės interneto svetainėje (vrsa.lt). Pasiūlymus dėl pagrindinės žemės naudojimo paskirties ir žemės naudojimo būdo keitimo galima teikti iki 2025-04-23 Vilniaus rajono savivaldybės administracijai (Rinktinės g. 50, Vilnius) raštu ir Lietuvos Respublikos teritorijų planavimo dokumentų rengimo ir teritorijų planavimo proceso valstybinės priežiūros informacinėje sistemoje.

Ištrauka iš Kraštovaizdžio spec. plano

Prašymas

2025-04-09

Informuojame apie pateiktą nagrinėti prašymą dėl žemės sklypo (kad. Nr. 4174/0300:505), esančio Vilniaus r. sav., Avižienių sen., Galinės k., Gandrų g. 14 (toliau – Žemės sklypi) naudojimo būdo keitimo. Prašymo tikslas: 0,1650 ploto kitos paskirties Žemės sklypo žemės naudojimo būdo keitimas į kitos – komercinės paskirties objektų teritorijos. Su prašymu galima susipažinti nuo 2025-04-09 iki 2025-04-23 Lietuvos Respublikos teritorijų planavimo dokumentų rengimo ir teritorijų planavimo proceso valstybės priežiūros informacinėje svetainėje (TPDRIS.lt) ir Vilniaus rajono savivaldybės interneto svetainėje (vrsa.lt). Pasiūlymus dėl pagrindinės žemės naudojimo paskirties ir žemės naudojimo būdo keitimo galima teikti iki 2025-04-23 Vilniaus rajono savivaldybės administracijai (Rinktinės g. 50, Vilnius) raštu ir Lietuvos Respublikos teritorijų planavimo dokumentų rengimo ir teritorijų planavimo proceso valstybinės priežiūros informacinėje sistemoje.

Ištrauka iš Kraštovaizdžio spec. plano

Prašymas

2025-04-09

Priimtas sprendimas dėl žemės sklypo (kadastro Nr. 4154/2600:212), esančio Vilniaus r. sav., Marijampolio sen., Parudaminio k., Mokyklos g. 7D, žemės naudojimo būdo keitimo.

Sprendimas

2025-04-08

Priimtas sprendimas dėl žemės sklypo (kadastro Nr. 4174/0100:836) ir 0,6145 ha ploto kitos paskirties žemės sklypo (kadastro Nr. 4174/0100:838), esančių Vilniaus r. sav., Avižienių sen., Riešės k., žemės naudojimo būdo nustatymo.

Sprendimas

2025-04-08

Priimtas sprendimas dėl žemės ūkio paskirties žemės sklypo (kadastro Nr. 4162/0200:361), esančio Vilniaus r. sav., Nemėžio sen., Nemėžio k., pagrindinės žemės naudojimo paskirties ir žemės naudojimo būdo keitimo.

Sprendimas

2025-04-08

Priimtas sprendimas dėl žemės ūkio paskirties žemės sklypo (kadastro Nr. 4140/0400:307), esančio Vilniaus r. sav., Kalvelių sen., Kalvelių k., pagrindinės žemės naudojimo paskirties ir žemės naudojimo būdo keitimo.

Sprendimas

2025-04-08

Informuojame apie pateiktą nagrinėti prašymą dėl žemės sklypo (kad. Nr.4196/0200:81), esančio Vilniaus r. sav., Paberžės sen., Vilniškių k. (toliau – Žemės sklypas) pagrindinės žemės naudojimo paskirties ir žemės naudojimo būdo keitimą. Prašymo tikslas: 0,3228 ha ploto žemės ūkio paskirties Žemės sklypo pagrindinės žemės naudojimo paskirties ir žemės naudojimo būdo keitimas į kitos – rekreacinės paskirties teritorijos. Su prašymu galima susipažinti nuo 2025-04-03 iki 2025-04-17 Lietuvos Respublikos teritorijų planavimo dokumentų rengimo ir teritorijų planavimo proceso valstybės priežiūros informacinėje svetainėje (TPDRIS.lt) ir Vilniaus rajono savivaldybės interneto svetainėje (vrsa.lt). Pasiūlymus dėl pagrindinės žemės naudojimo paskirties ir žemės naudojimo būdo keitimo galima teikti iki 2025-04-17 Vilniaus rajono savivaldybės administracijai (Rinktinės g. 50, Vilnius) raštu ir Lietuvos Respublikos teritorijų planavimo dokumentų rengimo ir teritorijų planavimo proceso valstybinės priežiūros informacinėje sistemoje.

Ištrauka iš Kraštovaizdžio spec. plano

Prašymas

2025-04-03

Informuojame apie pateiktą nagrinėti prašymą dėl žemės sklypo (kad. Nr.4134/0300:31), esančio Vilniaus r. sav., Paberžės sen., Juodonių k. (toliau – Žemės sklypas) naudojimo būdo nustatymo. Prašymo tikslas: 30,2500 ha ploto žemės ūkio paskirties Žemės sklypo žemės naudojimo būdo nustatymas: kiti – žemės ūkio paskirties žamės sklypai. Su prašymu galima susipažinti nuo 2025-04-03 iki 2025-04-17 Lietuvos Respublikos teritorijų planavimo dokumentų rengimo ir teritorijų planavimo proceso valstybės priežiūros informacinėje svetainėje (TPDRIS.lt) ir Vilniaus rajono savivaldybės interneto svetainėje (vrsa.lt). Pasiūlymus dėl pagrindinės žemės naudojimo paskirties ir žemės naudojimo būdo keitimo galima teikti iki 2025-04-17 Vilniaus rajono savivaldybės administracijai (Rinktinės g. 50, Vilnius) raštu ir Lietuvos Respublikos teritorijų planavimo dokumentų rengimo ir teritorijų planavimo proceso valstybinės priežiūros informacinėje sistemoje.

Ištrauka iš Kraštovaizdžio spec. plano

Prašymas

2025-04-03

Informuojame apie pateiktą nagrinėti prašymą dėl žemės sklypo (kad. Nr.4162/0100:897), esančio Vilniaus r. sav., Nemėžio sen., Nemėžio k. (toliau – Žemės sklypas) pagrindinės žemės naudojimo paskirties ir žemės naudojimo būdo keitimą. Prašymo tikslas: 0,4000 ha ploto žemės ūkio paskirties Žemės sklypo pagrindinės žemės naudojimo paskirties ir žemės naudojimo būdo keitimas į kitos – pramonės ir sandėliavimo objektų teritorijos. Su prašymu galima susipažinti nuo 2025-04-02 iki 2025-04-16 Lietuvos Respublikos teritorijų planavimo dokumentų rengimo ir teritorijų planavimo proceso valstybės priežiūros informacinėje svetainėje (TPDRIS.lt) ir Vilniaus rajono savivaldybės interneto svetainėje (vrsa.lt). Pasiūlymus dėl pagrindinės žemės naudojimo paskirties ir žemės naudojimo būdo keitimo galima teikti iki 2025-04-16 Vilniaus rajono savivaldybės administracijai (Rinktinės g. 50, Vilnius) raštu ir Lietuvos Respublikos teritorijų planavimo dokumentų rengimo ir teritorijų planavimo proceso valstybinės priežiūros informacinėje sistemoje.

Ištrauka iš Vilniaus rajono savivaldybės teritorijos dalies („U“ žemės naudojimo funkcinės zonos Avižienių, Juodšilių, Nemėžio, Pagirių, Riešės, Rudaminos ir Zujūnų seniūnijose) bendrojo plano

Prašymas

2025-04-02

Informuojame apie pateiktą nagrinėti prašymą dėl žemės sklypo (kad. Nr.4162/0100:3044), esančio Vilniaus r. sav., Nemėžio sen., Nemėžio k. (toliau – Žemės sklypas) pagrindinės žemės naudojimo paskirties ir žemės naudojimo būdo keitimą. Prašymo tikslas: 0,4948 ha ploto žemės ūkio paskirties Žemės sklypo pagrindinės žemės naudojimo paskirties ir žemės naudojimo būdo keitimas į kitos – pramonės ir sandėliavimo objektų teritorijos. Su prašymu galima susipažinti nuo 2025-04-02 iki 2025-04-16 Lietuvos Respublikos teritorijų planavimo dokumentų rengimo ir teritorijų planavimo proceso valstybės priežiūros informacinėje svetainėje (TPDRIS.lt) ir Vilniaus rajono savivaldybės interneto svetainėje (vrsa.lt). Pasiūlymus dėl pagrindinės žemės naudojimo paskirties ir žemės naudojimo būdo keitimo galima teikti iki 2025-04-16 Vilniaus rajono savivaldybės administracijai (Rinktinės g. 50, Vilnius) raštu ir Lietuvos Respublikos teritorijų planavimo dokumentų rengimo ir teritorijų planavimo proceso valstybinės priežiūros informacinėje sistemoje.

Ištrauka iš Vilniaus rajono savivaldybės teritorijos dalies („U“ žemės naudojimo funkcinės zonos Avižienių, Juodšilių, Nemėžio, Pagirių, Riešės, Rudaminos ir Zujūnų seniūnijose) bendrojo plano

Prašymas

2025-04-02

Informuojame apie pateiktą nagrinėti prašymą dėl žemės sklypo (kad. Nr.4157/0100:18 ) esančio Vilniaus r. sav., Lavoriškių sen., Kirtimų k. (toliau – Žemės sklypas) pagrindinės žemės naudojimo paskirties ir  naudojimo būdo keitimo. Prašymo tikslas: 22,5135 ha ploto žemės ūkio paskirties Žemės sklypo pagrindinės žemės naudojimo paskirties ir žemės naudojimo būdo keitimas į miško ūkio paskirties - ūkinių miškų sklypai. Su prašymu galima susipažinti nuo 2025-04-02 iki 2025-04-16 Lietuvos Respublikos teritorijų planavimo dokumentų rengimo ir teritorijų planavimo proceso valstybės priežiūros informacinėje svetainėje (TPDRIS.lt) ir Vilniaus rajono savivaldybės interneto svetainėje (vrsa.lt). Pasiūlymus dėl pagrindinės žemės naudojimo paskirties ir žemės naudojimo būdo keitimo galima teikti iki 2025-04-16 Vilniaus rajono savivaldybės administracijai (Rinktinės g. 50, Vilnius) raštu ir Lietuvos Respublikos teritorijų planavimo dokumentų rengimo ir teritorijų planavimo proceso valstybinės priežiūros informacinėje sistemoje.

Ištrauka iš Kraštovaizdžio spec. plano

Prašymas

2025-04-02

Informuojame apie pateiktą nagrinėti prašymą dėl žemės sklypo (kad. Nr. 4117/0400:5247), esančio Vilniaus r. sav., Riešės sen., Didžiųjų Gulbinų k., Pelėdų g. 5A (toliau – Žemės sklypas) naudojimo būdo keitimo. Prašymo tikslas 0.1577 ploto kitos paskirties Žemės sklypo žemės naudojimo būdo keitimas į kitos – pramonės ir sandėliavimo objektų teritorijos. Su prašymu galima susipažinti nuo 2025-04-01 iki 2025-04-15 Lietuvos Respublikos teritorijų planavimo dokumentų rengimo ir teritorijų planavimo proceso valstybės priežiūros informacinėje svetainėje (TPDRIS.lt) ir Vilniaus rajono savivaldybės interneto svetainėje (vrsa.lt). Pasiūlymus dėl pagrindinės žemės naudojimo paskirties ir žemės naudojimo būdo keitimo galima teikti iki 2025-04-15 Vilniaus rajono savivaldybės administracijai (Rinktinės g. 50, Vilnius) raštu ir Lietuvos Respublikos teritorijų planavimo dokumentų rengimo ir teritorijų planavimo proceso valstybinės priežiūros informacinėje sistemoje.

Ištrauka iš Vilniaus rajono savivaldybės teritorijos dalies („U“ žemės naudojimo funkcinės zonos Avižienių, Juodšilių, Nemėžio, Pagirių, Riešės, Rudaminos ir Zujūnų seniūnijose) bendrojo plano

Prašymas

2025-04-01

Informuojame apie pateiktą nagrinėti prašymą dėl žemės sklypo (kad. Nr.: 4184/0100:9984), esančio Vilniaus r. sav., Sudervės sen., Geležių k. (toliau – Žemės sklypas) pagrindinės žemės naudojimo paskirties ir  naudojimo būdo keitimo. Prašymo tikslas: 0,5010 ha ploto žemės ūkio paskirties Žemės sklypo pagrindinės žemės naudojimo paskirties ir žemės naudojimo būdo keitimas į kitos – vienbučių ir dvibučių gyvenamųjų pastatų teritorijos. Su prašymu galima susipažinti nuo 2025-04-01 iki 2025-04-15 Lietuvos Respublikos teritorijų planavimo dokumentų rengimo ir teritorijų planavimo proceso valstybės priežiūros informacinėje svetainėje (TPDRIS.lt) ir Vilniaus rajono savivaldybės interneto svetainėje (vrsa.lt). Pasiūlymus dėl pagrindinės žemės naudojimo paskirties ir žemės naudojimo būdo keitimo galima teikti iki 2025-04-15 Vilniaus rajono savivaldybės administracijai (Rinktinės g. 50, Vilnius) raštu ir Lietuvos Respublikos teritorijų planavimo dokumentų rengimo ir teritorijų planavimo proceso valstybinės priežiūros informacinėje sistemoje.

Ištrauka iš Kraštovaizdžio spec. plano

Prašymas

2025-04-01

Informuojame apie pateiktą nagrinėti prašymą dėl žemės sklypo (kad. Nr.4152/0500:331), esančio Vilniaus r. sav., Mickūnų sen., Kairėnų k. (toliau – Žemės sklypas) naudojimo būdo nustatymo. Prašymo tikslas: 2,7353 ha ploto žemės ūkio paskirties Žemės sklypo žemės naudojimo būdo nustatymas: kiti – žemės ūkio paskirties žamės sklypai. Su prašymu galima susipažinti nuo 2025-04-01 iki 2025-04-15 Lietuvos Respublikos teritorijų planavimo dokumentų rengimo ir teritorijų planavimo proceso valstybės priežiūros informacinėje svetainėje (TPDRIS.lt) ir Vilniaus rajono savivaldybės interneto svetainėje (vrsa.lt). Pasiūlymus dėl pagrindinės žemės naudojimo paskirties ir žemės naudojimo būdo keitimo galima teikti iki 2025-04-15 Vilniaus rajono savivaldybės administracijai (Rinktinės g. 50, Vilnius) raštu ir Lietuvos Respublikos teritorijų planavimo dokumentų rengimo ir teritorijų planavimo proceso valstybinės priežiūros informacinėje sistemoje.

Ištrauka iš Kraštovaizdžio spec. plano

Prašymas

2025-04-01

Priimtas sprendimas dėl žemės sklypo (kadastro Nr. 4177/0200:280), esančio Vilniaus r. sav., Rudaminos sen., Rudaminos k., Gamyklos g. 24, žemės naudojimo būdo nustatymo.

Sprendimas

2025-03-31

Priimtas sprendimas dėl žemės sklypo (kadastro Nr. 4142/0300:614), esančio Vilniaus r. sav., Šatrininkų sen., Grigaičių k., Geležinkelio g. 13A, žemės naudojimo būdo keitimo.

Sprendimas

2025-03-31

Informuojame apie pateiktą nagrinėti prašymą dėl žemės sklypo (kad. Nr. 4162/0200:263), esančio Vilniaus r. sav., Nemėžio sen., Nemėžio k. (toliau – Žemės sklypas) naudojimo būdo keitimo. Prašymo tikslas 1.9371 ploto kitos paskirties Žemės sklypo žemės naudojimo būdo keitimas į kitos – pramonės ir sandėliavimo objektų teritorijos. Su prašymu galima susipažinti nuo 2025-03-28 iki 2025-04-11 Lietuvos Respublikos teritorijų planavimo dokumentų rengimo ir teritorijų planavimo proceso valstybės priežiūros informacinėje svetainėje (TPDRIS.lt) ir Vilniaus rajono savivaldybės interneto svetainėje (vrsa.lt). Pasiūlymus dėl pagrindinės žemės naudojimo paskirties ir žemės naudojimo būdo keitimo galima teikti iki 2025-04-11 Vilniaus rajono savivaldybės administracijai (Rinktinės g. 50, Vilnius) raštu ir Lietuvos Respublikos teritorijų planavimo dokumentų rengimo ir teritorijų planavimo proceso valstybinės priežiūros informacinėje sistemoje.

Ištrauka iš Vilniaus rajono savivaldybės teritorijos dalies („U“ žemės naudojimo funkcinės zonos Avižienių, Juodšilių, Nemėžio, Pagirių, Riešės, Rudaminos ir Zujūnų seniūnijose) bendrojo plano

Prašymas

2025-03-28

Informuojame apie pateiktą nagrinėti prašymą dėl žemės sklypo (kad. Nr.4152/0500:332), esančio Vilniaus r. sav., Mickūnų sen., Kairėnų k. (toliau – Žemės sklypas) naudojimo būdo nustatymo. Prašymo tikslas: 6,5900 ha ploto žemės ūkio paskirties Žemės sklypo žemės naudojimo būdo nustatymas: kiti – žemės ūkio paskirties žamės sklypai. Su prašymu galima susipažinti nuo 2025-03-16 iki 2025-04-09 Lietuvos Respublikos teritorijų planavimo dokumentų rengimo ir teritorijų planavimo proceso valstybės priežiūros informacinėje svetainėje (TPDRIS.lt) ir Vilniaus rajono savivaldybės interneto svetainėje (vrsa.lt). Pasiūlymus dėl pagrindinės žemės naudojimo paskirties ir žemės naudojimo būdo keitimo galima teikti iki 2025-04-09 Vilniaus rajono savivaldybės administracijai (Rinktinės g. 50, Vilnius) raštu ir Lietuvos Respublikos teritorijų planavimo dokumentų rengimo ir teritorijų planavimo proceso valstybinės priežiūros informacinėje sistemoje.

Ištrauka iš Kraštovaizdžio spec. plano

Prašymas

2025-03-26

Informuojame apie pateiktą nagrinėti prašymą dėl žemės sklypo (kad. Nr. 4147/0100:3), esančio Vilniaus r. sav., Maišiagala, Algirdo g. 9 (toliau – Žemės sklypi) naudojimo būdo keitimo. Prašymo tikslas: 0,2731 ploto kitos paskirties Žemės sklypo žemės naudojimo būdo keitimas į kitos – komercinės paskirties objektų teritorijos. Su prašymu galima susipažinti nuo 2025-03-26 iki 2025-04-09 Lietuvos Respublikos teritorijų planavimo dokumentų rengimo ir teritorijų planavimo proceso valstybės priežiūros informacinėje svetainėje (TPDRIS.lt) ir Vilniaus rajono savivaldybės interneto svetainėje (vrsa.lt). Pasiūlymus dėl pagrindinės žemės naudojimo paskirties ir žemės naudojimo būdo keitimo galima teikti iki 2025-04-09 Vilniaus rajono savivaldybės administracijai (Rinktinės g. 50, Vilnius) raštu ir Lietuvos Respublikos teritorijų planavimo dokumentų rengimo ir teritorijų planavimo proceso valstybinės priežiūros informacinėje sistemoje.

Ištrauka iš Kraštovaizdžio spec. plano

Prašymas

2025-03-26

Informuojame apie pateiktą nagrinėti prašymą dėl žemės sklypo (kad. Nr.4154/1600:230), esančio Vilniaus r. sav., Marijampolio sen., Pakovarniškių k. (toliau – Žemės sklypas) pagrindinės žemės naudojimo paskirties ir  naudojimo būdo keitimo. Prašymo tikslas: 1,3500h a ploto žemės ūkio paskirties Žemės sklypo pagrindinės žemės naudojimo paskirties ir žemės naudojimo būdo keitimas į kitos – vienbučių ir dvibučių gyvenamųjų pastatų teritorijos. Su prašymu galima susipažinti nuo 2025-03-26 iki 2025-04-09 Lietuvos Respublikos teritorijų planavimo dokumentų rengimo ir teritorijų planavimo proceso valstybės priežiūros informacinėje svetainėje (TPDRIS.lt) ir Vilniaus rajono savivaldybės interneto svetainėje (vrsa.lt). Pasiūlymus dėl pagrindinės žemės naudojimo paskirties ir žemės naudojimo būdo keitimo galima teikti iki 2025-04-09 Vilniaus rajono savivaldybės administracijai (Rinktinės g. 50, Vilnius) raštu ir Lietuvos Respublikos teritorijų planavimo dokumentų rengimo ir teritorijų planavimo proceso valstybinės priežiūros informacinėje sistemoje.

Ištrauka iš Kraštovaizdžio spec. plano

Prašymas

2025-03-26

Priimtas sprendimas dėl žemės ūkio paskirties žemės sklypo (kadadastro Nr. 4162/0400:2508), esančio Vilniaus r. sav., Nemėžio sen., Skaidiškių k., pagrindinės žemės naudojimo paskirties ir žemės naudojimo būdo keitimo.

Sprendimas

2025-03-25

Informuojame apie pateiktą nagrinėti prašymą dėl žemės sklypo (kad. Nr.4110/0400:538), esančio Vilniaus r. sav., Zujūnų sen., Koplyčninkų k. (toliau – Žemės sklypas) pagrindinės žemės naudojimo paskirties ir  naudojimo būdo keitimo. Prašymo tikslas: 1,3500h a ploto žemės ūkio paskirties Žemės sklypo pagrindinės žemės naudojimo paskirties ir žemės naudojimo būdo keitimas įį kitos – rekreacinės paskirties teritorijos. Su prašymu galima susipažinti nuo 2025-03-25 iki 2025-04-08 Lietuvos Respublikos teritorijų planavimo dokumentų rengimo ir teritorijų planavimo proceso valstybės priežiūros informacinėje svetainėje (TPDRIS.lt) ir Vilniaus rajono savivaldybės interneto svetainėje (vrsa.lt). Pasiūlymus dėl pagrindinės žemės naudojimo paskirties ir žemės naudojimo būdo keitimo galima teikti iki 2025-04-08 Vilniaus rajono savivaldybės administracijai (Rinktinės g. 50, Vilnius) raštu ir Lietuvos Respublikos teritorijų planavimo dokumentų rengimo ir teritorijų planavimo proceso valstybinės priežiūros informacinėje sistemoje.

Ištrauka iš Kraštovaizdžio spec. plano

Prašymas

2025-03-25

Informuojame apie pateiktą nagrinėti prašymą dėl žemės sklypo (kad. Nr. 4162/0200:1123), esančio Vilniaus r. sav., Nemėžio sen., Daržininkų k., Senojo Kelio g. 36 (toliau – Žemės sklypas) naudojimo būdo keitimo. Prašymo tikslas: 0,5971 ploto kitos paskirties Žemės sklypo žemės naudojimo būdo keitimas į kitos – vienbučių ir dvibučių gyvenamųjų pastatų teritorijos. Su prašymu galima susipažinti nuo 2025-03-25 iki 2025-04-08 Lietuvos Respublikos teritorijų planavimo dokumentų rengimo ir teritorijų planavimo proceso valstybės priežiūros informacinėje svetainėje (TPDRIS.lt) ir Vilniaus rajono savivaldybės interneto svetainėje (vrsa.lt). Pasiūlymus dėl pagrindinės žemės naudojimo paskirties ir žemės naudojimo būdo keitimo galima teikti iki 2025-04-08 Vilniaus rajono savivaldybės administracijai (Rinktinės g. 50, Vilnius) raštu ir Lietuvos Respublikos teritorijų planavimo dokumentų rengimo ir teritorijų planavimo proceso valstybinės priežiūros informacinėje sistemoje.

Ištrauka iš Vilniaus rajono savivaldybės teritorijos dalies („U“ žemės naudojimo funkcinės zonos Avižienių, Juodšilių, Nemėžio, Pagirių, Riešės, Rudaminos ir Zujūnų seniūnijose) bendrojo plano

Prašymas

2025-03-25

Informuojame apie pateiktą nagrinėti prašymą dėl žemės sklypo (kad. Nr.4167/0100:124), esančio Vilniaus r. sav., Pagirių sen., Baltosios Vokės k. (toliau – Žemės sklypas) pagrindinės žemės naudojimo paskirties ir žemės naudojimo būdo keitimą. Prašymo tikslas: 0,5000 ha ploto žemės ūkio paskirties Žemės sklypo pagrindinės žemės naudojimo paskirties ir žemės naudojimo būdo keitimas į kitos – pramonės ir sandėliavimo objektų teritorijos. Su prašymu galima susipažinti nuo 2025-03-20 iki 2025-04-03 Lietuvos Respublikos teritorijų planavimo dokumentų rengimo ir teritorijų planavimo proceso valstybės priežiūros informacinėje svetainėje (TPDRIS.lt) ir Vilniaus rajono savivaldybės interneto svetainėje (vrsa.lt). Pasiūlymus dėl pagrindinės žemės naudojimo paskirties ir žemės naudojimo būdo keitimo galima teikti iki 2025-04-02 Vilniaus rajono savivaldybės administracijai (Rinktinės g. 50, Vilnius) raštu ir Lietuvos Respublikos teritorijų planavimo dokumentų rengimo ir teritorijų planavimo proceso valstybinės priežiūros informacinėje sistemoje.

Ištrauka iš Vilniaus rajono savivaldybės teritorijos dalies („U“ žemės naudojimo funkcinės zonos Avižienių, Juodšilių, Nemėžio, Pagirių, Riešės, Rudaminos ir Zujūnų seniūnijose) bendrojo plano

Prašymas

2025-03-20

Informuojame apie pateiktą nagrinėti prašymą dėl žemės sklypo (kad. Nr. 4184/0300:266), esančio Vilniaus r. sav., Sudervės sen., Sudervės k., Maišiagalos g. 2 (toliau – Žemės sklypas)  žemės  naudojimo būdo keitimo. Prašymo tikslas: 0,0789 ploto kitos paskirties Žemės sklypo žemės naudojimo būdo keitimas į komercinės paskirties objektų teritorijos. Su prašymu galima susipažinti nuo 2025-03-20 iki 2025-04-02 Lietuvos Respublikos teritorijų planavimo dokumentų rengimo ir teritorijų planavimo proceso valstybės priežiūros informacinėje svetainėje (TPDRIS.lt) ir Vilniaus rajono savivaldybės interneto svetainėje (vrsa.lt). Pasiūlymus dėl pagrindinės žemės naudojimo paskirties ir žemės naudojimo būdo keitimo galima teikti iki 2025-04-02 Vilniaus rajono savivaldybės administracijai (Rinktinės g. 50, Vilnius) raštu ir Lietuvos Respublikos teritorijų planavimo dokumentų rengimo ir teritorijų planavimo proceso valstybinės priežiūros informacinėje sistemoje.

Vilniaus rajono savivaldybės teritorijos dalies („ZRg“ žemės naudojimo funkcinės zonos Sudervės seniūnijoje) bendrojo plano ištrauka)

Prašymas

2025-03-20

Informuojame apie pateiktą nagrinėti prašymą dėl žemės sklypo (kad. Nr.4182/0200:562), esančio Vilniaus r. sav., Rukainių sen., Lankelių k. (toliau – Žemės sklypas) pagrindinės žemės naudojimo paskirties ir  naudojimo būdo keitimo. Prašymo tikslas: 4,8469h a ploto žemės ūkio paskirties Žemės sklypo pagrindinės žemės naudojimo paskirties ir žemės naudojimo būdo keitimas į miško ūkio paskirties - ūkinių miškų sklypai. Su prašymu galima susipažinti nuo 2025-03-20 iki 2025-04-02 Lietuvos Respublikos teritorijų planavimo dokumentų rengimo ir teritorijų planavimo proceso valstybės priežiūros informacinėje svetainėje (TPDRIS.lt) ir Vilniaus rajono savivaldybės interneto svetainėje (vrsa.lt). Pasiūlymus dėl pagrindinės žemės naudojimo paskirties ir žemės naudojimo būdo keitimo galima teikti iki 2025-04-02 Vilniaus rajono savivaldybės administracijai (Rinktinės g. 50, Vilnius) raštu ir Lietuvos Respublikos teritorijų planavimo dokumentų rengimo ir teritorijų planavimo proceso valstybinės priežiūros informacinėje sistemoje.

Ištrauka iš Kraštovaizdžio spec. plano

Prašymas

2025-03-20

Informuojame apie pateiktą nagrinėti prašymą dėl žemės sklypo (kad. Nr.4162/0100:807), esančio Vilniaus r. sav., Nemėžio sen., Katiliškių vs. (toliau – Žemės sklypas) pagrindinės žemės naudojimo paskirties ir žemės naudojimo būdo keitimą. Prašymo tikslas: 4,2000 ha ploto žemės ūkio paskirties Žemės sklypo pagrindinės žemės naudojimo paskirties ir žemės naudojimo būdo keitimas į kitos – vienbučių ir dvibučių gyvenamųjų pastatų teritorijos. Su prašymu galima susipažinti nuo 2025-03-20 iki 2025-04-03 Lietuvos Respublikos teritorijų planavimo dokumentų rengimo ir teritorijų planavimo proceso valstybės priežiūros informacinėje svetainėje (TPDRIS.lt) ir Vilniaus rajono savivaldybės interneto svetainėje (vrsa.lt). Pasiūlymus dėl pagrindinės žemės naudojimo paskirties ir žemės naudojimo būdo keitimo galima teikti iki 2025-04-02 Vilniaus rajono savivaldybės administracijai (Rinktinės g. 50, Vilnius) raštu ir Lietuvos Respublikos teritorijų planavimo dokumentų rengimo ir teritorijų planavimo proceso valstybinės priežiūros informacinėje sistemoje.

Ištrauka iš Vilniaus rajono savivaldybės teritorijos dalies („U“ žemės naudojimo funkcinės zonos Avižienių, Juodšilių, Nemėžio, Pagirių, Riešės, Rudaminos ir Zujūnų seniūnijose) bendrojo plano

Prašymas

2025-03-20

Informuojame apie pateiktą nagrinėti prašymą dėl žemės sklypo (kad. Nr.4170/0800:50), esančio Vilniaus r. sav., Riešės sen., Žalesos k. (toliau – Žemės sklypas) pagrindinės žemės naudojimo paskirties ir žemės naudojimo būdo keitimą. Prašymo tikslas: 4,2000 ha ploto žemės ūkio paskirties Žemės sklypo pagrindinės žemės naudojimo paskirties ir žemės naudojimo būdo keitimas į kitos – vienbučių ir dvibučių gyvenamųjų pastatų teritorijos. Su prašymu galima susipažinti nuo 2025-03-19 iki 2025-04-02 Lietuvos Respublikos teritorijų planavimo dokumentų rengimo ir teritorijų planavimo proceso valstybės priežiūros informacinėje svetainėje (TPDRIS.lt) ir Vilniaus rajono savivaldybės interneto svetainėje (vrsa.lt). Pasiūlymus dėl pagrindinės žemės naudojimo paskirties ir žemės naudojimo būdo keitimo galima teikti iki 2025-04-02 Vilniaus rajono savivaldybės administracijai (Rinktinės g. 50, Vilnius) raštu ir Lietuvos Respublikos teritorijų planavimo dokumentų rengimo ir teritorijų planavimo proceso valstybinės priežiūros informacinėje sistemoje.

Ištrauka iš Kraštovaizdžio spec. plano

Prašymas

2025-03-19

Informuojame apie pateiktą nagrinėti prašymą dėl žemės sklypo (kad. Nr.4134/0300:113), esančio Vilniaus r. sav., Paberžės sen., Pociūnų k. (toliau – Žemės sklypas) pagrindinės žemės naudojimo paskirties ir žemės naudojimo būdo keitimą. Prašymo tikslas: 0,9400 ha ploto žemės ūkio paskirties Žemės sklypo pagrindinės žemės naudojimo paskirties ir žemės naudojimo būdo keitimas į kitos – rekreacinės paskirties teritorijos. Su prašymu galima susipažinti nuo 2025-03-19 iki 2025-04-02 Lietuvos Respublikos teritorijų planavimo dokumentų rengimo ir teritorijų planavimo proceso valstybės priežiūros informacinėje svetainėje (TPDRIS.lt) ir Vilniaus rajono savivaldybės interneto svetainėje (vrsa.lt). Pasiūlymus dėl pagrindinės žemės naudojimo paskirties ir žemės naudojimo būdo keitimo galima teikti iki 2025-04-02 Vilniaus rajono savivaldybės administracijai (Rinktinės g. 50, Vilnius) raštu ir Lietuvos Respublikos teritorijų planavimo dokumentų rengimo ir teritorijų planavimo proceso valstybinės priežiūros informacinėje sistemoje.

Ištrauka iš Kraštovaizdžio spec. plano

Prašymas

2025-03-19

Informuojame apie pateiktą nagrinėti prašymą dėl žemės sklypo (kad. Nr.4167/0200:1253), esančio Vilniaus r. sav., Pagirių sen., Melekonių k. (toliau – Žemės sklypas) pagrindinės žemės naudojimo paskirties ir žemės naudojimo būdo keitimą. Prašymo tikslas: 0,2500 ha ploto žemės ūkio paskirties Žemės sklypo pagrindinės žemės naudojimo paskirties ir žemės naudojimo būdo keitimas į kitos – vienbučių ir dvibučių gyvenamųjų pastatų teritorijos. Su prašymu galima susipažinti nuo 2025-03-18 iki 2025-04-01 Lietuvos Respublikos teritorijų planavimo dokumentų rengimo ir teritorijų planavimo proceso valstybės priežiūros informacinėje svetainėje (TPDRIS.lt) ir Vilniaus rajono savivaldybės interneto svetainėje (vrsa.lt). Pasiūlymus dėl pagrindinės žemės naudojimo paskirties ir žemės naudojimo būdo keitimo galima teikti iki 2025-04-01 Vilniaus rajono savivaldybės administracijai (Rinktinės g. 50, Vilnius) raštu ir Lietuvos Respublikos teritorijų planavimo dokumentų rengimo ir teritorijų planavimo proceso valstybinės priežiūros informacinėje sistemoje.

Ištrauka iš Kraštovaizdžio spec. plano

Prašymas

2025-03-18

Informuojame apie pateiktą nagrinėti prašymą dėl žemės sklypo (kad. Nr.: 4170/0800:50), esančio Vilniaus r. sav., Riešės sen., Žalesos k. (toliau – Žemės sklypas) pagrindinės žemės naudojimo paskirties ir žemės naudojimo būdo keitimą. Prašymo tikslas: 4,2000 ha ploto žemės ūkio paskirties Žemės sklypo pagrindinės žemės naudojimo paskirties ir žemės naudojimo būdo keitimas į kitos – vienbučių ir dvibučių gyvenamųjų pastatų teritorijos. Su prašymu galima susipažinti nuo 2025-03-18 iki 2025-04-01 Lietuvos Respublikos teritorijų planavimo dokumentų rengimo ir teritorijų planavimo proceso valstybės priežiūros informacinėje svetainėje (TPDRIS.lt) ir Vilniaus rajono savivaldybės interneto svetainėje (vrsa.lt). Pasiūlymus dėl pagrindinės žemės naudojimo paskirties ir žemės naudojimo būdo keitimo galima teikti iki 2025-04-01 Vilniaus rajono savivaldybės administracijai (Rinktinės g. 50, Vilnius) raštu ir Lietuvos Respublikos teritorijų planavimo dokumentų rengimo ir teritorijų planavimo proceso valstybinės priežiūros informacinėje sistemoje.

Ištrauka iš Kraštovaizdžio spec. plano

Prašymas

2025-03-18

Informuojame apie pateiktą nagrinėti prašymą dėl žemės sklypo (kad. Nr.: 4184/0400:252), esančio Vilniaus r. sav., Sudervės sen., Izabelinės k. (toliau – Žemės sklypas) pagrindinės žemės naudojimo paskirties ir žemės naudojimo būdo keitimą. Prašymo tikslas: 0,4132ha ploto žemės ūkio paskirties Žemės sklypo pagrindinės žemės naudojimo paskirties ir žemės naudojimo būdo keitimas į kitos – vienbučių ir dvibučių gyvenamųjų pastatų teritorijos. Su prašymu galima susipažinti nuo 2025-03-18 iki 2025-04-01 Lietuvos Respublikos teritorijų planavimo dokumentų rengimo ir teritorijų planavimo proceso valstybės priežiūros informacinėje svetainėje (TPDRIS.lt) ir Vilniaus rajono savivaldybės interneto svetainėje (vrsa.lt). Pasiūlymus dėl pagrindinės žemės naudojimo paskirties ir žemės naudojimo būdo keitimo galima teikti iki 2025-04-01 Vilniaus rajono savivaldybės administracijai (Rinktinės g. 50, Vilnius) raštu ir Lietuvos Respublikos teritorijų planavimo dokumentų rengimo ir teritorijų planavimo proceso valstybinės priežiūros informacinėje sistemoje.

Ištrauka iš Kraštovaizdžio spec. plano

Prašymas

2025-03-18

Informuojame apie pateiktą nagrinėti prašymą dėl žemės sklypo (kad. Nr. 4162/0400:754), esančio Vilniaus r. sav., Nemėžio sen., Pagrūšio k. (toliau – Žemės sklypas) pagrindinės žemės naudojimo paskirties ir  naudojimo būdo keitimo. Prašymo tikslas: 0,5000 ha ploto žemės ūkio paskirties Žemės sklypo pagrindinės žemės naudojimo paskirties ir žemės naudojimo būdo keitimas į kitos vienbučių ir dvibučių gyvenamųjų pastatų teritorijos. Su prašymu galima susipažinti nuo 2025-03-18 iki 2025-04-01 Lietuvos Respublikos teritorijų planavimo dokumentų rengimo ir teritorijų planavimo proceso valstybės priežiūros informacinėje svetainėje (TPDRIS.lt) ir Vilniaus rajono savivaldybės interneto svetainėje (vrsa.lt). Pasiūlymus dėl pagrindinės žemės naudojimo paskirties ir žemės naudojimo būdo keitimo galima teikti iki 2025-04-01 Vilniaus rajono savivaldybės administracijai (Rinktinės g. 50, Vilnius) raštu ir Lietuvos Respublikos teritorijų planavimo dokumentų rengimo ir teritorijų planavimo proceso valstybinės priežiūros informacinėje sistemoje.

Ištrauka iš Vilniaus rajono savivaldybės teritorijos dalies („U“ žemės naudojimo funkcinės zonos Avižienių, Juodšilių, Nemėžio, Pagirių, Riešės, Rudaminos ir Zujūnų seniūnijose) bendrojo plano

Prašymas

2025-03-18

Informuojame apie pateiktą nagrinėti prašymą dėl žemės sklypo (kad. Nr.4174/0100:838), esančio Vilniaus r. sav., Avižienių sen., Riešės k. (toliau – Žemės sklypas) naudojimo būdo nustatymo. Prašymo tikslas: 0,6145 ha ploto žemės ūkio paskirties Žemės sklypo žemės naudojimo būdo nustatymas: kiti – rekreacinės teritorijos. Su prašymu galima susipažinti nuo 2025-03-14 iki 2025-03-28 Lietuvos Respublikos teritorijų planavimo dokumentų rengimo ir teritorijų planavimo proceso valstybės priežiūros informacinėje svetainėje (TPDRIS.lt) ir Vilniaus rajono savivaldybės interneto svetainėje (vrsa.lt). Pasiūlymus dėl pagrindinės žemės naudojimo paskirties ir žemės naudojimo būdo keitimo galima teikti iki 2025-03-28 Vilniaus rajono savivaldybės administracijai (Rinktinės g. 50, Vilnius) raštu ir Lietuvos Respublikos teritorijų planavimo dokumentų rengimo ir teritorijų planavimo proceso valstybinės priežiūros informacinėje sistemoje.

Ištrauka iš Vilniaus rajono savivaldybės teritorijos dalies („U“ žemės naudojimo funkcinės zonos Avižienių, Juodšilių, Nemėžio, Pagirių, Riešės, Rudaminos ir Zujūnų seniūnijose) bendrojo plano

Prašymas

2025-03-14

Informuojame apie pateiktą nagrinėti prašymą dėl žemės sklypo (kad. Nr.4174/0100:836), esančio Vilniaus r. sav., Avižienių sen., Riešės k. (toliau – Žemės sklypas) naudojimo būdo nustatymo. Prašymo tikslas: 0,2333 ha ploto žemės ūkio paskirties Žemės sklypo žemės naudojimo būdo nustatymas: kiti – rekreacinės teritorijos. Su prašymu galima susipažinti nuo 2025-03-14 iki 2025-03-28 Lietuvos Respublikos teritorijų planavimo dokumentų rengimo ir teritorijų planavimo proceso valstybės priežiūros informacinėje svetainėje (TPDRIS.lt) ir Vilniaus rajono savivaldybės interneto svetainėje (vrsa.lt). Pasiūlymus dėl pagrindinės žemės naudojimo paskirties ir žemės naudojimo būdo keitimo galima teikti iki 2025-03-28 Vilniaus rajono savivaldybės administracijai (Rinktinės g. 50, Vilnius) raštu ir Lietuvos Respublikos teritorijų planavimo dokumentų rengimo ir teritorijų planavimo proceso valstybinės priežiūros informacinėje sistemoje.

Ištrauka iš Vilniaus rajono savivaldybės teritorijos dalies („U“ žemės naudojimo funkcinės zonos Avižienių, Juodšilių, Nemėžio, Pagirių, Riešės, Rudaminos ir Zujūnų seniūnijose) bendrojo plano

Prašymas

2025-03-14

Informuojame apie pateiktą nagrinėti prašymą dėl žemės sklypo (kad. Nr.4190/0500:212), esančio Vilniaus r. sav., Kalvelių sen., Mažosios Kuosinės k. (toliau – Žemės sklypas) pagrindinės žemės naudojimo paskirties ir  naudojimo būdo keitimo. Prašymo tikslas: 0,9853 ha ploto žemės ūkio paskirties Žemės sklypo pagrindinės žemės naudojimo paskirties ir žemės naudojimo būdo keitimas į miško ūkio paskirties - ūkinių miškų sklypai. Su prašymu galima susipažinti nuo 2025-03-14 iki 2025-03-26 Lietuvos Respublikos teritorijų planavimo dokumentų rengimo ir teritorijų planavimo proceso valstybės priežiūros informacinėje svetainėje (TPDRIS.lt) ir Vilniaus rajono savivaldybės interneto svetainėje (vrsa.lt). Pasiūlymus dėl pagrindinės žemės naudojimo paskirties ir žemės naudojimo būdo keitimo galima teikti iki 2025-03-28 Vilniaus rajono savivaldybės administracijai (Rinktinės g. 50, Vilnius) raštu ir Lietuvos Respublikos teritorijų planavimo dokumentų rengimo ir teritorijų planavimo proceso valstybinės priežiūros informacinėje sistemoje.

Ištrauka iš Kraštovaizdžio spec. plano

Prašymas

2025-03-14

Informuojame apie pateiktą nagrinėti prašymą dėl žemės sklypo (kad. Nr. 4162/0200:361), esančio Vilniaus r. sav., Nemėžio sen., Nemėžio k. (toliau – Žemės sklypas) pagrindinės žemės naudojimo paskirties ir  naudojimo būdo keitimo. Prašymo tikslas: 0,5650 ha ploto žemės ūkio paskirties Žemės sklypo pagrindinės žemės naudojimo paskirties ir žemės naudojimo būdo keitimas į kitos vienbučių ir dvibučių gyvenamųjų pastatų teritorijos. Su prašymu galima susipažinti nuo 2025-03-14 iki 2025-03-28 Lietuvos Respublikos teritorijų planavimo dokumentų rengimo ir teritorijų planavimo proceso valstybės priežiūros informacinėje svetainėje (TPDRIS.lt) ir Vilniaus rajono savivaldybės interneto svetainėje (vrsa.lt). Pasiūlymus dėl pagrindinės žemės naudojimo paskirties ir žemės naudojimo būdo keitimo galima teikti iki 2025-03-28 Vilniaus rajono savivaldybės administracijai (Rinktinės g. 50, Vilnius) raštu ir Lietuvos Respublikos teritorijų planavimo dokumentų rengimo ir teritorijų planavimo proceso valstybinės priežiūros informacinėje sistemoje.

Ištrauka iš Vilniaus rajono savivaldybės teritorijos dalies („U“ žemės naudojimo funkcinės zonos Avižienių, Juodšilių, Nemėžio, Pagirių, Riešės, Rudaminos ir Zujūnų seniūnijose) bendrojo plano

Prašymas

2025-03-14

Informuojame apie pateiktą nagrinėti prašymą dėl žemės sklypo (kad. Nr. 4162/0400:1112), esančio Vilniaus r. sav., Nemėžio sen., Pagrūšio k (toliau – Žemės sklypas) pagrindinės žemės naudojimo paskirties ir  naudojimo būdo keitimo. Prašymo tikslas: 0,5000 ha ploto žemės ūkio paskirties Žemės sklypo pagrindinės žemės naudojimo paskirties ir žemės naudojimo būdo keitimas į kitos vienbučių ir dvibučių gyvenamųjų pastatų teritorijos. Su prašymu galima susipažinti nuo 2025-03-12 iki 2025-03-26 Lietuvos Respublikos teritorijų planavimo dokumentų rengimo ir teritorijų planavimo proceso valstybės priežiūros informacinėje svetainėje (TPDRIS.lt) ir Vilniaus rajono savivaldybės interneto svetainėje (vrsa.lt). Pasiūlymus dėl pagrindinės žemės naudojimo paskirties ir žemės naudojimo būdo keitimo galima teikti iki 2025-03-26 Vilniaus rajono savivaldybės administracijai (Rinktinės g. 50, Vilnius) raštu ir Lietuvos Respublikos teritorijų planavimo dokumentų rengimo ir teritorijų planavimo proceso valstybinės priežiūros informacinėje sistemoje.

Ištrauka iš Vilniaus rajono savivaldybės teritorijos dalies („U“ žemės naudojimo funkcinės zonos Avižienių, Juodšilių, Nemėžio, Pagirių, Riešės, Rudaminos ir Zujūnų seniūnijose) bendrojo plano

Prašymas

2025-03-12

Informuojame apie pateiktą nagrinėti prašymą dėl žemės sklypo (kad. Nr.4110/0600:453), esančio Vilniaus r. sav., Zujūnų sen., Vilkeliškių k., Cintų g. 12 (toliau – Žemės sklypas) pagrindinės žemės naudojimo paskirties ir  naudojimo būdo keitimo. Prašymo tikslas: 0,1958 ha ploto žemės ūkio paskirties Žemės sklypo pagrindinės žemės naudojimo paskirties ir žemės naudojimo būdo keitimas į kitos vienbučių ir dvibučių gyvenamųjų pastatų teritorijos. Su prašymu galima susipažinti nuo 2025-03-12 iki 2025-03-26 Lietuvos Respublikos teritorijų planavimo dokumentų rengimo ir teritorijų planavimo proceso valstybės priežiūros informacinėje svetainėje (TPDRIS.lt) ir Vilniaus rajono savivaldybės interneto svetainėje (vrsa.lt). Pasiūlymus dėl pagrindinės žemės naudojimo paskirties ir žemės naudojimo būdo keitimo galima teikti iki 2025-03-26 Vilniaus rajono savivaldybės administracijai (Rinktinės g. 50, Vilnius) raštu ir Lietuvos Respublikos teritorijų planavimo dokumentų rengimo ir teritorijų planavimo proceso valstybinės priežiūros informacinėje sistemoje.

Ištrauka iš Kraštovaizdžio spec. plano

Prašymas

2025-03-12

Informuojame apie pateiktą nagrinėti prašymą dėl žemės sklypo (kad. Nr.4132/0600:96), esančio Vilniaus r. sav., Maišiagalos sen., Dūkštelių k. (toliau – Žemės sklypas) naudojimo būdo nustatymo. Prašymo tikslas: 10,7298ha ploto žemės ūkio paskirties Žemės sklypo žemės naudojimo būdo nustatymas: kiti – žemės ūkio paskirties žamės sklypai. Su prašymu galima susipažinti nuo 2025-03-12 iki 2025-03-26 Lietuvos Respublikos teritorijų planavimo dokumentų rengimo ir teritorijų planavimo proceso valstybės priežiūros informacinėje svetainėje (TPDRIS.lt) ir Vilniaus rajono savivaldybės interneto svetainėje (vrsa.lt). Pasiūlymus dėl pagrindinės žemės naudojimo paskirties ir žemės naudojimo būdo keitimo galima teikti iki 2025-03-26 Vilniaus rajono savivaldybės administracijai (Rinktinės g. 50, Vilnius) raštu ir Lietuvos Respublikos teritorijų planavimo dokumentų rengimo ir teritorijų planavimo proceso valstybinės priežiūros informacinėje sistemoje.

Ištrauka iš Kraštovaizdžio spec. plano

Prašymas

2025-03-12

Informuojame apie pateiktą nagrinėti prašymą dėl žemės sklypo (kad. Nr.4132/0600:95), esančio Vilniaus r. sav., Maišiagalos sen., Dūkštelių k. (toliau – Žemės sklypas) naudojimo būdo nustatymo. Prašymo tikslas: 9,6875 ha ploto žemės ūkio paskirties Žemės sklypo žemės naudojimo būdo nustatymas: kiti – žemės ūkio paskirties žamės sklypai. Su prašymu galima susipažinti nuo 2025-03-12 iki 2025-03-26 Lietuvos Respublikos teritorijų planavimo dokumentų rengimo ir teritorijų planavimo proceso valstybės priežiūros informacinėje svetainėje (TPDRIS.lt) ir Vilniaus rajono savivaldybės interneto svetainėje (vrsa.lt). Pasiūlymus dėl pagrindinės žemės naudojimo paskirties ir žemės naudojimo būdo keitimo galima teikti iki 2025-03-26 Vilniaus rajono savivaldybės administracijai (Rinktinės g. 50, Vilnius) raštu ir Lietuvos Respublikos teritorijų planavimo dokumentų rengimo ir teritorijų planavimo proceso valstybinės priežiūros informacinėje sistemoje.

Ištrauka iš Kraštovaizdžio spec. plano

Prašymas

2025-03-12

Priimtas sprendimas dėl kitos paskirties žemės sklypo (kadastro Nr. 4162/0400:260), esančio Vilniaus r. sav., Nemėžio sen., Skaidiškių k., Rudaminos g. 1,  žemės naudojimo būdo keitimo.

Sprendimas

2025-03-10

Priimtas sprendimas dėl žemės ūkio paskirties žemės sklypo (kadadastro Nr. 4174/0100:1333), esančio Vilniaus r. sav., Avižienių sen., Lindiniškių k., pagrindinės žemės naudojimo paskirties ir žemės naudojimo būdo keitimo.

Sprendimas

2025-03-10

Priimtas sprendimas dėl kitos paskirtiesžemės sklypo (kadastro Nr. 4174/0200:9135), esančio Vilniaus r. sav., Avižienių sen., Bendorių k., Senajame Ukmergės kel. 126B,  žemės naudojimo būdo keitimo.

Sprendimas

2025-03-10

Informuojame apie pateiktą nagrinėti prašymą dėl žemės sklypo (kad. Nr. 4184/0100:1808), esančio Vilniaus r. sav., Sudervės sen., Žemagulių k. (toliau – Žemės sklypas) pagrindinės žemės naudojimo paskirties ir  naudojimo būdo keitimo. Prašymo tikslas: 0,8423 ha ploto žemės ūkio paskirties Žemės sklypo pagrindinės žemės naudojimo paskirties ir žemės naudojimo būdo keitimas į kitos vienbučių ir dvibučių gyvenamųjų pastatų teritorijos. Su prašymu galima susipažinti nuo 2025-03-07 iki 2025-03-24 Lietuvos Respublikos teritorijų planavimo dokumentų rengimo ir teritorijų planavimo proceso valstybės priežiūros informacinėje svetainėje (TPDRIS.lt) ir Vilniaus rajono savivaldybės interneto svetainėje (vrsa.lt). Pasiūlymus dėl pagrindinės žemės naudojimo paskirties ir žemės naudojimo būdo keitimo galima teikti iki 2025-03-24 Vilniaus rajono savivaldybės administracijai (Rinktinės g. 50, Vilnius) raštu ir Lietuvos Respublikos teritorijų planavimo dokumentų rengimo ir teritorijų planavimo proceso valstybinės priežiūros informacinėje sistemoje.

Ištrauka iš Kraštovaizdžio spec. plano

Prašymas

2025-03-07

Informuojame apie pateiktą nagrinėti prašymą dėl žemės sklypo (kad. Nr. 4184/0100:1543), esančio Vilniaus r. sav., Sudervės sen., Žemagulių k. (toliau – Žemės sklypas) pagrindinės žemės naudojimo paskirties ir  naudojimo būdo keitimo. Prašymo tikslas: 0,7024 ha ploto žemės ūkio paskirties Žemės sklypo pagrindinės žemės naudojimo paskirties ir žemės naudojimo būdo keitimas į kitos vienbučių ir dvibučių gyvenamųjų pastatų teritorijos. Su prašymu galima susipažinti nuo 2025-03-07 iki 2025-03-24 Lietuvos Respublikos teritorijų planavimo dokumentų rengimo ir teritorijų planavimo proceso valstybės priežiūros informacinėje svetainėje (TPDRIS.lt) ir Vilniaus rajono savivaldybės interneto svetainėje (vrsa.lt). Pasiūlymus dėl pagrindinės žemės naudojimo paskirties ir žemės naudojimo būdo keitimo galima teikti iki 2025-03-24 Vilniaus rajono savivaldybės administracijai (Rinktinės g. 50, Vilnius) raštu ir Lietuvos Respublikos teritorijų planavimo dokumentų rengimo ir teritorijų planavimo proceso valstybinės priežiūros informacinėje sistemoje.

Ištrauka iš Kraštovaizdžio spec. plano

Prašymas

2025-03-07

Informuojame apie pateiktą nagrinėti prašymą dėl žemės sklypo (kad. Nr. 4172/0200:398), esančio Vilniaus r. sav., Nemenčinės sen., Tuščiaulių k., Kranto g. 6 (toliau – Žemės sklypas) pagrindinės žemės naudojimo paskirties ir  naudojimo būdo keitimo. Prašymo tikslas: 0,6050 ha ploto žemės ūkio paskirties Žemės sklypo pagrindinės žemės naudojimo paskirties ir žemės naudojimo būdo keitimas į kitos vienbučių ir dvibučių gyvenamųjų pastatų teritorijos. Su prašymu galima susipažinti nuo 2025-03-05 iki 2025-03-19 Lietuvos Respublikos teritorijų planavimo dokumentų rengimo ir teritorijų planavimo proceso valstybės priežiūros informacinėje svetainėje (TPDRIS.lt) ir Vilniaus rajono savivaldybės interneto svetainėje (vrsa.lt). Pasiūlymus dėl pagrindinės žemės naudojimo paskirties ir žemės naudojimo būdo keitimo galima teikti iki 2025-03-19 Vilniaus rajono savivaldybės administracijai (Rinktinės g. 50, Vilnius) raštu ir Lietuvos Respublikos teritorijų planavimo dokumentų rengimo ir teritorijų planavimo proceso valstybinės priežiūros informacinėje sistemoje.

Ištrauka iš Kraštovaizdžio spec. plano

Prašymas

2025-03-05

Informuojame apie pateiktą nagrinėti prašymą dėl žemės sklypo (kad. Nr. 4192/0300:381), esančio Vilniaus r. sav., Sužionių sen., Valasoniškių vs. (toliau – Žemės sklypas) pagrindinės žemės naudojimo paskirties ir  naudojimo būdo keitimo. Prašymo tikslas: 3,5700 ploto žemės ūkio paskirties Žemės sklypo pagrindinės žemės naudojimo paskirties ir žemės naudojimo būdo keitimas į kitos vienbučių ir dvibučių gyvenamųjų pastatų teritorijos. Su prašymu galima susipažinti nuo 2025-03-05 iki 2025-03-19 Lietuvos Respublikos teritorijų planavimo dokumentų rengimo ir teritorijų planavimo proceso valstybės priežiūros informacinėje svetainėje (TPDRIS.lt) ir Vilniaus rajono savivaldybės interneto svetainėje (vrsa.lt). Pasiūlymus dėl pagrindinės žemės naudojimo paskirties ir žemės naudojimo būdo keitimo galima teikti iki 2025-03-19 Vilniaus rajono savivaldybės administracijai (Rinktinės g. 50, Vilnius) raštu ir Lietuvos Respublikos teritorijų planavimo dokumentų rengimo ir teritorijų planavimo proceso valstybinės priežiūros informacinėje sistemoje.

Ištrauka iš Kraštovaizdžio spec. plano

Prašymas

2025-03-05

Priimtas sprendimas dėl kitos paskirtiesžemės sklypo (kadastro Nr. 4174/0200:9134), esančio Vilniaus r. sav., Avižienių sen., Bendorių k., Senajame Ukmergės kel. 126A,  žemės naudojimo būdo keitimo.

Sprendimas

2025-03-04

Informuojame apie pateiktą nagrinėti prašymą dėl žemės sklypo (kad. Nr. 4196/0100:55), esančio Vilniaus r. sav., Paberžės sen., Visalaukės I k., Jaunimo g. 2 (toliau – Žemės sklypas)  naudojimo būdo keitimo. Prašymo tikslas: 0,3492 ploto kitos paskirties Žemės sklypo žemės naudojimo būdo keitimas į kitos vienbučių ir dvibučių gyvenamųjų pastatų teritorijos. Su prašymu galima susipažinti nuo 2025-03-04 iki 2025-03-19 Lietuvos Respublikos teritorijų planavimo dokumentų rengimo ir teritorijų planavimo proceso valstybės priežiūros informacinėje svetainėje (TPDRIS.lt) ir Vilniaus rajono savivaldybės interneto svetainėje (vrsa.lt). Pasiūlymus dėl pagrindinės žemės naudojimo paskirties ir žemės naudojimo būdo keitimo galima teikti iki 2025-03-19 Vilniaus rajono savivaldybės administracijai (Rinktinės g. 50, Vilnius) raštu ir Lietuvos Respublikos teritorijų planavimo dokumentų rengimo ir teritorijų planavimo proceso valstybinės priežiūros informacinėje sistemoje.

Ištrauka iš Kraštovaizdžio spec. plano

Prašymas

2025-03-04

Informuojame apie pateiktą nagrinėti prašymą dėl žemės sklypo (kad. Nr. 4142/0100:436), esančio Vilniaus r. sav., Šatrininkų sen., Grigaičių k. (toliau – Žemės sklypas) pagrindinės žemės naudojimo paskirties ir  naudojimo būdo keitimo. Prašymo tikslas: 0,1000 ploto žemės ūkio paskirties Žemės sklypo pagrindinės žemės naudojimo paskirties ir žemės naudojimo būdo keitimas į kitos vienbučių ir dvibučių gyvenamųjų pastatų teritorijos. Su prašymu galima susipažinti nuo 2025-03-04 iki 2025-03-19 Lietuvos Respublikos teritorijų planavimo dokumentų rengimo ir teritorijų planavimo proceso valstybės priežiūros informacinėje svetainėje (TPDRIS.lt) ir Vilniaus rajono savivaldybės interneto svetainėje (vrsa.lt). Pasiūlymus dėl pagrindinės žemės naudojimo paskirties ir žemės naudojimo būdo keitimo galima teikti iki 2025-03-19 Vilniaus rajono savivaldybės administracijai (Rinktinės g. 50, Vilnius) raštu ir Lietuvos Respublikos teritorijų planavimo dokumentų rengimo ir teritorijų planavimo proceso valstybinės priežiūros informacinėje sistemoje.

Ištrauka iš Kraštovaizdžio spec. plano

Prašymas

2025-03-04

Informuojame apie pateiktą nagrinėti prašymą dėl žemės sklypo (kad. Nr. 4142/0300:614), esančio Vilniaus r. sav., Šatrininkų sen., Grigaičių k., Geležinkelio g. 13A (toliau – Žemės sklypas)  naudojimo būdo keitimo. Prašymo tikslas: 0,1066 ploto kitos paskirties Žemės sklypo žemės naudojimo būdo keitimas į kitos vienbučių ir dvibučių gyvenamųjų pastatų teritorijos. Su prašymu galima susipažinti nuo 2025-03-04 iki 2025-03-19 Lietuvos Respublikos teritorijų planavimo dokumentų rengimo ir teritorijų planavimo proceso valstybės priežiūros informacinėje svetainėje (TPDRIS.lt) ir Vilniaus rajono savivaldybės interneto svetainėje (vrsa.lt). Pasiūlymus dėl pagrindinės žemės naudojimo paskirties ir žemės naudojimo būdo keitimo galima teikti iki 2025-03-19 Vilniaus rajono savivaldybės administracijai (Rinktinės g. 50, Vilnius) raštu ir Lietuvos Respublikos teritorijų planavimo dokumentų rengimo ir teritorijų planavimo proceso valstybinės priežiūros informacinėje sistemoje.

Ištrauka iš Kraštovaizdžio spec. plano

Prašymas

2025-03-04

Informuojame apie pateiktą nagrinėti prašymą dėl žemės sklypo (kad. Nr.4177/0200:280), esančio Vilniaus r. sav., Rudaminos sen., Rudaminos k., Gamyklos g. 24 (toliau – Žemės sklypas) naudojimo būdo nustatymo. Prašymo tikslas: 0,0653 ha ploto žemės ūkio paskirties Žemės sklypo žemės naudojimo būdo nustatymas: kiti – susisiekimo ir inžinierinių komunikacijų aptarnavimo objektų teritorijos. Su prašymu galima susipažinti nuo 2025-02-28 iki 2025-03-14 Lietuvos Respublikos teritorijų planavimo dokumentų rengimo ir teritorijų planavimo proceso valstybės priežiūros informacinėje svetainėje (TPDRIS.lt) ir Vilniaus rajono savivaldybės interneto svetainėje (vrsa.lt). Pasiūlymus dėl pagrindinės žemės naudojimo paskirties ir žemės naudojimo būdo keitimo galima teikti iki 2025-03-04 Vilniaus rajono savivaldybės administracijai (Rinktinės g. 50, Vilnius) raštu ir Lietuvos Respublikos teritorijų planavimo dokumentų rengimo ir teritorijų planavimo proceso valstybinės priežiūros informacinėje sistemoje.

Ištrauka iš Vilniaus rajono savivaldybės teritorijos dalies („U“ žemės naudojimo funkcinės zonos Avižienių, Juodšilių, Nemėžio, Pagirių, Riešės, Rudaminos ir Zujūnų seniūnijose) bendrojo plano

Prašymas

2025-02-28

Informuojame apie pateiktą nagrinėti prašymą dėl žemės sklypo (kad. Nr. 4172/0100:609), esančio Vilniaus r. sav., Nemenčinės sen., Raudondvario k. (toliau – Žemės sklypas) pagrindinės žemės naudojimo paskirties ir  naudojimo būdo keitimo. Prašymo tikslas: 0,1018 ploto žemės ūkio paskirties Žemės sklypo pagrindinės žemės naudojimo paskirties ir žemės naudojimo būdo keitimas į kitos vienbučių ir dvibučių gyvenamųjų pastatų teritorijos. Su prašymu galima susipažinti nuo 2025-02-27 iki 2025-03-13 Lietuvos Respublikos teritorijų planavimo dokumentų rengimo ir teritorijų planavimo proceso valstybės priežiūros informacinėje svetainėje (TPDRIS.lt) ir Vilniaus rajono savivaldybės interneto svetainėje (vrsa.lt). Pasiūlymus dėl pagrindinės žemės naudojimo paskirties ir žemės naudojimo būdo keitimo galima teikti iki 2025-03-13 Vilniaus rajono savivaldybės administracijai (Rinktinės g. 50, Vilnius) raštu ir Lietuvos Respublikos teritorijų planavimo dokumentų rengimo ir teritorijų planavimo proceso valstybinės priežiūros informacinėje sistemoje.

Ištrauka iš Kraštovaizdžio spec. plano

Prašymas

2025-02-27

Informuojame apie pateiktą nagrinėti prašymą dėl žemės sklypo (kad. Nr. 4172/0100:607), esančio Vilniaus r. sav., Nemenčinės sen., Raudondvario k. (toliau – Žemės sklypas) pagrindinės žemės naudojimo paskirties ir  naudojimo būdo keitimo. Prašymo tikslas: 0,1162 ploto žemės ūkio paskirties Žemės sklypo pagrindinės žemės naudojimo paskirties ir žemės naudojimo būdo keitimas į kitos vienbučių ir dvibučių gyvenamųjų pastatų teritorijos. Su prašymu galima susipažinti nuo 2025-02-27 iki 2025-03-13 Lietuvos Respublikos teritorijų planavimo dokumentų rengimo ir teritorijų planavimo proceso valstybės priežiūros informacinėje svetainėje (TPDRIS.lt) ir Vilniaus rajono savivaldybės interneto svetainėje (vrsa.lt). Pasiūlymus dėl pagrindinės žemės naudojimo paskirties ir žemės naudojimo būdo keitimo galima teikti iki 2025-03-13 Vilniaus rajono savivaldybės administracijai (Rinktinės g. 50, Vilnius) raštu ir Lietuvos Respublikos teritorijų planavimo dokumentų rengimo ir teritorijų planavimo proceso valstybinės priežiūros informacinėje sistemoje.

Ištrauka iš Kraštovaizdžio spec. plano

Prašymas

2025-02-27

Priimtas sprendimas dėl žemės ūkio paskirties žemės sklypo (kadastro Nr. 4150/0100:0125), esančio Vilniaus r. sav., Medininkų sen., Pilkapių k., J. Lukaševičiaus g. 15, pagrindinės žemės naudojimo paskirties ir žemės naudojimo būdo keitimo.

Sprendimas

2025-02-21

 

Priimtas sprendimas dėl žemės ūkio paskirties žemės sklypo (kadastro Nr. 4147/0400:516), esančio Vilniaus r. sav., Maišiagalos sen., Maišiagalos mstl., pagrindinės žemės naudojimo paskirties ir žemės naudojimo būdo keitimo.

Sprendimas

2025-02-21

Priimtas sprendimas dėl žemės ūkio paskirties žemės sklypo (kadastro Nr. 4103/0200:1614), esančio Vilniaus r. sav., Avižienių sen., Avižienių k., pagrindinės žemės naudojimo paskirties ir žemės naudojimo būdo keitimo.

Sprendimas

2025-02-21

Informuojame apie pateiktą nagrinėti prašymą dėl žemės sklypo (kad. Nr. 4150/0100:464), esančio Vilniaus r. sav., Medininkų sen., Medininkų k., Šv. Kazimiero g. 12 (toliau – Žemės sklypas) pagrindinės žemės naudojimo paskirties ir  naudojimo būdo keitimo. Prašymo tikslas: 0,3100 ploto žemės ūkio paskirties Žemės sklypo pagrindinės žemės naudojimo paskirties ir žemės naudojimo būdo keitimas į kitos vienbučių ir dvibučių gyvenamųjų pastatų teritorijos. Su prašymu galima susipažinti nuo 2025-02-21 iki 2025-03-07 Lietuvos Respublikos teritorijų planavimo dokumentų rengimo ir teritorijų planavimo proceso valstybės priežiūros informacinėje svetainėje (TPDRIS.lt) ir Vilniaus rajono savivaldybės interneto svetainėje (vrsa.lt). Pasiūlymus dėl pagrindinės žemės naudojimo paskirties ir žemės naudojimo būdo keitimo galima teikti iki 2025-03-07 Vilniaus rajono savivaldybės administracijai (Rinktinės g. 50, Vilnius) raštu ir Lietuvos Respublikos teritorijų planavimo dokumentų rengimo ir teritorijų planavimo proceso valstybinės priežiūros informacinėje sistemoje.

Ištrauka iš Kraštovaizdžio spec. plano

Prašymas

2025-02-21

Informuojame apie pateiktą nagrinėti prašymą dėl žemės sklypo (kad. Nr. 4152/0800:1), esančio Vilniaus r. sav., Mickūnų sen., Mažeikių k (toliau – Žemės sklypas) pagrindinės žemės naudojimo paskirties ir  naudojimo būdo keitimo. Prašymo tikslas: 1,9256 ploto žemės ūkio paskirties Žemės sklypo pagrindinės žemės naudojimo paskirties ir žemės naudojimo būdo keitimas į kitos vienbučių ir dvibučių gyvenamųjų pastatų teritorijos. Su prašymu galima susipažinti nuo 2025-02-21 iki 2025-03-07 Lietuvos Respublikos teritorijų planavimo dokumentų rengimo ir teritorijų planavimo proceso valstybės priežiūros informacinėje svetainėje (TPDRIS.lt) ir Vilniaus rajono savivaldybės interneto svetainėje (vrsa.lt). Pasiūlymus dėl pagrindinės žemės naudojimo paskirties ir žemės naudojimo būdo keitimo galima teikti iki 2025-03-07 Vilniaus rajono savivaldybės administracijai (Rinktinės g. 50, Vilnius) raštu ir Lietuvos Respublikos teritorijų planavimo dokumentų rengimo ir teritorijų planavimo proceso valstybinės priežiūros informacinėje sistemoje.

Ištrauka iš Kraštovaizdžio spec. plano

Prašymas

2025-02-21

Informuojame apie pateiktą nagrinėti prašymą dėl žemės sklypo (kad. Nr. 4184/0100:1318), esančio Vilniaus r. sav., Sudervės sen., Žemagulių k. (toliau – Žemės sklypas) pagrindinės žemės naudojimo paskirties ir  naudojimo būdo keitimo. Prašymo tikslas: 0,5503ploto žemės ūkio paskirties Žemės sklypo pagrindinės žemės naudojimo paskirties ir žemės naudojimo būdo keitimas į kitos vienbučių ir dvibučių gyvenamųjų pastatų teritorijos. Su prašymu galima susipažinti nuo 2025-02-19 iki 2025-03-05 Lietuvos Respublikos teritorijų planavimo dokumentų rengimo ir teritorijų planavimo proceso valstybės priežiūros informacinėje svetainėje (TPDRIS.lt) ir Vilniaus rajono savivaldybės interneto svetainėje (vrsa.lt). Pasiūlymus dėl pagrindinės žemės naudojimo paskirties ir žemės naudojimo būdo keitimo galima teikti iki 2025-03-05 Vilniaus rajono savivaldybės administracijai (Rinktinės g. 50, Vilnius) raštu ir Lietuvos Respublikos teritorijų planavimo dokumentų rengimo ir teritorijų planavimo proceso valstybinės priežiūros informacinėje sistemoje.

Ištrauka iš Kraštovaizdžio spec. plano

Prašymas

2025-02-19

Informuojame apie pateiktą nagrinėti prašymą dėl žemės sklypo (kad. Nr. 4184/0100:1641), esančio Vilniaus r. sav., Sudervės sen., Žemagulių k. (toliau – Žemės sklypas) pagrindinės žemės naudojimo paskirties ir  naudojimo būdo keitimo. Prašymo tikslas: 0,5583 ploto žemės ūkio paskirties Žemės sklypo pagrindinės žemės naudojimo paskirties ir žemės naudojimo būdo keitimas į kitos vienbučių ir dvibučių gyvenamųjų pastatų teritorijos. Su prašymu galima susipažinti nuo 2025-02-19 iki 2025-03-05 Lietuvos Respublikos teritorijų planavimo dokumentų rengimo ir teritorijų planavimo proceso valstybės priežiūros informacinėje svetainėje (TPDRIS.lt) ir Vilniaus rajono savivaldybės interneto svetainėje (vrsa.lt). Pasiūlymus dėl pagrindinės žemės naudojimo paskirties ir žemės naudojimo būdo keitimo galima teikti iki 2025-03-05 Vilniaus rajono savivaldybės administracijai (Rinktinės g. 50, Vilnius) raštu ir Lietuvos Respublikos teritorijų planavimo dokumentų rengimo ir teritorijų planavimo proceso valstybinės priežiūros informacinėje sistemoje.

Ištrauka iš Kraštovaizdžio spec. plano

Prašymas

2025-02-19

Informuojame apie pateiktą nagrinėti prašymą dėl žemės sklypo (kad. Nr. 4184/0100:1189), esančio Vilniaus r. sav., Sudervės sen., Žemagulių k. (toliau – Žemės sklypas) pagrindinės žemės naudojimo paskirties ir  naudojimo būdo keitimo. Prašymo tikslas: 0,5205 ploto žemės ūkio paskirties Žemės sklypo pagrindinės žemės naudojimo paskirties ir žemės naudojimo būdo keitimas į kitos vienbučių ir dvibučių gyvenamųjų pastatų teritorijos. Su prašymu galima susipažinti nuo 2025-02-19 iki 2025-03-05 Lietuvos Respublikos teritorijų planavimo dokumentų rengimo ir teritorijų planavimo proceso valstybės priežiūros informacinėje svetainėje (TPDRIS.lt) ir Vilniaus rajono savivaldybės interneto svetainėje (vrsa.lt). Pasiūlymus dėl pagrindinės žemės naudojimo paskirties ir žemės naudojimo būdo keitimo galima teikti iki 2025-03-05 Vilniaus rajono savivaldybės administracijai (Rinktinės g. 50, Vilnius) raštu ir Lietuvos Respublikos teritorijų planavimo dokumentų rengimo ir teritorijų planavimo proceso valstybinės priežiūros informacinėje sistemoje.

Ištrauka iš Kraštovaizdžio spec. plano

Prašymas

2025-02-19

Informuojame apie pateiktą nagrinėti prašymą dėl žemės sklypo (kad. Nr. 4184/0100:1111), esančio Vilniaus r. sav., Sudervės sen., Žemagulių k. (toliau – Žemės sklypas) pagrindinės žemės naudojimo paskirties ir  naudojimo būdo keitimo. Prašymo tikslas: 0,6262 ploto žemės ūkio paskirties Žemės sklypo pagrindinės žemės naudojimo paskirties ir žemės naudojimo būdo keitimas į kitos vienbučių ir dvibučių gyvenamųjų pastatų teritorijos. Su prašymu galima susipažinti nuo 2025-02-19 iki 2025-03-05 Lietuvos Respublikos teritorijų planavimo dokumentų rengimo ir teritorijų planavimo proceso valstybės priežiūros informacinėje svetainėje (TPDRIS.lt) ir Vilniaus rajono savivaldybės interneto svetainėje (vrsa.lt). Pasiūlymus dėl pagrindinės žemės naudojimo paskirties ir žemės naudojimo būdo keitimo galima teikti iki 2025-03-05 Vilniaus rajono savivaldybės administracijai (Rinktinės g. 50, Vilnius) raštu ir Lietuvos Respublikos teritorijų planavimo dokumentų rengimo ir teritorijų planavimo proceso valstybinės priežiūros informacinėje sistemoje.

Ištrauka iš Kraštovaizdžio spec. plano

Prašymas

2025-02-19

Informuojame apie pateiktą nagrinėti prašymą dėl žemės sklypo (kad. Nr. 4117/0400:5118), esančio Vilniaus r. sav., Riešės sen., Didžiosios Riešės k. (toliau – Žemės sklypas) pagrindinės žemės naudojimo paskirties ir  naudojimo būdo keitimo. Prašymo tikslas: 0,0989 ploto žemės ūkio paskirties Žemės sklypo pagrindinės žemės naudojimo paskirties ir žemės naudojimo būdo keitimas į kitos vienbučių ir dvibučių gyvenamųjų pastatų teritorijos. Su prašymu galima susipažinti nuo 2025-02-19 iki 2025-03-05 Lietuvos Respublikos teritorijų planavimo dokumentų rengimo ir teritorijų planavimo proceso valstybės priežiūros informacinėje svetainėje (TPDRIS.lt) ir Vilniaus rajono savivaldybės interneto svetainėje (vrsa.lt). Pasiūlymus dėl pagrindinės žemės naudojimo paskirties ir žemės naudojimo būdo keitimo galima teikti iki 2025-03-05 Vilniaus rajono savivaldybės administracijai (Rinktinės g. 50, Vilnius) raštu ir Lietuvos Respublikos teritorijų planavimo dokumentų rengimo ir teritorijų planavimo proceso valstybinės priežiūros informacinėje sistemoje.

Ištrauka iš Vilniaus rajono savivaldybės teritorijos dalies („U“ žemės naudojimo funkcinės zonos Avižienių, Juodšilių, Nemėžio, Pagirių, Riešės, Rudaminos ir Zujūnų seniūnijose) bendrojo plano

Prašymas

2025-02-19

Informuojame apie pateiktą nagrinėti prašymą dėl žemės sklypo (kad. Nr. 4117/0100:881), esančio Vilniaus r. sav., Riešės sen., Žudiškių k., Plačioji g. 68 (toliau – Žemės sklypas) pagrindinės žemės naudojimo paskirties ir  naudojimo būdo keitimo. Prašymo tikslas: 0,6700 ploto žemės ūkio paskirties Žemės sklypo pagrindinės žemės naudojimo paskirties ir žemės naudojimo būdo keitimas į kitos vienbučių ir dvibučių gyvenamųjų pastatų teritorijos. Su prašymu galima susipažinti nuo 2025-02-19 iki 2025-03-05 Lietuvos Respublikos teritorijų planavimo dokumentų rengimo ir teritorijų planavimo proceso valstybės priežiūros informacinėje svetainėje (TPDRIS.lt) ir Vilniaus rajono savivaldybės interneto svetainėje (vrsa.lt). Pasiūlymus dėl pagrindinės žemės naudojimo paskirties ir žemės naudojimo būdo keitimo galima teikti iki 2025-03-05 Vilniaus rajono savivaldybės administracijai (Rinktinės g. 50, Vilnius) raštu ir Lietuvos Respublikos teritorijų planavimo dokumentų rengimo ir teritorijų planavimo proceso valstybinės priežiūros informacinėje sistemoje.

Ištrauka iš Kraštovaizdžio spec. plano

Prašymas

2025-02-19

Informuojame apie pateiktą nagrinėti prašymą dėl žemės sklypo (kad. Nr. 4152/0400:771 ), esančio Vilniaus r. sav., Mickūnų sen., Kairėnų k. (toliau – Žemės sklypas) pagrindinės žemės naudojimo paskirties ir  naudojimo būdo keitimo. Prašymo tikslas: 0,1082 ploto žemės ūkio paskirties Žemės sklypo pagrindinės žemės naudojimo paskirties ir žemės naudojimo būdo keitimas į kitos vienbučių ir dvibučių gyvenamųjų pastatų teritorijos. Su prašymu galima susipažinti nuo 2025-02-19 iki 2025-03-05 Lietuvos Respublikos teritorijų planavimo dokumentų rengimo ir teritorijų planavimo proceso valstybės priežiūros informacinėje svetainėje (TPDRIS.lt) ir Vilniaus rajono savivaldybės interneto svetainėje (vrsa.lt). Pasiūlymus dėl pagrindinės žemės naudojimo paskirties ir žemės naudojimo būdo keitimo galima teikti iki 2025-03-05 Vilniaus rajono savivaldybės administracijai (Rinktinės g. 50, Vilnius) raštu ir Lietuvos Respublikos teritorijų planavimo dokumentų rengimo ir teritorijų planavimo proceso valstybinės priežiūros informacinėje sistemoje.

Ištrauka iš Kraštovaizdžio spec. plano

Prašymas

2025-02-19

Informuojame apie pateiktą nagrinėti prašymą dėl žemės sklypo (kad. Nr.4152/0500:331), esančio Vilniaus r. sav., Mickūnų sen., Kairėnų k. (toliau – Žemės sklypas) naudojimo būdo nustatymo. Prašymo tikslas: 2,7353 ha ploto žemės ūkio paskirties Žemės sklypo žemės naudojimo būdo nustatymas: kiti – žemės ūkio paskirties žamės sklypai. Su prašymu galima susipažinti nuo 2025-02-18 iki 2025-03-04 Lietuvos Respublikos teritorijų planavimo dokumentų rengimo ir teritorijų planavimo proceso valstybės priežiūros informacinėje svetainėje (TPDRIS.lt) ir Vilniaus rajono savivaldybės interneto svetainėje (vrsa.lt). Pasiūlymus dėl pagrindinės žemės naudojimo paskirties ir žemės naudojimo būdo keitimo galima teikti iki 2025-03-04 Vilniaus rajono savivaldybės administracijai (Rinktinės g. 50, Vilnius) raštu ir Lietuvos Respublikos teritorijų planavimo dokumentų rengimo ir teritorijų planavimo proceso valstybinės priežiūros informacinėje sistemoje.

Ištrauka iš Kraštovaizdžio spec. plano

Prašymas

2025-02-18

Informuojame apie pateiktą nagrinėti prašymą dėl žemės sklypo (kad. Nr. 4132/0600:960 ), esančio Vilniaus r. sav., Maišiagalos sen., Gudelių k. (toliau – Žemės sklypas) pagrindinės žemės naudojimo paskirties ir  naudojimo būdo keitimo. Prašymo tikslas: 0,1614 ploto žemės ūkio paskirties Žemės sklypo pagrindinės žemės naudojimo paskirties ir žemės naudojimo būdo keitimas į kitos vienbučių ir dvibučių gyvenamųjų pastatų teritorijos. Su prašymu galima susipažinti nuo 2025-02-17 iki 2025-03-03 Lietuvos Respublikos teritorijų planavimo dokumentų rengimo ir teritorijų planavimo proceso valstybės priežiūros informacinėje svetainėje (TPDRIS.lt) ir Vilniaus rajono savivaldybės interneto svetainėje (vrsa.lt). Pasiūlymus dėl pagrindinės žemės naudojimo paskirties ir žemės naudojimo būdo keitimo galima teikti iki 2025-03-03 Vilniaus rajono savivaldybės administracijai (Rinktinės g. 50, Vilnius) raštu ir Lietuvos Respublikos teritorijų planavimo dokumentų rengimo ir teritorijų planavimo proceso valstybinės priežiūros informacinėje sistemoje.

Ištrauka iš Kraštovaizdžio spec. plano

Prašymas

2025-02-17

Informuojame apie pateiktą nagrinėti prašymą dėl žemės sklypo (kad. Nr. 4174/0100:1333), esančio Vilniaus r. sav., Avižienių sen., Lindiniškių k. (toliau – Žemės sklypas) pagrindinės žemės naudojimo paskirties ir  naudojimo būdo keitimo. Prašymo tikslas: 0,1270 ploto žemės ūkio paskirties Žemės sklypo pagrindinės žemės naudojimo paskirties ir žemės naudojimo būdo keitimas į kitos vienbučių ir dvibučių gyvenamųjų pastatų teritorijos. Su prašymu galima susipažinti nuo 2025-02-14 iki 2025-02-28 Lietuvos Respublikos teritorijų planavimo dokumentų rengimo ir teritorijų planavimo proceso valstybės priežiūros informacinėje svetainėje (TPDRIS.lt) ir Vilniaus rajono savivaldybės interneto svetainėje (vrsa.lt). Pasiūlymus dėl pagrindinės žemės naudojimo paskirties ir žemės naudojimo būdo keitimo galima teikti iki 2025-02-28 Vilniaus rajono savivaldybės administracijai (Rinktinės g. 50, Vilnius) raštu ir Lietuvos Respublikos teritorijų planavimo dokumentų rengimo ir teritorijų planavimo proceso valstybinės priežiūros informacinėje sistemoje.

Ištrauka iš Vilniaus rajono savivaldybės teritorijos dalies („U“ žemės naudojimo funkcinės zonos Avižienių, Juodšilių, Nemėžio, Pagirių, Riešės, Rudaminos ir Zujūnų seniūnijose) bendrojo plano

Prašymas

2025-02-14

Informuojame apie pateiktą nagrinėti prašymą dėl žemės sklypo (kad. Nr. 4162/0400:1947), esančio Vilniaus r. sav., Nemėžio sen., Stankutiškių k. (toliau – Žemės sklypas) pagrindinės žemės naudojimo paskirties ir  naudojimo būdo keitimo. Prašymo tikslas: 0,2484 ploto žemės ūkio paskirties Žemės sklypo pagrindinės žemės naudojimo paskirties ir žemės naudojimo būdo keitimas į kitos vienbučių ir dvibučių gyvenamųjų pastatų teritorijos. Su prašymu galima susipažinti nuo 2025-02-14 iki 2025-02-28 Lietuvos Respublikos teritorijų planavimo dokumentų rengimo ir teritorijų planavimo proceso valstybės priežiūros informacinėje svetainėje (TPDRIS.lt) ir Vilniaus rajono savivaldybės interneto svetainėje (vrsa.lt). Pasiūlymus dėl pagrindinės žemės naudojimo paskirties ir žemės naudojimo būdo keitimo galima teikti iki 2025-02-28 Vilniaus rajono savivaldybės administracijai (Rinktinės g. 50, Vilnius) raštu ir Lietuvos Respublikos teritorijų planavimo dokumentų rengimo ir teritorijų planavimo proceso valstybinės priežiūros informacinėje sistemoje.

Ištrauka iš Kraštovaizdžio spec. plano

Prašymas

2025-02-14

Informuojame apie pateiktą nagrinėti prašymą dėl žemės sklypo (kad. Nr. 4162/0400:1946), esančio Vilniaus r. sav., Nemėžio sen., Stankutiškių k. (toliau – Žemės sklypas) pagrindinės žemės naudojimo paskirties ir  naudojimo būdo keitimo. Prašymo tikslas: 0,1926 ploto žemės ūkio paskirties Žemės sklypo pagrindinės žemės naudojimo paskirties ir žemės naudojimo būdo keitimas į kitos vienbučių ir dvibučių gyvenamųjų pastatų teritorijos. Su prašymu galima susipažinti nuo 2025-02-14 iki 2025-02-28 Lietuvos Respublikos teritorijų planavimo dokumentų rengimo ir teritorijų planavimo proceso valstybės priežiūros informacinėje svetainėje (TPDRIS.lt) ir Vilniaus rajono savivaldybės interneto svetainėje (vrsa.lt). Pasiūlymus dėl pagrindinės žemės naudojimo paskirties ir žemės naudojimo būdo keitimo galima teikti iki 2025-02-28 Vilniaus rajono savivaldybės administracijai (Rinktinės g. 50, Vilnius) raštu ir Lietuvos Respublikos teritorijų planavimo dokumentų rengimo ir teritorijų planavimo proceso valstybinės priežiūros informacinėje sistemoje.

Ištrauka iš Kraštovaizdžio spec. plano

Prašymas

2025-02-14

Priimtas sprendimas dėl žemės ūkio paskirties žemės sklypo (kadadastro Nr. 4103/0300:8161), esančio Vilniaus r. sav., Avižienių sen., Bukiškio k., pagrindinės žemės naudojimo paskirties ir žemės naudojimo būdo keitimo.

Sprendimas1

Sprendimas2

2025-02-11

Informuojame apie pateiktą nagrinėti prašymą dėl žemės sklypo (kad. Nr. 4152/0200:688), esančio Vilniaus r. sav., Mickūnų sen., Gailiūnų k. (toliau – Žemės sklypas) pagrindinės žemės naudojimo paskirties ir  naudojimo būdo keitimo. Prašymo tikslas: 0,2554 ploto žemės ūkio paskirties Žemės sklypo pagrindinės žemės naudojimo paskirties ir žemės naudojimo būdo keitimas į kitos vienbučių ir dvibučių gyvenamųjų pastatų teritorijos. Su prašymu galima susipažinti nuo 2025-02-13 iki 2025-02-27 Lietuvos Respublikos teritorijų planavimo dokumentų rengimo ir teritorijų planavimo proceso valstybės priežiūros informacinėje svetainėje (TPDRIS.lt) ir Vilniaus rajono savivaldybės interneto svetainėje (vrsa.lt). Pasiūlymus dėl pagrindinės žemės naudojimo paskirties ir žemės naudojimo būdo keitimo galima teikti iki 2025-02-27 Vilniaus rajono savivaldybės administracijai (Rinktinės g. 50, Vilnius) raštu ir Lietuvos Respublikos teritorijų planavimo dokumentų rengimo ir teritorijų planavimo proceso valstybinės priežiūros informacinėje sistemoje.

Ištrauka iš Kraštovaizdžio spec. plano

Prašymas

2025-02-13

Informuojame apie pateiktą nagrinėti prašymą dėl žemės sklypo (kad. Nr. 4177/0300:866), esančio Vilniaus r. sav., Rudaminos sen., Rudaminos k. (toliau – Žemės sklypas) pagrindinės žemės naudojimo paskirties ir  naudojimo būdo keitimo. Prašymo tikslas: 0,2500 ploto žemės ūkio paskirties Žemės sklypo pagrindinės žemės naudojimo paskirties ir žemės naudojimo būdo keitimas į kitos vienbučių ir dvibučių gyvenamųjų pastatų teritorijos. Su prašymu galima susipažinti nuo 2025-02-13 iki 2025-02-27 Lietuvos Respublikos teritorijų planavimo dokumentų rengimo ir teritorijų planavimo proceso valstybės priežiūros informacinėje svetainėje (TPDRIS.lt) ir Vilniaus rajono savivaldybės interneto svetainėje (vrsa.lt). Pasiūlymus dėl pagrindinės žemės naudojimo paskirties ir žemės naudojimo būdo keitimo galima teikti iki 2025-02-27 Vilniaus rajono savivaldybės administracijai (Rinktinės g. 50, Vilnius) raštu ir Lietuvos Respublikos teritorijų planavimo dokumentų rengimo ir teritorijų planavimo proceso valstybinės priežiūros informacinėje sistemoje.

Ištrauka iš Vilniaus rajono savivaldybės teritorijos dalies („U“ žemės naudojimo funkcinės zonos Avižienių, Juodšilių, Nemėžio, Pagirių, Riešės, Rudaminos ir Zujūnų seniūnijose) bendrojo plano

Prašymas

2025-02-13

Informuojame apie pateiktą nagrinėti prašymą dėl žemės sklypo (kad. Nr. 4117/0300:581), esančio Vilniaus r. sav., Riešės sen., Raudondvario k. (toliau – Žemės sklypas) pagrindinės žemės naudojimo paskirties ir  naudojimo būdo keitimo. Prašymo tikslas: 0,0845 ploto žemės ūkio paskirties Žemės sklypo pagrindinės žemės naudojimo paskirties ir žemės naudojimo būdo keitimas į kitos vienbučių ir dvibučių gyvenamųjų pastatų teritorijos. Su prašymu galima susipažinti nuo 2025-02-13 iki 2025-02-27 Lietuvos Respublikos teritorijų planavimo dokumentų rengimo ir teritorijų planavimo proceso valstybės priežiūros informacinėje svetainėje (TPDRIS.lt) ir Vilniaus rajono savivaldybės interneto svetainėje (vrsa.lt). Pasiūlymus dėl pagrindinės žemės naudojimo paskirties ir žemės naudojimo būdo keitimo galima teikti iki 2025-02-27 Vilniaus rajono savivaldybės administracijai (Rinktinės g. 50, Vilnius) raštu ir Lietuvos Respublikos teritorijų planavimo dokumentų rengimo ir teritorijų planavimo proceso valstybinės priežiūros informacinėje sistemoje.

Ištrauka iš Kraštovaizdžio spec. plano

Prašymas

2025-02-13

Informuojame apie pateiktą nagrinėti prašymą dėl žemės sklypo (kad. Nr. 4174/0200:9135), esančio Vilniaus r. sav., Avižienių sen., Bendorių k., Senasis Ukmergės kel. 126B (toliau – Žemės sklypas) pagrindinės žemės naudojimo paskirties ir  naudojimo būdo keitimo. Prašymo tikslas: 0,1300 ploto kitos paskirties Žemės sklypo žemės naudojimo būdo keitimas į komercinės paskirties objektų teritorijos. Su prašymu galima susipažinti nuo 2025-02-13 iki 2025-02-27 Lietuvos Respublikos teritorijų planavimo dokumentų rengimo ir teritorijų planavimo proceso valstybės priežiūros informacinėje svetainėje (TPDRIS.lt) ir Vilniaus rajono savivaldybės interneto svetainėje (vrsa.lt). Pasiūlymus dėl pagrindinės žemės naudojimo paskirties ir žemės naudojimo būdo keitimo galima teikti iki 2025-02-27 Vilniaus rajono savivaldybės administracijai (Rinktinės g. 50, Vilnius) raštu ir Lietuvos Respublikos teritorijų planavimo dokumentų rengimo ir teritorijų planavimo proceso valstybinės priežiūros informacinėje sistemoje.

Ištrauka iš Vilniaus rajono savivaldybės teritorijos dalies („U“ žemės naudojimo funkcinės zonos Avižienių, Juodšilių, Nemėžio, Pagirių, Riešės, Rudaminos ir Zujūnų seniūnijose) bendrojo plano

Prašymas

2025-02-13

Informuojame apie pateiktą nagrinėti prašymą dėl žemės sklypo (kad. Nr. 4174/0200:9134), esančio Vilniaus r. sav., Avižienių sen., Bendorių k., Senasis Ukmergės kel. 126A (toliau – Žemės sklypas) pagrindinės žemės naudojimo paskirties ir  naudojimo būdo keitimo. Prašymo tikslas: 0,1200 ploto kitos paskirties Žemės sklypo žemės naudojimo būdo keitimas į komercinės paskirties objektų teritorijos. Su prašymu galima susipažinti nuo 2025-02-13 iki 2025-02-27 Lietuvos Respublikos teritorijų planavimo dokumentų rengimo ir teritorijų planavimo proceso valstybės priežiūros informacinėje svetainėje (TPDRIS.lt) ir Vilniaus rajono savivaldybės interneto svetainėje (vrsa.lt). Pasiūlymus dėl pagrindinės žemės naudojimo paskirties ir žemės naudojimo būdo keitimo galima teikti iki 2025-02-27 Vilniaus rajono savivaldybės administracijai (Rinktinės g. 50, Vilnius) raštu ir Lietuvos Respublikos teritorijų planavimo dokumentų rengimo ir teritorijų planavimo proceso valstybinės priežiūros informacinėje sistemoje.

Ištrauka iš Vilniaus rajono savivaldybės teritorijos dalies („U“ žemės naudojimo funkcinės zonos Avižienių, Juodšilių, Nemėžio, Pagirių, Riešės, Rudaminos ir Zujūnų seniūnijose) bendrojo plano

Prašymas

2025-02-13

Priimtas sprendimas dėl kitos paskirties žemės sklypo (kad. Nr. 4152/1700:661), esančio Vilniaus r. sav., Mickūnai, Mickūnų g. 1,  žemės naudojimo būdo keitimo.

Sprendimas

2025-02-11

Informuojame apie pateiktą nagrinėti prašymą dėl žemės sklypo (kad. Nr. 4177/0500:692), esančio Vilniaus r. sav., Rudaminos sen., Papiškių k. (toliau – Žemės sklypas) pagrindinės žemės naudojimo paskirties ir  naudojimo būdo keitimo. Prašymo tikslas: 1,1837 ploto žemės ūkio paskirties Žemės sklypo pagrindinės žemės naudojimo paskirties ir žemės naudojimo būdo keitimas į kitos vienbučių ir dvibučių gyvenamųjų pastatų teritorijos. Su prašymu galima susipažinti nuo 2025-02-11 iki 2025-02-25 Lietuvos Respublikos teritorijų planavimo dokumentų rengimo ir teritorijų planavimo proceso valstybės priežiūros informacinėje svetainėje (TPDRIS.lt) ir Vilniaus rajono savivaldybės interneto svetainėje (vrsa.lt). Pasiūlymus dėl pagrindinės žemės naudojimo paskirties ir žemės naudojimo būdo keitimo galima teikti iki 2025-02-25 Vilniaus rajono savivaldybės administracijai (Rinktinės g. 50, Vilnius) raštu ir Lietuvos Respublikos teritorijų planavimo dokumentų rengimo ir teritorijų planavimo proceso valstybinės priežiūros informacinėje sistemoje.

Ištrauka iš Kraštovaizdžio spec. plano

Prašymas

2025-02-11

Informuojame apie pateiktą nagrinėti prašymą dėl žemės sklypo (kad. Nr. 4184/0500:888), esančio Vilniaus r. sav., Sudervės sen., Grikienių k. (toliau – Žemės sklypas)  naudojimo būdo keitimo. Prašymo tikslas: 0,0954 ploto kitos paskirties Žemės sklypo žemės naudojimo būdo keitimas į kitos pramonės ir sandėliavimo objektų teritorijos. Su prašymu galima susipažinti nuo 2025-02-11 iki 2025-02-25 Lietuvos Respublikos teritorijų planavimo dokumentų rengimo ir teritorijų planavimo proceso valstybės priežiūros informacinėje svetainėje (TPDRIS.lt) ir Vilniaus rajono savivaldybės interneto svetainėje (vrsa.lt). Pasiūlymus dėl pagrindinės žemės naudojimo paskirties ir žemės naudojimo būdo keitimo galima teikti iki 2025-02-25 Vilniaus rajono savivaldybės administracijai (Rinktinės g. 50, Vilnius) raštu ir Lietuvos Respublikos teritorijų planavimo dokumentų rengimo ir teritorijų planavimo proceso valstybinės priežiūros informacinėje sistemoje.

Vilniaus rajono savivaldybės teritorijos dalies („ZRg“ žemės naudojimo funkcinės zonos Sudervės seniūnijoje) bendrojo plano ištrauka

Prašymas

2025-02-11

Informuojame apie pateiktą nagrinėti prašymą dėl žemės sklypo (kad. Nr. 4172/0200:207), esančio Vilniaus r. sav., Nemenčinės sen., Nemenčinės II k. (toliau – Žemės sklypas) pagrindinės žemės naudojimo paskirties ir  naudojimo būdo keitimo. Prašymo tikslas: 0,4202 ploto žemės ūkio paskirties Žemės sklypo pagrindinės žemės naudojimo paskirties ir žemės naudojimo būdo keitimas į kitos vienbučių ir dvibučių gyvenamųjų pastatų teritorijos. Su prašymu galima susipažinti nuo 2025-02-07 iki 2025-02-21 Lietuvos Respublikos teritorijų planavimo dokumentų rengimo ir teritorijų planavimo proceso valstybės priežiūros informacinėje svetainėje (TPDRIS.lt) ir Vilniaus rajono savivaldybės interneto svetainėje (vrsa.lt). Pasiūlymus dėl pagrindinės žemės naudojimo paskirties ir žemės naudojimo būdo keitimo galima teikti iki 2025-02-21 Vilniaus rajono savivaldybės administracijai (Rinktinės g. 50, Vilnius) raštu ir Lietuvos Respublikos teritorijų planavimo dokumentų rengimo ir teritorijų planavimo proceso valstybinės priežiūros informacinėje sistemoje.

Ištrauka iš Kraštovaizdžio spec. plano

Prašymas

2025-02-07

Informuojame apie pateiktą nagrinėti prašymą dėl žemės sklypo (kad. Nr. 4152/1700:747), esančio Vilniaus r. sav., Mickūnų sen., Parūdupių k. (toliau – Žemės sklypas) pagrindinės žemės naudojimo paskirties ir  naudojimo būdo keitimo. Prašymo tikslas: 0,1398 ploto žemės ūkio paskirties Žemės sklypo pagrindinės žemės naudojimo paskirties ir žemės naudojimo būdo keitimas į kitos vienbučių ir dvibučių gyvenamųjų pastatų teritorijos. Su prašymu galima susipažinti nuo 2025-02-07 iki 2025-02-21 Lietuvos Respublikos teritorijų planavimo dokumentų rengimo ir teritorijų planavimo proceso valstybės priežiūros informacinėje svetainėje (TPDRIS.lt) ir Vilniaus rajono savivaldybės interneto svetainėje (vrsa.lt). Pasiūlymus dėl pagrindinės žemės naudojimo paskirties ir žemės naudojimo būdo keitimo galima teikti iki 2025-02-21 Vilniaus rajono savivaldybės administracijai (Rinktinės g. 50, Vilnius) raštu ir Lietuvos Respublikos teritorijų planavimo dokumentų rengimo ir teritorijų planavimo proceso valstybinės priežiūros informacinėje sistemoje.

Ištrauka iš Kraštovaizdžio spec. plano

Prašymas

2025-02-07

Informuojame apie pateiktą nagrinėti prašymą dėl žemės sklypo (kad. Nr. 4162/0200:820), esančio Vilniaus r. sav., Nemėžio sen., Didžiasalio k. (toliau – Žemės sklypas) pagrindinės žemės naudojimo paskirties ir  naudojimo būdo keitimo. Prašymo tikslas: 1,1300 ploto žemės ūkio paskirties Žemės sklypo pagrindinės žemės naudojimo paskirties ir žemės naudojimo būdo keitimas į kitos vienbučių ir dvibučių gyvenamųjų pastatų teritorijos. Su prašymu galima susipažinti nuo 2025-02-07 iki 2025-02-21 Lietuvos Respublikos teritorijų planavimo dokumentų rengimo ir teritorijų planavimo proceso valstybės priežiūros informacinėje svetainėje (TPDRIS.lt) ir Vilniaus rajono savivaldybės interneto svetainėje (vrsa.lt). Pasiūlymus dėl pagrindinės žemės naudojimo paskirties ir žemės naudojimo būdo keitimo galima teikti iki 2025-02-21 Vilniaus rajono savivaldybės administracijai (Rinktinės g. 50, Vilnius) raštu ir Lietuvos Respublikos teritorijų planavimo dokumentų rengimo ir teritorijų planavimo proceso valstybinės priežiūros informacinėje sistemoje.

Ištrauka iš Kraštovaizdžio spec. plano

Prašymas

2025-02-07

Informuojame apie pateiktą nagrinėti prašymą dėl žemės sklypo (kad. Nr. 4152/1700:30), esančio Vilniaus r. sav., Mickūnų sen., Parūdupių k. (toliau – Žemės sklypas) pagrindinės žemės naudojimo paskirties ir  naudojimo būdo keitimo. Prašymo tikslas: 0,1900 ploto žemės ūkio paskirties Žemės sklypo pagrindinės žemės naudojimo paskirties ir žemės naudojimo būdo keitimas į kitos vienbučių ir dvibučių gyvenamųjų pastatų teritorijos. Su prašymu galima susipažinti nuo 2025-02-07 iki 2025-02-21 Lietuvos Respublikos teritorijų planavimo dokumentų rengimo ir teritorijų planavimo proceso valstybės priežiūros informacinėje svetainėje (TPDRIS.lt) ir Vilniaus rajono savivaldybės interneto svetainėje (vrsa.lt). Pasiūlymus dėl pagrindinės žemės naudojimo paskirties ir žemės naudojimo būdo keitimo galima teikti iki 2025-02-21 Vilniaus rajono savivaldybės administracijai (Rinktinės g. 50, Vilnius) raštu ir Lietuvos Respublikos teritorijų planavimo dokumentų rengimo ir teritorijų planavimo proceso valstybinės priežiūros informacinėje sistemoje.

Ištrauka iš Kraštovaizdžio spec. plano

Prašymas

2025-02-07

Informuojame apie pateiktą nagrinėti prašymą dėl žemės sklypo (kad. Nr. 4167/0300:563), esančio Vilniaus r. sav., Pagirių sen., Tarnėnų k. (toliau – Žemės sklypas) pagrindinės žemės naudojimo paskirties ir  naudojimo būdo keitimo. Prašymo tikslas: 1,0350 ploto žemės ūkio paskirties Žemės sklypo pagrindinės žemės naudojimo paskirties ir žemės naudojimo būdo keitimas į kitos vienbučių ir dvibučių gyvenamųjų pastatų teritorijos. Su prašymu galima susipažinti nuo 2025-02-06 iki 2025-02-20 Lietuvos Respublikos teritorijų planavimo dokumentų rengimo ir teritorijų planavimo proceso valstybės priežiūros informacinėje svetainėje (TPDRIS.lt) ir Vilniaus rajono savivaldybės interneto svetainėje (vrsa.lt). Pasiūlymus dėl pagrindinės žemės naudojimo paskirties ir žemės naudojimo būdo keitimo galima teikti iki 2025-02-20 Vilniaus rajono savivaldybės administracijai (Rinktinės g. 50, Vilnius) raštu ir Lietuvos Respublikos teritorijų planavimo dokumentų rengimo ir teritorijų planavimo proceso valstybinės priežiūros informacinėje sistemoje.

Ištrauka iš Kraštovaizdžio spec. plano

Prašymas

2025-02-06

Informuojame apie pateiktą nagrinėti prašymą dėl žemės sklypo (kad. Nr. 4167/0300:564), esančio Vilniaus r. sav., Pagirių sen., Tarnėnų k., Lakštingalų g. 7 (toliau – Žemės sklypas) pagrindinės žemės naudojimo paskirties ir  naudojimo būdo keitimo. Prašymo tikslas: 2,5725 ploto žemės ūkio paskirties Žemės sklypo pagrindinės žemės naudojimo paskirties ir žemės naudojimo būdo keitimas į kitos vienbučių ir dvibučių gyvenamųjų pastatų teritorijos. Su prašymu galima susipažinti nuo 2025-02-06 iki 2025-02-20 Lietuvos Respublikos teritorijų planavimo dokumentų rengimo ir teritorijų planavimo proceso valstybės priežiūros informacinėje svetainėje (TPDRIS.lt) ir Vilniaus rajono savivaldybės interneto svetainėje (vrsa.lt). Pasiūlymus dėl pagrindinės žemės naudojimo paskirties ir žemės naudojimo būdo keitimo galima teikti iki 2025-02-20 Vilniaus rajono savivaldybės administracijai (Rinktinės g. 50, Vilnius) raštu ir Lietuvos Respublikos teritorijų planavimo dokumentų rengimo ir teritorijų planavimo proceso valstybinės priežiūros informacinėje sistemoje.

Ištrauka iš Kraštovaizdžio spec. plano

Prašymas

2025-02-06

Informuojame apie pateiktą nagrinėti prašymą dėl žemės sklypo (kad. Nr. 4120/0100:343), esančio Vilniaus r. sav., Nemenčinės sen., Krikščioniškių k. (toliau – Žemės sklypas) pagrindinės žemės naudojimo paskirties ir  naudojimo būdo keitimo. Prašymo tikslas: 0,1000 ploto žemės ūkio paskirties Žemės sklypo pagrindinės žemės naudojimo paskirties ir žemės naudojimo būdo keitimas į kitos vienbučių ir dvibučių gyvenamųjų pastatų teritorijos. Su prašymu galima susipažinti nuo 2025-02-06 iki 2025-02-20 Lietuvos Respublikos teritorijų planavimo dokumentų rengimo ir teritorijų planavimo proceso valstybės priežiūros informacinėje svetainėje (TPDRIS.lt) ir Vilniaus rajono savivaldybės interneto svetainėje (vrsa.lt). Pasiūlymus dėl pagrindinės žemės naudojimo paskirties ir žemės naudojimo būdo keitimo galima teikti iki 2025-02-20 Vilniaus rajono savivaldybės administracijai (Rinktinės g. 50, Vilnius) raštu ir Lietuvos Respublikos teritorijų planavimo dokumentų rengimo ir teritorijų planavimo proceso valstybinės priežiūros informacinėje sistemoje.

Ištrauka iš Kraštovaizdžio spec. plano

Prašymas

2025-02-06

Informuojame apie pateiktą nagrinėti prašymą dėl žemės sklypo (kad. Nr. 4196/0400:463), esančio Vilniaus r. sav., Paberžės sen., Žemaitėlių vs. (toliau – Žemės sklypas) pagrindinės žemės naudojimo paskirties ir  naudojimo būdo keitimo. Prašymo tikslas: 0,2718 ploto žemės ūkio paskirties Žemės sklypo pagrindinės žemės naudojimo paskirties ir žemės naudojimo būdo keitimas į kitos rekreacinės teritorijos. Su prašymu galima susipažinti nuo 2025-02-06 iki 2025-02-20 Lietuvos Respublikos teritorijų planavimo dokumentų rengimo ir teritorijų planavimo proceso valstybės priežiūros informacinėje svetainėje (TPDRIS.lt) ir Vilniaus rajono savivaldybės interneto svetainėje (vrsa.lt). Pasiūlymus dėl pagrindinės žemės naudojimo paskirties ir žemės naudojimo būdo keitimo galima teikti iki 2025-02-20 Vilniaus rajono savivaldybės administracijai (Rinktinės g. 50, Vilnius) raštu ir Lietuvos Respublikos teritorijų planavimo dokumentų rengimo ir teritorijų planavimo proceso valstybinės priežiūros informacinėje sistemoje.

Ištrauka iš Kraštovaizdžio spec. plano

Prašymas

2025-02-06

Priimtas sprendimas dėl kitos paskirties žemės sklypo (kadastro Nr. 4142/0300:577), esančio Vilniaus r. sav., Šatrininkų sen., Grigaičių k., Geležinkelio g. 13,  žemės naudojimo būdo keitimo.

Sprendimas

2025-02-05

Informuojame apie pateiktą nagrinėti prašymą dėl žemės sklypo (kad. Nr. 4110/0400:701), esančio Vilniaus r. sav., Zujūnų sen., Koplyčninkų k. (toliau – Žemės sklypas) pagrindinės žemės naudojimo paskirties ir  naudojimo būdo keitimo. Prašymo tikslas: 0,1400 ploto žemės ūkio paskirties Žemės sklypo pagrindinės žemės naudojimo paskirties ir žemės naudojimo būdo keitimas į kitos vienbučių ir dvibučių gyvenamųjų pastatų teritorijos. Su prašymu galima susipažinti nuo 2025-02-04 iki 2025-02-18 Lietuvos Respublikos teritorijų planavimo dokumentų rengimo ir teritorijų planavimo proceso valstybės priežiūros informacinėje svetainėje (TPDRIS.lt) ir Vilniaus rajono savivaldybės interneto svetainėje (vrsa.lt). Pasiūlymus dėl pagrindinės žemės naudojimo paskirties ir žemės naudojimo būdo keitimo galima teikti iki 2025-02-18 Vilniaus rajono savivaldybės administracijai (Rinktinės g. 50, Vilnius) raštu ir Lietuvos Respublikos teritorijų planavimo dokumentų rengimo ir teritorijų planavimo proceso valstybinės priežiūros informacinėje sistemoje.

Ištrauka iš Kraštovaizdžio spec. plano

Prašymas

2025-02-04

Informuojame apie pateiktą nagrinėti prašymą dėl žemės sklypo (kad. Nr. 4192/0100:965), esančio Vilniaus r. sav., Sužionių sen., Veriškių k. (toliau – Žemės sklypas) pagrindinės žemės naudojimo paskirties ir  naudojimo būdo keitimo. Prašymo tikslas: 2,0700 ploto žemės ūkio paskirties Žemės sklypo pagrindinės žemės naudojimo paskirties ir žemės naudojimo būdo keitimas į kitos vienbučių ir dvibučių gyvenamųjų pastatų teritorijos. Su prašymu galima susipažinti nuo 2025-02-04 iki 2025-02-18 Lietuvos Respublikos teritorijų planavimo dokumentų rengimo ir teritorijų planavimo proceso valstybės priežiūros informacinėje svetainėje (TPDRIS.lt) ir Vilniaus rajono savivaldybės interneto svetainėje (vrsa.lt). Pasiūlymus dėl pagrindinės žemės naudojimo paskirties ir žemės naudojimo būdo keitimo galima teikti iki 2025-02-18 Vilniaus rajono savivaldybės administracijai (Rinktinės g. 50, Vilnius) raštu ir Lietuvos Respublikos teritorijų planavimo dokumentų rengimo ir teritorijų planavimo proceso valstybinės priežiūros informacinėje sistemoje.

Ištrauka iš Kraštovaizdžio spec. plano

Prašymas

2025-02-04

Informuojame apie pateiktą nagrinėti prašymą dėl žemės sklypo (kad. Nr. 4177/0500:191), esančio Vilniaus r. sav., Rudaminos sen., Naujakiemio k. (toliau – Žemės sklypas) pagrindinės žemės naudojimo paskirties ir  naudojimo būdo keitimo. Prašymo tikslas: 0,3000 ploto žemės ūkio paskirties Žemės sklypo pagrindinės žemės naudojimo paskirties ir žemės naudojimo būdo keitimas į kitos vienbučių ir dvibučių gyvenamųjų pastatų teritorijos. Su prašymu galima susipažinti nuo 2025-02-04 iki 2025-02-18 Lietuvos Respublikos teritorijų planavimo dokumentų rengimo ir teritorijų planavimo proceso valstybės priežiūros informacinėje svetainėje (TPDRIS.lt) ir Vilniaus rajono savivaldybės interneto svetainėje (vrsa.lt). Pasiūlymus dėl pagrindinės žemės naudojimo paskirties ir žemės naudojimo būdo keitimo galima teikti iki 2025-02-18 Vilniaus rajono savivaldybės administracijai (Rinktinės g. 50, Vilnius) raštu ir Lietuvos Respublikos teritorijų planavimo dokumentų rengimo ir teritorijų planavimo proceso valstybinės priežiūros informacinėje sistemoje.

Ištrauka iš Kraštovaizdžio spec. plano

Prašymas

2025-02-04

Informuojame apie pateiktą nagrinėti prašymą dėl žemės sklypo (kad. Nr. 4147/0400:516), esančio Vilniaus r. sav., Maišiagalos sen., Maišiagalos mstl. (toliau – Žemės sklypas) pagrindinės žemės naudojimo paskirties ir  naudojimo būdo keitimo. Prašymo tikslas: 0,3378 ploto žemės ūkio paskirties Žemės sklypo pagrindinės žemės naudojimo paskirties ir žemės naudojimo būdo keitimas į kitos vienbučių ir dvibučių gyvenamųjų pastatų teritorijos. Su prašymu galima susipažinti nuo 2025-02-04 iki 2025-02-18 Lietuvos Respublikos teritorijų planavimo dokumentų rengimo ir teritorijų planavimo proceso valstybės priežiūros informacinėje svetainėje (TPDRIS.lt) ir Vilniaus rajono savivaldybės interneto svetainėje (vrsa.lt). Pasiūlymus dėl pagrindinės žemės naudojimo paskirties ir žemės naudojimo būdo keitimo galima teikti iki 2025-02-18 Vilniaus rajono savivaldybės administracijai (Rinktinės g. 50, Vilnius) raštu ir Lietuvos Respublikos teritorijų planavimo dokumentų rengimo ir teritorijų planavimo proceso valstybinės priežiūros informacinėje sistemoje.

Ištrauka iš Kraštovaizdžio spec. plano

Prašymas

2025-02-04

Priimtas sprendimas dėl žemės ūkio paskirties žemės sklypo (kadastro Nr. 4132/0100:626), esančio Vilniaus r. sav., Maišiagalos sen., Karvio k., pagrindinės žemės naudojimo paskirties ir žemės naudojimo būdo keitimo.

Sprendimas

2025-02-04

Informuojame apie pateiktą nagrinėti prašymą dėl žemės sklypo (kad. Nr. 4110/0100:472), esančio Vilniaus r. sav., Zujūnų sen., Čekoniškių k. (toliau – Žemės sklypas) pagrindinės žemės naudojimo paskirties ir žemės naudojimo būdo keitimo. Prašymo tikslas: nustatyti 0,5432 ha ploto žemės ūkio paskirties Žemės sklypo pagrindinės žemės naudojimo paskirties ir žemės naudojimo būdo keitimas į kitos – rekreacinės teritorijos. Su prašymu galima susipažinti nuo 2025-31-10 iki 2025-02-14 Lietuvos Respublikos teritorijų planavimo dokumentų rengimo ir teritorijų planavimo proceso valstybės priežiūros informacinėje svetainėje (TPDRIS.lt) ir Vilniaus rajono savivaldybės interneto svetainėje (vrsa.lt). Pasiūlymus dėl pagrindinės žemės naudojimo paskirties ir žemės naudojimo būdo keitimo galima teikti iki 2025-02-14 Vilniaus rajono savivaldybės administracijai (Rinktinės g. 50, Vilnius) raštu ir Lietuvos Respublikos teritorijų planavimo dokumentų rengimo ir teritorijų planavimo proceso valstybinės priežiūros informacinėje sistemoje.

Ištrauka iš Kraštovaizdžio spec. plano

Prašymas

2025-01-31

Informuojame apie pateiktą nagrinėti prašymą dėl žemės sklypo (kad. Nr. 4177/0200:17), esančio Vilniaus r. sav., Rudaminos sen., Rudaminos k. (toliau – Žemės sklypas) pagrindinės žemės naudojimo paskirties ir  naudojimo būdo keitimo. Prašymo tikslas: 0,1300 ploto žemės ūkio paskirties Žemės sklypo pagrindinės žemės naudojimo paskirties ir žemės naudojimo būdo keitimas į kitos vienbučių ir dvibučių gyvenamųjų pastatų teritorijos. Su prašymu galima susipažinti nuo 2025-01-31 iki 2025-02-14 Lietuvos Respublikos teritorijų planavimo dokumentų rengimo ir teritorijų planavimo proceso valstybės priežiūros informacinėje svetainėje (TPDRIS.lt) ir Vilniaus rajono savivaldybės interneto svetainėje (vrsa.lt). Pasiūlymus dėl pagrindinės žemės naudojimo paskirties ir žemės naudojimo būdo keitimo galima teikti iki 2025-02-14 Vilniaus rajono savivaldybės administracijai (Rinktinės g. 50, Vilnius) raštu ir Lietuvos Respublikos teritorijų planavimo dokumentų rengimo ir teritorijų planavimo proceso valstybinės priežiūros informacinėje sistemoje.

Ištrauka iš Kraštovaizdžio spec. plano

Prašymas

2025-01-31

Informuojame apie pateiktą nagrinėti prašymą dėl žemės sklypo (kad. Nr. 4152/0100:579), esančio Vilniaus r. sav., Mickūnų sen., Egliškių k. (toliau – Žemės sklypas) naudojimo būdo keitimo. Prašymo tikslas: 0,3468 ploto kitos paskirties Žemės sklypo žemės naudojimo būdo keitimas į visuomeninės paskirties teritorijos. Su prašymu galima susipažinti nuo 2025-01-31 iki 2025-02-14 Lietuvos Respublikos teritorijų planavimo dokumentų rengimo ir teritorijų planavimo proceso valstybės priežiūros informacinėje svetainėje (TPDRIS.lt) ir Vilniaus rajono savivaldybės interneto svetainėje (vrsa.lt). Pasiūlymus dėl pagrindinės žemės naudojimo paskirties ir žemės naudojimo būdo keitimo galima teikti iki 2025-02-14 Vilniaus rajono savivaldybės administracijai (Rinktinės g. 50, Vilnius) raštu ir Lietuvos Respublikos teritorijų planavimo dokumentų rengimo ir teritorijų planavimo proceso valstybinės priežiūros informacinėje sistemoje.

Ištrauka iš Kraštovaizdžio spec. plano

Prašymas

2025-01-31

Priimtas sprendimas dėl žemės ūkio paskirties žemės sklypo (kad. Nr. 4140/0400:0010), esančio Vilniaus r. sav., Kalvelių sen., Kalvelių k., pagrindinės žemės naudojimo paskirties ir žemės naudojimo būdo keitimo.

Sprendimas

2025-01-30

Priimtas sprendimas dėl žemės ūkio paskirties žemės sklypo (kad. Nr. 4110/0300:1679), esančio Vilniaus r. sav., Zujūnų sen., Medžiakalnio k., pagrindinės žemės naudojimo paskirties ir žemės naudojimo būdo keitimo.

Sprendimas

2025-01-30

Priimtas sprendimas dėl žemės ūkio paskirties žemės sklypo (kad. Nr. 4152/0100:579), esančio Vilniaus r. sav., Mickūnų sen., Egliškių k.,  pagrindinės žemės naudojimo paskirties ir žemės naudojimo būdo keitimo.

Sprendimas

2025-01-30

Informuojame apie pateiktą nagrinėti prašymą dėl žemės sklypo (kad. Nr. 4154/1900:484), esančio Vilniaus r. sav., Marijampolio sen., Slabados k. (toliau – Žemės sklypas) pagrindinės žemės naudojimo paskirties ir  naudojimo būdo keitimo. Prašymo tikslas: 0,2400 ploto žemės ūkio paskirties Žemės sklypo pagrindinės žemės naudojimo paskirties ir žemės naudojimo būdo keitimas į kitos vienbučių ir dvibučių gyvenamųjų pastatų teritorijos. Su prašymu galima susipažinti nuo 2025-01-30 iki 2025-02-13 Lietuvos Respublikos teritorijų planavimo dokumentų rengimo ir teritorijų planavimo proceso valstybės priežiūros informacinėje svetainėje (TPDRIS.lt) ir Vilniaus rajono savivaldybės interneto svetainėje (vrsa.lt). Pasiūlymus dėl pagrindinės žemės naudojimo paskirties ir žemės naudojimo būdo keitimo galima teikti iki 2025-02-13 Vilniaus rajono savivaldybės administracijai (Rinktinės g. 50, Vilnius) raštu ir Lietuvos Respublikos teritorijų planavimo dokumentų rengimo ir teritorijų planavimo proceso valstybinės priežiūros informacinėje sistemoje.

Ištrauka iš Kraštovaizdžio spec. plano

Prašymas

2025-01-30

Informuojame apie pateiktą nagrinėti prašymą dėl žemės sklypo (kad. Nr. 4162/0400:260), esančio Vilniaus r. sav., Nemėžio sen., Skaidiškių k., Rudaminos g. 1 (toliau – Žemės sklypi) naudojimo būdo keitimo. Prašymo tikslas: 0,4980 ploto kitos paskirties Žemės sklypo žemės naudojimo būdo keitimas į pramonės ir sandėliavimo objektų teritorijos. Su prašymu galima susipažinti nuo 2025-01-30 iki 2025-02-13 Lietuvos Respublikos teritorijų planavimo dokumentų rengimo ir teritorijų planavimo proceso valstybės priežiūros informacinėje svetainėje (TPDRIS.lt) ir Vilniaus rajono savivaldybės interneto svetainėje (vrsa.lt). Pasiūlymus dėl pagrindinės žemės naudojimo paskirties ir žemės naudojimo būdo keitimo galima teikti iki 2025-02-13 Vilniaus rajono savivaldybės administracijai (Rinktinės g. 50, Vilnius) raštu ir Lietuvos Respublikos teritorijų planavimo dokumentų rengimo ir teritorijų planavimo proceso valstybinės priežiūros informacinėje sistemoje.

Ištrauka iš Kraštovaizdžio spec. plano

Prašymas

2025-01-30

Informuojame apie pateiktą nagrinėti prašymą dėl žemės sklypo (kad. Nr. 4170/0100:247), esančio Vilniaus r. sav., Riešės sen., Pikeliškių k. (toliau – Žemės sklypas) pagrindinės žemės naudojimo paskirties ir  naudojimo būdo keitimo. Prašymo tikslas: 0,5000 ploto žemės ūkio paskirties Žemės sklypo pagrindinės žemės naudojimo paskirties ir žemės naudojimo būdo keitimas į kitos vienbučių ir dvibučių gyvenamųjų pastatų teritorijos. Su prašymu galima susipažinti nuo 2025-01-30 iki 2025-02-13 Lietuvos Respublikos teritorijų planavimo dokumentų rengimo ir teritorijų planavimo proceso valstybės priežiūros informacinėje svetainėje (TPDRIS.lt) ir Vilniaus rajono savivaldybės interneto svetainėje (vrsa.lt). Pasiūlymus dėl pagrindinės žemės naudojimo paskirties ir žemės naudojimo būdo keitimo galima teikti iki 2025-02-13 Vilniaus rajono savivaldybės administracijai (Rinktinės g. 50, Vilnius) raštu ir Lietuvos Respublikos teritorijų planavimo dokumentų rengimo ir teritorijų planavimo proceso valstybinės priežiūros informacinėje sistemoje.

Ištrauka iš Kraštovaizdžio spec. plano

Prašymas

2025-01-30

Informuojame apie pateiktą nagrinėti prašymą dėl žemės sklypo (kad. Nr. 4167/0300:423), esančio Vilniaus r. sav., Pagirių sen., Tarnėnų k. (toliau – Žemės sklypas) pagrindinės žemės naudojimo paskirties ir  naudojimo būdo keitimo. Prašymo tikslas: 0,6659 ploto žemės ūkio paskirties Žemės sklypo pagrindinės žemės naudojimo paskirties ir žemės naudojimo būdo keitimas į kitos vienbučių ir dvibučių gyvenamųjų pastatų teritorijos. Su prašymu galima susipažinti nuo 2025-01-29 iki 2025-02-12 Lietuvos Respublikos teritorijų planavimo dokumentų rengimo ir teritorijų planavimo proceso valstybės priežiūros informacinėje svetainėje (TPDRIS.lt) ir Vilniaus rajono savivaldybės interneto svetainėje (vrsa.lt). Pasiūlymus dėl pagrindinės žemės naudojimo paskirties ir žemės naudojimo būdo keitimo galima teikti iki 2025-02-12 Vilniaus rajono savivaldybės administracijai (Rinktinės g. 50, Vilnius) raštu ir Lietuvos Respublikos teritorijų planavimo dokumentų rengimo ir teritorijų planavimo proceso valstybinės priežiūros informacinėje sistemoje.

Ištrauka iš Kraštovaizdžio spec. plano

Prašymas

2025-01-29

Informuojame apie pateiktą nagrinėti prašymą dėl žemės sklypo (kad. Nr. 4172/0100:402), esančio Vilniaus r. sav., Nemenčinės sen., Raudondvario k. (toliau – Žemės sklypas) pagrindinės žemės naudojimo paskirties ir  naudojimo būdo keitimo. Prašymo tikslas: 0,3100 ploto žemės ūkio paskirties Žemės sklypo pagrindinės žemės naudojimo paskirties ir žemės naudojimo būdo keitimas į kitos – vienbučių ir dvibučių gyvenamųjų pastatų teritorijos. Su prašymu galima susipažinti nuo 2025-01-03 iki 2025-01-17 Lietuvos Respublikos teritorijų planavimo dokumentų rengimo ir teritorijų planavimo proceso valstybės priežiūros informacinėje svetainėje (TPDRIS.lt) ir Vilniaus rajono savivaldybės interneto svetainėje (vrsa.lt). Pasiūlymus dėl pagrindinės žemės naudojimo paskirties ir žemės naudojimo būdo keitimo galima teikti iki 2025-01-17 Vilniaus rajono savivaldybės administracijai (Rinktinės g. 50, Vilnius) raštu ir Lietuvos Respublikos teritorijų planavimo dokumentų rengimo ir teritorijų planavimo proceso valstybinės priežiūros informacinėje sistemoje.

Ištrauka iš Kraštovaizdžio spec. plano

Prašymas

2025-01-03

 

Informuojame apie pateiktą nagrinėti prašymą dėl žemės sklypo (kad. Nr. 4132/0100:626), esančio Vilniaus r. sav., Maišiagalos sen., Karvio k. (toliau – Žemės sklypi) pagrindinės žemės naudojimo paskirties ir  naudojimo būdo keitimo. Prašymo tikslas: 0,0486 ploto žemės ūkio paskirties Žemės sklypo pagrindinės žemės naudojimo paskirties ir žemės naudojimo būdo keitimas į kitos – rekreacinės teritorijos. Su prašymu galima susipažinti nuo 2024-12-30 iki 2025-01-14 Lietuvos Respublikos teritorijų planavimo dokumentų rengimo ir teritorijų planavimo proceso valstybės priežiūros informacinėje svetainėje (TPDRIS.lt) ir Vilniaus rajono savivaldybės interneto svetainėje (vrsa.lt). Pasiūlymus dėl pagrindinės žemės naudojimo paskirties ir žemės naudojimo būdo keitimo galima teikti iki 2025-01-14 Vilniaus rajono savivaldybės administracijai (Rinktinės g. 50, Vilnius) raštu ir Lietuvos Respublikos teritorijų planavimo dokumentų rengimo ir teritorijų planavimo proceso valstybinės priežiūros informacinėje sistemoje.

Ištrauka iš Kraštovaizdžio spec. plano

Prašymas

2024-12-30

Informuojame apie pateiktą nagrinėti prašymą dėl žemės sklypo (kad. Nr. 4174/0200:8198), esančio Vilniaus r. sav., Avižienių sen., Lindiniškių k. (toliau – Žemės sklypi) pagrindinės žemės naudojimo paskirties ir  naudojimo būdo keitimo. Prašymo tikslas: 0.5000 ha ploto žemės ūkio paskirties Žemės sklypo pagrindinės žemės naudojimo paskirties ir žemės naudojimo būdo keitimas į kitos – vienbučių ir dvibučių gyvenamųjų pastatų teritorijos. Su prašymu galima susipažinti nuo 2024-12-30 iki 2025-01-14 Lietuvos Respublikos teritorijų planavimo dokumentų rengimo ir teritorijų planavimo proceso valstybės priežiūros informacinėje svetainėje (TPDRIS.lt) ir Vilniaus rajono savivaldybės interneto svetainėje (vrsa.lt). Pasiūlymus dėl pagrindinės žemės naudojimo paskirties ir žemės naudojimo būdo keitimo galima teikti iki 2025-01-14 Vilniaus rajono savivaldybės administracijai (Rinktinės g. 50, Vilnius) raštu ir Lietuvos Respublikos teritorijų planavimo dokumentų rengimo ir teritorijų planavimo proceso valstybinės priežiūros informacinėje sistemoje.

Ištrauka iš Vilniaus rajono savivaldybės teritorijos dalies („U“ žemės naudojimo funkcinės zonos Avižienių, Juodšilių, Nemėžio, Pagirių, Riešės, Rudaminos ir Zujūnų seniūnijose) bendrojo plano

Prašymas

2024-12-30

Informuojame apie pateiktą nagrinėti prašymą dėl žemės sklypo (kad. Nr. 4103/0200:1614), esančio Vilniaus r. sav., Avižienių sen., Avižienių k. (toliau – Žemės sklypi) pagrindinės žemės naudojimo paskirties ir  naudojimo būdo keitimo. Prašymo tikslas: 0.1000 ha ploto žemės ūkio paskirties Žemės sklypo pagrindinės žemės naudojimo paskirties ir žemės naudojimo būdo keitimas į kitos – vienbučių ir dvibučių gyvenamųjų pastatų teritorijos. Su prašymu galima susipažinti nuo 2024-12-12 iki 2025-01-09 Lietuvos Respublikos teritorijų planavimo dokumentų rengimo ir teritorijų planavimo proceso valstybės priežiūros informacinėje svetainėje (TPDRIS.lt) ir Vilniaus rajono savivaldybės interneto svetainėje (vrsa.lt). Pasiūlymus dėl pagrindinės žemės naudojimo paskirties ir žemės naudojimo būdo keitimo galima teikti iki 2025-01-09 Vilniaus rajono savivaldybės administracijai (Rinktinės g. 50, Vilnius) raštu ir Lietuvos Respublikos teritorijų planavimo dokumentų rengimo ir teritorijų planavimo proceso valstybinės priežiūros informacinėje sistemoje.

Ištrauka iš Vilniaus rajono savivaldybės teritorijos dalies („U“ žemės naudojimo funkcinės zonos Avižienių, Juodšilių, Nemėžio, Pagirių, Riešės, Rudaminos ir Zujūnų seniūnijose) bendrojo plano

Prašymas

2024-12-20

Informuojame apie pateiktą nagrinėti prašymą dėl žemės sklypo (kad. Nr. 4172/0100:229), esančio Vilniaus r. sav., Nemenčinės sen., Raudondvario k. (toliau – Žemės sklypi) pagrindinės žemės naudojimo paskirties ir  naudojimo būdo keitimo. Prašymo tikslas: 0.2000 ha ploto žemės ūkio paskirties Žemės sklypo pagrindinės žemės naudojimo paskirties ir žemės naudojimo būdo keitimas į kitos – vienbučių ir dvibučių gyvenamųjų pastatų teritorijos. Su prašymu galima susipažinti nuo 2024-12-12 iki 2025-01-09 Lietuvos Respublikos teritorijų planavimo dokumentų rengimo ir teritorijų planavimo proceso valstybės priežiūros informacinėje svetainėje (TPDRIS.lt) ir Vilniaus rajono savivaldybės interneto svetainėje (vrsa.lt). Pasiūlymus dėl pagrindinės žemės naudojimo paskirties ir žemės naudojimo būdo keitimo galima teikti iki 2025-01-09 Vilniaus rajono savivaldybės administracijai (Rinktinės g. 50, Vilnius) raštu ir Lietuvos Respublikos teritorijų planavimo dokumentų rengimo ir teritorijų planavimo proceso valstybinės priežiūros informacinėje sistemoje.

Ištrauka iš Kraštovaizdžio spec. plano

Prašymas

2024-12-20

Informuojame apie pateiktą nagrinėti prašymą dėl žemės sklypo (kad. Nr. 4180/0900:191), esančio Vilniaus r. sav., Rukainių sen., Senasalio k.(toliau – Žemės sklypi) pagrindinės žemės naudojimo paskirties ir  naudojimo būdo keitimo. Prašymo tikslas: 0.3200 ha ploto žemės ūkio paskirties Žemės sklypo pagrindinės žemės naudojimo paskirties ir žemės naudojimo būdo keitimas į kitos – vienbučių ir dvibučių gyvenamųjų pastatų teritorijos. Su prašymu galima susipažinti nuo 2024-12-19 iki 2025-01-08 Lietuvos Respublikos teritorijų planavimo dokumentų rengimo ir teritorijų planavimo proceso valstybės priežiūros informacinėje svetainėje (TPDRIS.lt) ir Vilniaus rajono savivaldybės interneto svetainėje (vrsa.lt). Pasiūlymus dėl pagrindinės žemės naudojimo paskirties ir žemės naudojimo būdo keitimo galima teikti iki 2025-01-08 Vilniaus rajono savivaldybės administracijai (Rinktinės g. 50, Vilnius) raštu ir Lietuvos Respublikos teritorijų planavimo dokumentų rengimo ir teritorijų planavimo proceso valstybinės priežiūros informacinėje sistemoje.

Ištrauka iš Kraštovaizdžio spec. plano

Prašymas

2024-12-19

Informuojame apie pateiktą nagrinėti prašymą dėl žemės sklypo (kad. Nr.4154/2600:212), esančio Vilniaus r. sav., Marijampolio sen., Parudaminio k., Mokyklos g. 7D, (toliau – Žemės sklypas)  žemės naudojimo būdo keitimą. Prašymo tikslas: 0,9593 ha ploto kitos – visuomeninės paskirties teritorijos Žemės sklypo žemės naudojimo būdo keitimas į rekreacinės teritorijos. Su prašymu galima susipažinti nuo 2024-12-19 iki 2025-01-08 Lietuvos Respublikos teritorijų planavimo dokumentų rengimo ir teritorijų planavimo proceso valstybės priežiūros informacinėje svetainėje (TPDRIS.lt) ir Vilniaus rajono savivaldybės interneto svetainėje (vrsa.lt). Pasiūlymus dėl pagrindinės žemės naudojimo paskirties ir žemės naudojimo būdo keitimo galima teikti iki 2025-01-08 Vilniaus rajono savivaldybės administracijai (Rinktinės g. 50, Vilnius) raštu ir Lietuvos Respublikos teritorijų planavimo dokumentų rengimo ir teritorijų planavimo proceso valstybinės priežiūros informacinėje sistemoje.

Ištrauka iš Kraštovaizdžio spec. plano

Prašymas

2024-12-19

Informuojame apie pateiktą nagrinėti prašymą dėl žemės sklypo (kad. Nr.4117/0400:121), esančio Vilniaus r. sav., Riešės sen., Kalino k., Versmių g. 3 (toliau – Žemės sklypi) pagrindinės žemės naudojimo paskirties ir  naudojimo būdo keitimo. Prašymo tikslas: 0,2226 ploto žemės ūkio paskirties Žemės sklypo pagrindinės žemės naudojimo paskirties ir žemės naudojimo būdo keitimas į kitos – vienbučių ir dvibučių gyvenamųjų pastatų teritorijos. Su prašymu galima susipažinti nuo 2024-12-19 iki 2025-01-08 Lietuvos Respublikos teritorijų planavimo dokumentų rengimo ir teritorijų planavimo proceso valstybės priežiūros informacinėje svetainėje (TPDRIS.lt) ir Vilniaus rajono savivaldybės interneto svetainėje (vrsa.lt). Pasiūlymus dėl pagrindinės žemės naudojimo paskirties ir žemės naudojimo būdo keitimo galima teikti iki 2025-01-08 Vilniaus rajono savivaldybės administracijai (Rinktinės g. 50, Vilnius) raštu ir Lietuvos Respublikos teritorijų planavimo dokumentų rengimo ir teritorijų planavimo proceso valstybinės priežiūros informacinėje sistemoje.

Ištrauka iš Kraštovaizdžio spec. plano

Prašymas

2024-12-19

Informuojame apie pateiktą nagrinėti prašymą dėl žemės sklypo (kad. Nr.4162/0300:710), esančio Vilniaus r. sav., Nemėžio sen., Didžiasalio k. (toliau – Žemės sklypi) pagrindinės žemės naudojimo paskirties ir  naudojimo būdo keitimo. Prašymo tikslas: 0,1400 ploto žemės ūkio paskirties Žemės sklypo pagrindinės žemės naudojimo paskirties ir žemės naudojimo būdo keitimas į kitos – vienbučių ir dvibučių gyvenamųjų pastatų teritorijos. Su prašymu galima susipažinti nuo 2024-12-19 iki 2025-01-08 Lietuvos Respublikos teritorijų planavimo dokumentų rengimo ir teritorijų planavimo proceso valstybės priežiūros informacinėje svetainėje (TPDRIS.lt) ir Vilniaus rajono savivaldybės interneto svetainėje (vrsa.lt). Pasiūlymus dėl pagrindinės žemės naudojimo paskirties ir žemės naudojimo būdo keitimo galima teikti iki 2025-01-08 Vilniaus rajono savivaldybės administracijai (Rinktinės g. 50, Vilnius) raštu ir Lietuvos Respublikos teritorijų planavimo dokumentų rengimo ir teritorijų planavimo proceso valstybinės priežiūros informacinėje sistemoje.

Ištrauka iš Kraštovaizdžio spec. plano

Prašymas

2024-12-19

Informuojame apie pateiktą nagrinėti prašymą dėl žemės sklypo (kad. Nr. 4162/0400:787), esančio Vilniaus r. sav., Nemėžio sen., Skaidiškių k. (toliau – Žemės sklypi) pagrindinės žemės naudojimo paskirties ir  naudojimo būdo keitimo. Prašymo tikslas: 0,1487 ploto žemės ūkio paskirties Žemės sklypo pagrindinės žemės naudojimo paskirties ir žemės naudojimo būdo keitimas į kitos – komercinės paskirties objektų teritorijos. Su prašymu galima susipažinti nuo 2024-12-19 iki 2025-01-08 Lietuvos Respublikos teritorijų planavimo dokumentų rengimo ir teritorijų planavimo proceso valstybės priežiūros informacinėje svetainėje (TPDRIS.lt) ir Vilniaus rajono savivaldybės interneto svetainėje (vrsa.lt). Pasiūlymus dėl pagrindinės žemės naudojimo paskirties ir žemės naudojimo būdo keitimo galima teikti iki 2025-01-08 Vilniaus rajono savivaldybės administracijai (Rinktinės g. 50, Vilnius) raštu ir Lietuvos Respublikos teritorijų planavimo dokumentų rengimo ir teritorijų planavimo proceso valstybinės priežiūros informacinėje sistemoje.

Ištrauka iš Vilniaus rajono savivaldybės teritorijos dalies („U“ žemės naudojimo funkcinės zonos Avižienių, Juodšilių, Nemėžio, Pagirių, Riešės, Rudaminos ir Zujūnų seniūnijose) bendrojo plano

Prašymas

2024-12-19

Informuojame apie pateiktą nagrinėti prašymą dėl žemės sklypo (kad. Nr. 4103/0300:8161), esančio Vilniaus r. sav., Avižienių sen., Bukiškio k. (toliau – Žemės sklypi) pagrindinės žemės naudojimo paskirties ir  naudojimo būdo keitimo. Prašymo tikslas: 0,2000 ploto žemės ūkio paskirties Žemės sklypo pagrindinės žemės naudojimo paskirties ir žemės naudojimo būdo keitimas į kitos – komercinės paskirties objektų teritorijos. Su prašymu galima susipažinti nuo 2024-12-19 iki 2025-01-08 Lietuvos Respublikos teritorijų planavimo dokumentų rengimo ir teritorijų planavimo proceso valstybės priežiūros informacinėje svetainėje (TPDRIS.lt) ir Vilniaus rajono savivaldybės interneto svetainėje (vrsa.lt). Pasiūlymus dėl pagrindinės žemės naudojimo paskirties ir žemės naudojimo būdo keitimo galima teikti iki 2025-01-08 Vilniaus rajono savivaldybės administracijai (Rinktinės g. 50, Vilnius) raštu ir Lietuvos Respublikos teritorijų planavimo dokumentų rengimo ir teritorijų planavimo proceso valstybinės priežiūros informacinėje sistemoje.

Ištrauka iš Vilniaus rajono savivaldybės teritorijos dalies („U“ žemės naudojimo funkcinės zonos Avižienių, Juodšilių, Nemėžio, Pagirių, Riešės, Rudaminos ir Zujūnų seniūnijose) bendrojo plano

Prašymas

2024-12-19

Informuojame apie pateiktą nagrinėti prašymą dėl žemės sklypo (kad. Nr. 4162/0200:502), esančio Vilniaus r. sav., Nemėžio sen., Didžiasalio k., Šv. Antano g. 3 (toliau – Žemės sklypi) naudojimo būdo keitimo. Prašymo tikslas: 0,1755 ploto kitos paskirties Žemės sklypo žemės naudojimo būdo keitimas į komercinės paskirties objektų teritorijos. Su prašymu galima susipažinti nuo 2024-12-19 iki 2025-01-08 Lietuvos Respublikos teritorijų planavimo dokumentų rengimo ir teritorijų planavimo proceso valstybės priežiūros informacinėje svetainėje (TPDRIS.lt) ir Vilniaus rajono savivaldybės interneto svetainėje (vrsa.lt). Pasiūlymus dėl pagrindinės žemės naudojimo paskirties ir žemės naudojimo būdo keitimo galima teikti iki 2025-01-08 Vilniaus rajono savivaldybės administracijai (Rinktinės g. 50, Vilnius) raštu ir Lietuvos Respublikos teritorijų planavimo dokumentų rengimo ir teritorijų planavimo proceso valstybinės priežiūros informacinėje sistemoje.

Ištrauka iš Kraštovaizdžio spec. plano

Prašymas

2024-12-19

Priimtas sprendimas dėl kitos paskirties žemės sklypo (kad. Nr. 4142/0300:595), esančio Vilniaus r. sav., Šatrininkų sen., Grigaičių k., Geležinkelio g. 11,  žemės naudojimo būdo keitimo.

Sprendimas

2024-12-19

Priimtas sprendimas dėl kitos paskirties žemės sklypo (kad. Nr. 4174/0200:2534), esančio Vilniaus r. sav., Avižienių sen., Klevinės vs., Ukmergės g. 453,  žemės naudojimo būdo keitimo.

Sprendimas

2024-12-19

Priimtas sprendimas dėl žemės ūkio paskirties žemės sklypo (kad. Nr. 4172/0100:694), esančio Vilniaus r. sav., Nemenčinės sen., Raudondvario k., pagrindinės žemės naudojimo paskirties ir žemės naudojimo būdo keitimo.

Sprendimas

2024-12-18

Informuojame apie pateiktą nagrinėti prašymą dėl žemės sklypo (kad. Nr.4144/0100:113), esančio Vilniaus r. sav., Lavoriškių sen., Bukiškių k. (toliau – Žemės sklypi) pagrindinės žemės naudojimo paskirties ir  naudojimo būdo keitimo. Prašymo tikslas: 0,3491 ploto žemės ūkio paskirties Žemės sklypo pagrindinės žemės naudojimo paskirties ir žemės naudojimo būdo keitimas į kitos – vienbučių ir dvibučių gyvenamųjų pastatų teritorijos. Su prašymu galima susipažinti nuo 2024-12-17 iki 2025-01-07 Lietuvos Respublikos teritorijų planavimo dokumentų rengimo ir teritorijų planavimo proceso valstybės priežiūros informacinėje svetainėje (TPDRIS.lt) ir Vilniaus rajono savivaldybės interneto svetainėje (vrsa.lt). Pasiūlymus dėl pagrindinės žemės naudojimo paskirties ir žemės naudojimo būdo keitimo galima teikti iki 2025-01-07 Vilniaus rajono savivaldybės administracijai (Rinktinės g. 50, Vilnius) raštu ir Lietuvos Respublikos teritorijų planavimo dokumentų rengimo ir teritorijų planavimo proceso valstybinės priežiūros informacinėje sistemoje.

Ištrauka iš Kraštovaizdžio spec. plano

Prašymas

2024-12-17

Informuojame apie pateiktą nagrinėti prašymą dėl žemės sklypo (kad. Nr.4110/0700:5003), esančio Vilniaus r. sav., Zujūnų sen., Antežerių k. (toliau – Žemės sklypi) pagrindinės žemės naudojimo paskirties ir  naudojimo būdo keitimo. Prašymo tikslas: 0,0982 ploto žemės ūkio paskirties Žemės sklypo pagrindinės žemės naudojimo paskirties ir žemės naudojimo būdo keitimas į kitos – vienbučių ir dvibučių gyvenamųjų pastatų teritorijos. Su prašymu galima susipažinti nuo 2024-12-17 iki 2025-01-07 Lietuvos Respublikos teritorijų planavimo dokumentų rengimo ir teritorijų planavimo proceso valstybės priežiūros informacinėje svetainėje (TPDRIS.lt) ir Vilniaus rajono savivaldybės interneto svetainėje (vrsa.lt). Pasiūlymus dėl pagrindinės žemės naudojimo paskirties ir žemės naudojimo būdo keitimo galima teikti iki 2025-01-07 Vilniaus rajono savivaldybės administracijai (Rinktinės g. 50, Vilnius) raštu ir Lietuvos Respublikos teritorijų planavimo dokumentų rengimo ir teritorijų planavimo proceso valstybinės priežiūros informacinėje sistemoje.

Ištrauka iš Vilniaus rajono savivaldybės teritorijos dalies („U“ žemės naudojimo funkcinės zonos Avižienių, Juodšilių, Nemėžio, Pagirių, Riešės, Rudaminos ir Zujūnų seniūnijose) bendrojo plano

Prašymas

2024-12-17

Informuojame apie pateiktą nagrinėti prašymą dėl žemės sklypo (kad. Nr.4107/0400:52), esančio Vilniaus r. sav., Bezdonių sen., Bezdonių k., Užupio g. 31 (toliau – Žemės sklypi) pagrindinės žemės naudojimo paskirties ir  naudojimo būdo keitimo. Prašymo tikslas: 1,0121 ploto žemės ūkio paskirties Žemės sklypo pagrindinės žemės naudojimo paskirties ir žemės naudojimo būdo keitimas į kitos – vienbučių ir dvibučių gyvenamųjų pastatų teritorijos. Su prašymu galima susipažinti nuo 2024-12-17 iki 2025-01-07 Lietuvos Respublikos teritorijų planavimo dokumentų rengimo ir teritorijų planavimo proceso valstybės priežiūros informacinėje svetainėje (TPDRIS.lt) ir Vilniaus rajono savivaldybės interneto svetainėje (vrsa.lt). Pasiūlymus dėl pagrindinės žemės naudojimo paskirties ir žemės naudojimo būdo keitimo galima teikti iki 2025-01-07 Vilniaus rajono savivaldybės administracijai (Rinktinės g. 50, Vilnius) raštu ir Lietuvos Respublikos teritorijų planavimo dokumentų rengimo ir teritorijų planavimo proceso valstybinės priežiūros informacinėje sistemoje.

Ištrauka iš Kraštovaizdžio spec. plano

Prašymas

2024-12-17

Informuojame apie pateiktą nagrinėti prašymą dėl žemės sklypo (kad. Nr. 4172/0300:33), esančio Vilniaus r. sav., Nemenčinės sen., Unėniškių k. 6, (toliau – Žemės sklypas) pagrindinės žemės naudojimo paskirties ir žemės naudojimo būdo keitimą. Prašymo tikslas: 8,3665 ha ploto žemės ūkio paskirties Žemės sklypo pagrindinės žemės naudojimo paskirties ir žemės naudojimo būdo keitimas į miško ūkio paskirties - ūkinių miškų sklypai. Su prašymu galima susipažinti nuo 2024-12-17 iki 2025-01-07 Lietuvos Respublikos teritorijų planavimo dokumentų rengimo ir teritorijų planavimo proceso valstybės priežiūros informacinėje svetainėje (TPDRIS.lt) ir Vilniaus rajono savivaldybės interneto svetainėje (vrsa.lt). Pasiūlymus dėl pagrindinės žemės naudojimo paskirties ir žemės naudojimo būdo keitimo galima teikti iki 2024-01-07 Vilniaus rajono savivaldybės administracijai (Rinktinės g. 50, Vilnius) raštu ir Lietuvos Respublikos teritorijų planavimo dokumentų rengimo ir teritorijų planavimo proceso valstybinės priežiūros informacinėje sistemoje.

Ištrauka iš Kraštovaizdžio spec. plano

Prašymas

2024-12-17

Informuojame apie pateiktą nagrinėti prašymą dėl žemės sklypo (kad. Nr. 4114/0100:10), esančio Vilniaus r. sav., Sužionių sen., Grybėnų k., Asvejos g. 162 (toliau – Žemės sklypi) pagrindinės žemės naudojimo paskirties ir  naudojimo būdo keitimo. Prašymo tikslas: 0,3654 ploto žemės ūkio paskirties Žemės sklypo pagrindinės žemės naudojimo paskirties ir žemės naudojimo būdo keitimas į kitos – vienbučių ir dvibučių gyvenamųjų pastatų teritorijos. Su prašymu galima susipažinti nuo 2024-12-17 iki 2025-01-07 Lietuvos Respublikos teritorijų planavimo dokumentų rengimo ir teritorijų planavimo proceso valstybės priežiūros informacinėje svetainėje (TPDRIS.lt) ir Vilniaus rajono savivaldybės interneto svetainėje (vrsa.lt). Pasiūlymus dėl pagrindinės žemės naudojimo paskirties ir žemės naudojimo būdo keitimo galima teikti iki 2025-01-07 Vilniaus rajono savivaldybės administracijai (Rinktinės g. 50, Vilnius) raštu ir Lietuvos Respublikos teritorijų planavimo dokumentų rengimo ir teritorijų planavimo proceso valstybinės priežiūros informacinėje sistemoje.

Ištrauka iš Kraštovaizdžio spec. plano

Prašymas

2024-12-17

Informuojame apie pateiktą nagrinėti prašymą dėl žemės sklypo (kad. Nr. 4152/0500:155), esančio Vilniaus r. sav., Mickūnų sen., Dievoniškių k. (toliau – Žemės sklypi) pagrindinės žemės naudojimo paskirties ir  naudojimo būdo keitimo. Prašymo tikslas: 1,4250 ploto žemės ūkio paskirties Žemės sklypo pagrindinės žemės naudojimo paskirties ir žemės naudojimo būdo keitimas į kitos – vienbučių ir dvibučių gyvenamųjų pastatų teritorijos. Su prašymu galima susipažinti nuo 2024-12-17 iki 2025-01-07 Lietuvos Respublikos teritorijų planavimo dokumentų rengimo ir teritorijų planavimo proceso valstybės priežiūros informacinėje svetainėje (TPDRIS.lt) ir Vilniaus rajono savivaldybės interneto svetainėje (vrsa.lt). Pasiūlymus dėl pagrindinės žemės naudojimo paskirties ir žemės naudojimo būdo keitimo galima teikti iki 2025-01-07 Vilniaus rajono savivaldybės administracijai (Rinktinės g. 50, Vilnius) raštu ir Lietuvos Respublikos teritorijų planavimo dokumentų rengimo ir teritorijų planavimo proceso valstybinės priežiūros informacinėje sistemoje.

Ištrauka iš Kraštovaizdžio spec. plano

Prašymas

2024-12-17

Informuojame apie pateiktą nagrinėti prašymą dėl žemės sklypo (kad. Nr. 4167/0200:1700, esančio Vilniaus r. sav., Pagirių sen., Pagirių k., Kalno g. 26B (toliau – Žemės sklypi) naudojimo būdo keitimo. Prašymo tikslas: 0,2000 ploto kitos paskirties Žemės sklypo žemės naudojimo būdo keitimas į komercinės paskirties objektų teritorijos. Su prašymu galima susipažinti nuo 2024-12-12 iki 2024-12-30 Lietuvos Respublikos teritorijų planavimo dokumentų rengimo ir teritorijų planavimo proceso valstybės priežiūros informacinėje svetainėje (TPDRIS.lt) ir Vilniaus rajono savivaldybės interneto svetainėje (vrsa.lt). Pasiūlymus dėl pagrindinės žemės naudojimo paskirties ir žemės naudojimo būdo keitimo galima teikti iki 2024-12-30 Vilniaus rajono savivaldybės administracijai (Rinktinės g. 50, Vilnius) raštu ir Lietuvos Respublikos teritorijų planavimo dokumentų rengimo ir teritorijų planavimo proceso valstybinės priežiūros informacinėje sistemoje.

Ištrauka iš Kraštovaizdžio spec. plano

Prašymas

2024-12-12

Informuojame apie pateiktą nagrinėti prašymą dėl žemės sklypo (kad. Nr. 4167/0200:1698), esančio Vilniaus r. sav., Pagirių sen., Pagirių k., Kalno g. 26 (toliau – Žemės sklypi) naudojimo būdo keitimo. Prašymo tikslas: 0,2000 ploto kitos paskirties Žemės sklypo žemės naudojimo būdo keitimas į komercinės paskirties objektų teritorijos. Su prašymu galima susipažinti nuo 2024-12-12 iki 2024-12-30 Lietuvos Respublikos teritorijų planavimo dokumentų rengimo ir teritorijų planavimo proceso valstybės priežiūros informacinėje svetainėje (TPDRIS.lt) ir Vilniaus rajono savivaldybės interneto svetainėje (vrsa.lt). Pasiūlymus dėl pagrindinės žemės naudojimo paskirties ir žemės naudojimo būdo keitimo galima teikti iki 2024-12-30 Vilniaus rajono savivaldybės administracijai (Rinktinės g. 50, Vilnius) raštu ir Lietuvos Respublikos teritorijų planavimo dokumentų rengimo ir teritorijų planavimo proceso valstybinės priežiūros informacinėje sistemoje.

Ištrauka iš Kraštovaizdžio spec. plano

Prašymas

2024-12-12

Priimtas sprendimas dėl žemės sklypo (kad. Nr. 4180/0800:75), esančio Vilniaus r. sav., Rukainių sen., Elžbietinės k., pagrindinės žemės naudojimo paskirties ir žemės naudojimo būdo keitimo.

Sprendimas

2024-12-12

Priimtas sprendimas dėl žemės sklypo (kad. Nr. 4192/0200:149), esančio Vilniaus r. sav., Sužionių sen., Giedraitėlių vs., pagrindinės žemės naudojimo paskirties ir žemės naudojimo būdo keitimo.

Sprendimas

2024-12-12

Priimtas sprend

Informuojame apie pateiktą nagrinėti prašymą dėl žemės sklypo (kad. Nr. 4132/0600:733), esančio Vilniaus r. sav., Maišiagalos sen., Dūkštelių k. (toliau – Žemės sklypi) pagrindinės žemės naudojimo paskirties ir  naudojimo būdo keitimo. Prašymo tikslas: 0,2414 ploto žemės ūkio paskirties Žemės sklypo pagrindinės žemės naudojimo paskirties ir žemės naudojimo būdo keitimas į kitos – vienbučių ir dvibučių gyvenamųjų pastatų teritorijos. Su prašymu galima susipažinti nuo 2024-12-10 iki 2024-12-23 Lietuvos Respublikos teritorijų planavimo dokumentų rengimo ir teritorijų planavimo proceso valstybės priežiūros informacinėje svetainėje (TPDRIS.lt) ir Vilniaus rajono savivaldybės interneto svetainėje (vrsa.lt). Pasiūlymus dėl pagrindinės žemės naudojimo paskirties ir žemės naudojimo būdo keitimo galima teikti iki 2024-12-23 Vilniaus rajono savivaldybės administracijai (Rinktinės g. 50, Vilnius) raštu ir Lietuvos Respublikos teritorijų planavimo dokumentų rengimo ir teritorijų planavimo proceso valstybinės priežiūros informacinėje sistemoje.

Ištrauka iš Kraštovaizdžio spec. plano

Prašymas

2024-12-10

Informuojame apie pateiktą nagrinėti prašymą dėl žemės sklypo (kad. Nr. 4177/0200:1132), esančio Vilniaus r. sav., Rudaminos sen., Rudaminos k.(toliau – Žemės sklypi) pagrindinės žemės naudojimo paskirties ir  naudojimo būdo keitimo. Prašymo tikslas: 1.2397 ploto žemės ūkio paskirties Žemės sklypo pagrindinės žemės naudojimo paskirties ir žemės naudojimo būdo keitimas į kitos – komercinės paskirties objektų teritorijos. Su prašymu galima susipažinti nuo 2024-12-10 iki 2024-12-23 Lietuvos Respublikos teritorijų planavimo dokumentų rengimo ir teritorijų planavimo proceso valstybės priežiūros informacinėje svetainėje (TPDRIS.lt) ir Vilniaus rajono savivaldybės interneto svetainėje (vrsa.lt). Pasiūlymus dėl pagrindinės žemės naudojimo paskirties ir žemės naudojimo būdo keitimo galima teikti iki 2024-12-23 Vilniaus rajono savivaldybės administracijai (Rinktinės g. 50, Vilnius) raštu ir Lietuvos Respublikos teritorijų planavimo dokumentų rengimo ir teritorijų planavimo proceso valstybinės priežiūros informacinėje sistemoje.

Ištrauka iš Vilniaus rajono savivaldybės teritorijos dalies („U“ žemės naudojimo funkcinės zonos Avižienių, Juodšilių, Nemėžio, Pagirių, Riešės, Rudaminos ir Zujūnų seniūnijose) bendrojo plano

Prašymas

2024-12-10

Priimtas sprendimasžemės sklypo (kad. Nr. 4180/0800:83), esančio Vilniaus r. sav., Rukainių sen., Elžbietinės k., pagrindinės žemės naudojimo paskirties ir žemės naudojimo būdo keitimo.

Sprendimas

2024-12-06

Informuojame apie pateiktą nagrinėti prašymą dėl žemės sklypo (kad. Nr. 4170/1500:221), esančio Vilniaus r. sav., Riešės sen., Skirgiškių k. (toliau – Žemės sklypi) pagrindinės žemės naudojimo paskirties ir  naudojimo būdo keitimo. Prašymo tikslas: 2,4000 ploto žemės ūkio paskirties Žemės sklypo pagrindinės žemės naudojimo paskirties ir žemės naudojimo būdo keitimas į kitos – visuomeninės paskirties teritorijos. Su prašymu galima susipažinti nuo 2024-12-05 iki 2024-12-18 Lietuvos Respublikos teritorijų planavimo dokumentų rengimo ir teritorijų planavimo proceso valstybės priežiūros informacinėje svetainėje (TPDRIS.lt) ir Vilniaus rajono savivaldybės interneto svetainėje (vrsa.lt). Pasiūlymus dėl pagrindinės žemės naudojimo paskirties ir žemės naudojimo būdo keitimo galima teikti iki 2024-12-18 Vilniaus rajono savivaldybės administracijai (Rinktinės g. 50, Vilnius) raštu ir Lietuvos Respublikos teritorijų planavimo dokumentų rengimo ir teritorijų planavimo proceso valstybinės priežiūros informacinėje sistemoje.

Ištrauka iš Kraštovaizdžio spec. plano

Prašymas

2024-12-05

Informuojame apie pateiktą nagrinėti prašymą dėl žemės sklypo (kad. Nr.4174/0100:2594), esančio Vilniaus r. sav., Avižienių sen., Riešės k., Pergalės g. 65 (toliau – Žemės sklypas)  naudojimo būdo keitimo. Prašymo tikslas: 0,2061 ha ploto kitos – vienbučių ir dvibučių gyvenamųjų pastatų teritorijos žemės naudojimo būdo keitimas į kitos – komercinės paskirties objektų teritorijos. Su prašymu galima susipažinti nuo 2024-12-05 iki 2024-12-18 Lietuvos Respublikos teritorijų planavimo dokumentų rengimo ir teritorijų planavimo proceso valstybės priežiūros informacinėje svetainėje (TPDRIS.lt) ir Vilniaus rajono savivaldybės interneto svetainėje (vrsa.lt). Pasiūlymus dėl pagrindinės žemės naudojimo paskirties ir žemės naudojimo būdo keitimo galima teikti iki 2024-12-18 Vilniaus rajono savivaldybės administracijai (Rinktinės g. 50, Vilnius) raštu ir Lietuvos Respublikos teritorijų planavimo dokumentų rengimo ir teritorijų planavimo proceso valstybinės priežiūros informacinėje sistemoje.

Ištrauka iš Vilniaus rajono savivaldybės teritorijos dalies („U“ žemės naudojimo funkcinės zonos Avižienių, Juodšilių, Nemėžio, Pagirių, Riešės, Rudaminos ir Zujūnų seniūnijose) bendrojo plano

Prašymas

2024-12-05

Informuojame apie pateiktą nagrinėti prašymą dėl žemės sklypo (kad. Nr. 4117/0400:5129), esančio Vilniaus r. sav., Riešės sen., Didžiųjų Gulbinų k. (toliau – Žemės sklypi) pagrindinės žemės naudojimo paskirties ir  naudojimo būdo keitimo. Prašymo tikslas: 0,1575 ploto žemės ūkio paskirties Žemės sklypo pagrindinės žemės naudojimo paskirties ir žemės naudojimo būdo keitimas į kitos – vienbučių ir dvibučių gyvenamųjų pastatų teritorijos. Su prašymu galima susipažinti nuo 2024-12-05 iki 2024-12-18 Lietuvos Respublikos teritorijų planavimo dokumentų rengimo ir teritorijų planavimo proceso valstybės priežiūros informacinėje svetainėje (TPDRIS.lt) ir Vilniaus rajono savivaldybės interneto svetainėje (vrsa.lt). Pasiūlymus dėl pagrindinės žemės naudojimo paskirties ir žemės naudojimo būdo keitimo galima teikti iki 2024-12-18 Vilniaus rajono savivaldybės administracijai (Rinktinės g. 50, Vilnius) raštu ir Lietuvos Respublikos teritorijų planavimo dokumentų rengimo ir teritorijų planavimo proceso valstybinės priežiūros informacinėje sistemoje.

Ištrauka iš Kraštovaizdžio spec. plano

Prašymas

2024-12-05

Informuojame apie pateiktą nagrinėti prašymą dėl žemės sklypo (kad. Nr. 4152/1300:220), esančio Vilniaus r. sav., Mickūnų sen., Uosininkų I k. (toliau – Žemės sklypi) pagrindinės žemės naudojimo paskirties ir  naudojimo būdo keitimo. Prašymo tikslas: 0,1847 ploto žemės ūkio paskirties Žemės sklypo pagrindinės žemės naudojimo paskirties ir žemės naudojimo būdo keitimas į kitos – vienbučių ir dvibučių gyvenamųjų pastatų teritorijos. Su prašymu galima susipažinti nuo 2024-12-03 iki 2024-12-16 Lietuvos Respublikos teritorijų planavimo dokumentų rengimo ir teritorijų planavimo proceso valstybės priežiūros informacinėje svetainėje (TPDRIS.lt) ir Vilniaus rajono savivaldybės interneto svetainėje (vrsa.lt). Pasiūlymus dėl pagrindinės žemės naudojimo paskirties ir žemės naudojimo būdo keitimo galima teikti iki 2024-12-16 Vilniaus rajono savivaldybės administracijai (Rinktinės g. 50, Vilnius) raštu ir Lietuvos Respublikos teritorijų planavimo dokumentų rengimo ir teritorijų planavimo proceso valstybinės priežiūros informacinėje sistemoje.

Ištrauka iš Kraštovaizdžio spec. plano

Prašymas

2024-12-03

Informuojame apie pateiktą nagrinėti prašymą dėl žemės sklypo (kad. Nr. 4160/0100:404), esančio Vilniaus r. sav., Nemenčinė, Švenčionių g. 112, (toliau – Žemės sklypas) pagrindinės žemės naudojimo paskirties ir žemės naudojimo būdo keitimą. Prašymo tikslas: 1,5348 ha ploto komercinės paskirties objektų teritorijos žemės naudojimo būdo keitimas į kitos – pramonės ir sandėlaivimo objektų teritorijos. Su prašymu galima susipažinti nuo 2024-12-03 iki 2024-12-16 Lietuvos Respublikos teritorijų planavimo dokumentų rengimo ir teritorijų planavimo proceso valstybės priežiūros informacinėje svetainėje (TPDRIS.lt) ir Vilniaus rajono savivaldybės interneto svetainėje (vrsa.lt). Pasiūlymus dėl pagrindinės žemės naudojimo paskirties ir žemės naudojimo būdo keitimo galima teikti iki 2024-12-16 Vilniaus rajono savivaldybės administracijai (Rinktinės g. 50, Vilnius) raštu ir Lietuvos Respublikos teritorijų planavimo dokumentų rengimo ir teritorijų planavimo proceso valstybinės priežiūros informacinėje sistemoje.

Ištrauka iš Kraštovaizdžio spec. plano

Prašymas

202412-03


Informuojame apie pateiktą nagrinėti prašymą dėl žemės sklypo (kad. Nr. 4162/0100:790), esančio Vilniaus r. sav., Nemėžio sen., Murlinės k.(toliau – Žemės sklypi) pagrindinės žemės naudojimo paskirties ir  naudojimo būdo keitimo. Prašymo tikslas: 0,5627 ploto žemės ūkio paskirties Žemės sklypo pagrindinės žemės naudojimo paskirties ir žemės naudojimo būdo keitimas į kitos – komercinės paskirties objektų teritorijos. Su prašymu galima susipažinti nuo 2024-12-03 iki 2024-12-16 Lietuvos Respublikos teritorijų planavimo dokumentų rengimo ir teritorijų planavimo proceso valstybės priežiūros informacinėje svetainėje (TPDRIS.lt) ir Vilniaus rajono savivaldybės interneto svetainėje (vrsa.lt). Pasiūlymus dėl pagrindinės žemės naudojimo paskirties ir žemės naudojimo būdo keitimo galima teikti iki 2024-12-16 Vilniaus rajono savivaldybės administracijai (Rinktinės g. 50, Vilnius) raštu ir Lietuvos Respublikos teritorijų planavimo dokumentų rengimo ir teritorijų planavimo proceso valstybinės priežiūros informacinėje sistemoje.

Ištrauka iš Vilniaus rajono savivaldybės teritorijos dalies („U“ žemės naudojimo funkcinės zonos Avižienių, Juodšilių, Nemėžio, Pagirių, Riešės, Rudaminos ir Zujūnų seniūnijose) bendrojo plano

Prašymas

2024-12-03

Priimtas sprendimas žemės sklypo (kad. Nr. 4117/0600:413), esančio Vilniaus r. sav., Riešės sen., Didžiosios Riešės k., Parko g. 63, pagrindinės žemės naudojimo paskirties ir žemės naudojimo būdo keitimo.

Sprendimas

2024-11-21

Informuojame apie pateiktą nagrinėti prašymą dėl žemės sklypo (kad. Nr. 4190/0700:394), esančio Vilniaus r. sav., Kalvelių sen., Vindžiūnų k. (toliau – Žemės sklypi) pagrindinės žemės naudojimo paskirties ir  naudojimo būdo keitimo. Prašymo tikslas: 0,3453 ploto žemės ūkio paskirties Žemės sklypo pagrindinės žemės naudojimo paskirties ir žemės naudojimo būdo keitimas į kitos – vienbučių ir dvibučių gyvenamųjų pastatų teritorijos. Su prašymu galima susipažinti nuo 2024-11-29 iki 2024-12-12 Lietuvos Respublikos teritorijų planavimo dokumentų rengimo ir teritorijų planavimo proceso valstybės priežiūros informacinėje svetainėje (TPDRIS.lt) ir Vilniaus rajono savivaldybės interneto svetainėje (vrsa.lt). Pasiūlymus dėl pagrindinės žemės naudojimo paskirties ir žemės naudojimo būdo keitimo galima teikti iki 2024-12-12 Vilniaus rajono savivaldybės administracijai (Rinktinės g. 50, Vilnius) raštu ir Lietuvos Respublikos teritorijų planavimo dokumentų rengimo ir teritorijų planavimo proceso valstybinės priežiūros informacinėje sistemoje.

Ištrauka iš Kraštovaizdžio spec. plano

Prašymas

2024-11-29

Informuojame apie pateiktą nagrinėti prašymą dėl žemės sklypo (kad. Nr. 4120/0100:356), esančio Vilniaus r. sav., Nemenčinės sen., Mažųjų Kabiškių k. (toliau – Žemės sklypi) pagrindinės žemės naudojimo paskirties ir  naudojimo būdo keitimo. Prašymo tikslas: 0,3145 ploto žemės ūkio paskirties Žemės sklypo pagrindinės žemės naudojimo paskirties ir žemės naudojimo būdo keitimas į kitos – vienbučių ir dvibučių gyvenamųjų pastatų teritorijos. Su prašymu galima susipažinti nuo 2024-11-29 iki 2024-12-12 Lietuvos Respublikos teritorijų planavimo dokumentų rengimo ir teritorijų planavimo proceso valstybės priežiūros informacinėje svetainėje (TPDRIS.lt) ir Vilniaus rajono savivaldybės interneto svetainėje (vrsa.lt). Pasiūlymus dėl pagrindinės žemės naudojimo paskirties ir žemės naudojimo būdo keitimo galima teikti iki 2024-12-12 Vilniaus rajono savivaldybės administracijai (Rinktinės g. 50, Vilnius) raštu ir Lietuvos Respublikos teritorijų planavimo dokumentų rengimo ir teritorijų planavimo proceso valstybinės priežiūros informacinėje sistemoje.

Ištrauka iš Kraštovaizdžio spec. plano

Prašymas

2024-11-29

Informuojame apie pateiktą nagrinėti prašymą dėl žemės sklypo (kad. Nr. 4162/0200:1282), esančio Vilniaus r. sav., Nemėžio sen., Didžiasalio k. (toliau – Žemės sklypi) pagrindinės žemės naudojimo paskirties ir  naudojimo būdo keitimo. Prašymo tikslas: 0,5000 ploto žemės ūkio paskirties Žemės sklypo pagrindinės žemės naudojimo paskirties ir žemės naudojimo būdo keitimas į kitos – vienbučių ir dvibučių gyvenamųjų pastatų teritorijos. Su prašymu galima susipažinti nuo 2024-11-29 iki 2024-12-12 Lietuvos Respublikos teritorijų planavimo dokumentų rengimo ir teritorijų planavimo proceso valstybės priežiūros informacinėje svetainėje (TPDRIS.lt) ir Vilniaus rajono savivaldybės interneto svetainėje (vrsa.lt). Pasiūlymus dėl pagrindinės žemės naudojimo paskirties ir žemės naudojimo būdo keitimo galima teikti iki 2024-12-12 Vilniaus rajono savivaldybės administracijai (Rinktinės g. 50, Vilnius) raštu ir Lietuvos Respublikos teritorijų planavimo dokumentų rengimo ir teritorijų planavimo proceso valstybinės priežiūros informacinėje sistemoje.

Ištrauka iš Kraštovaizdžio spec. plano

Prašymas

2024-11-29

Informuojame apie pateiktą nagrinėti prašymą dėl žemės sklypo (kad. Nr. 4162/0200:1281), esančio Vilniaus r. sav., Nemėžio sen., Didžiasalio k. (toliau – Žemės sklypi) pagrindinės žemės naudojimo paskirties ir  naudojimo būdo keitimo. Prašymo tikslas: 0,5000 ploto žemės ūkio paskirties Žemės sklypo pagrindinės žemės naudojimo paskirties ir žemės naudojimo būdo keitimas į kitos – vienbučių ir dvibučių gyvenamųjų pastatų teritorijos. Su prašymu galima susipažinti nuo 2024-11-29 iki 2024-12-12 Lietuvos Respublikos teritorijų planavimo dokumentų rengimo ir teritorijų planavimo proceso valstybės priežiūros informacinėje svetainėje (TPDRIS.lt) ir Vilniaus rajono savivaldybės interneto svetainėje (vrsa.lt). Pasiūlymus dėl pagrindinės žemės naudojimo paskirties ir žemės naudojimo būdo keitimo galima teikti iki 2024-12-12 Vilniaus rajono savivaldybės administracijai (Rinktinės g. 50, Vilnius) raštu ir Lietuvos Respublikos teritorijų planavimo dokumentų rengimo ir teritorijų planavimo proceso valstybinės priežiūros informacinėje sistemoje.

Ištrauka iš Kraštovaizdžio spec. plano

Prašymas

2024-11-29

Informuojame apie pateiktą nagrinėti prašymą dėl žemės sklypo (kad. Nr. 4174/0200:2534), esančio Vilniaus r. sav., Avižienių sen., Klevinės vs., Ukmergės g. 453, (toliau – Žemės sklypas) pagrindinės žemės naudojimo paskirties ir žemės naudojimo būdo keitimą. Prašymo tikslas: 1,9554 ha ploto Pramonės ir sandėliavimo objektų teritorijos Žemės sklypo  žemės naudojimo būdo keitimas į kitos – komercinė paskirties teritorijos ir pramonės ir sandėliavimo objektų teritorijos. Su prašymu galima susipažinti nuo 2024-11-28 iki 2024-12-11 Lietuvos Respublikos teritorijų planavimo dokumentų rengimo ir teritorijų planavimo proceso valstybės priežiūros informacinėje svetainėje (TPDRIS.lt) ir Vilniaus rajono savivaldybės interneto svetainėje (vrsa.lt). Pasiūlymus dėl pagrindinės žemės naudojimo paskirties ir žemės naudojimo būdo keitimo galima teikti iki 2024-12-11 Vilniaus rajono savivaldybės administracijai (Rinktinės g. 50, Vilnius) raštu ir Lietuvos Respublikos teritorijų planavimo dokumentų rengimo ir teritorijų planavimo proceso valstybinės priežiūros informacinėje sistemoje.

Ištrauka iš Vilniaus rajono savivaldybės teritorijos dalies („U“ žemės naudojimo funkcinės zonos Avižienių, Juodšilių, Nemėžio, Pagirių, Riešės, Rudaminos ir Zujūnų seniūnijose) bendrojo plano

Prašymas

2024-11-28

Informuojame apie pateiktą nagrinėti prašymą dėl žemės sklypo (kad. Nr. 4110/0700:1093), esančio Vilniaus r. sav., Zujūnų sen., Geležių k. (toliau – Žemės sklypi) pagrindinės žemės naudojimo paskirties ir  naudojimo būdo keitimo. Prašymo tikslas: 0,4800 ploto žemės ūkio paskirties Žemės sklypo pagrindinės žemės naudojimo paskirties ir žemės naudojimo būdo keitimas į kitos – vienbučių ir dvibučių gyvenamųjų pastatų teritorijos. Su prašymu galima susipažinti nuo 2024-11-28 iki 2024-12-11 Lietuvos Respublikos teritorijų planavimo dokumentų rengimo ir teritorijų planavimo proceso valstybės priežiūros informacinėje svetainėje (TPDRIS.lt) ir Vilniaus rajono savivaldybės interneto svetainėje (vrsa.lt). Pasiūlymus dėl pagrindinės žemės naudojimo paskirties ir žemės naudojimo būdo keitimo galima teikti iki 2024-12-11 Vilniaus rajono savivaldybės administracijai (Rinktinės g. 50, Vilnius) raštu ir Lietuvos Respublikos teritorijų planavimo dokumentų rengimo ir teritorijų planavimo proceso valstybinės priežiūros informacinėje sistemoje.

Ištrauka iš Vilniaus rajono savivaldybės teritorijos dalies („U“ žemės naudojimo funkcinės zonos Avižienių, Juodšilių, Nemėžio, Pagirių, Riešės, Rudaminos ir Zujūnų seniūnijose) bendrojo plano

Prašymas

Informuojame apie pateiktą nagrinėti prašymą dėl žemės sklypo (kad. Nr. 4190/0200:154), esančio Vilniaus r. sav., Kalvelių sen., Kalvelių k., Vilniaus g. 13 (toliau – Žemės sklypi) naudojimo būdo keitimo. Prašymo tikslas: 1,3000 ploto kitos paskirties Žemės sklypo žemės naudojimo būdo keitimas į kitos – trijų ir daugiau butų gyvenamųjų pastatų teritorijos. Su prašymu galima susipažinti nuo 2024-11-28 iki 2024-12-11 Lietuvos Respublikos teritorijų planavimo dokumentų rengimo ir teritorijų planavimo proceso valstybės priežiūros informacinėje svetainėje (TPDRIS.lt) ir Vilniaus rajono savivaldybės interneto svetainėje (vrsa.lt). Pasiūlymus dėl pagrindinės žemės naudojimo paskirties ir žemės naudojimo būdo keitimo galima teikti iki 2024-12-11 Vilniaus rajono savivaldybės administracijai (Rinktinės g. 50, Vilnius) raštu ir Lietuvos Respublikos teritorijų planavimo dokumentų rengimo ir teritorijų planavimo proceso valstybinės priežiūros informacinėje sistemoje.

Ištrauka iš Kraštovaizdžio spec. plano

Prašymas

2024-11-28

Informuojame apie pateiktą nagrinėti prašymą dėl žemės sklypo (kad. Nr. 4172/0200:415), esančio Vilniaus r. sav., Nemenčinės sen., Tuščiaulių k. (toliau – Žemės sklypi) pagrindinės žemės naudojimo paskirties ir  naudojimo būdo keitimo. Prašymo tikslas: 0,3370 ploto žemės ūkio paskirties Žemės sklypo pagrindinės žemės naudojimo paskirties ir žemės naudojimo būdo keitimas į kitos – vienbučių ir dvibučių gyvenamųjų pastatų teritorijos. Su prašymu galima susipažinti nuo 2024-11-28 iki 2024-12-11 Lietuvos Respublikos teritorijų planavimo dokumentų rengimo ir teritorijų planavimo proceso valstybės priežiūros informacinėje svetainėje (TPDRIS.lt) ir Vilniaus rajono savivaldybės interneto svetainėje (vrsa.lt). Pasiūlymus dėl pagrindinės žemės naudojimo paskirties ir žemės naudojimo būdo keitimo galima teikti iki 2024-12-11 Vilniaus rajono savivaldybės administracijai (Rinktinės g. 50, Vilnius) raštu ir Lietuvos Respublikos teritorijų planavimo dokumentų rengimo ir teritorijų planavimo proceso valstybinės priežiūros informacinėje sistemoje.

Ištrauka iš Kraštovaizdžio spec. plano

Prašymas

2024-11-28

Informuojame apie pateiktą nagrinėti prašymą dėl žemės sklypo (kad. Nr. 4164/0300:105), esančio Vilniaus r. sav., Paberžės sen., Marijampolio k. 2A (toliau – Žemės sklypi) pagrindinės žemės naudojimo paskirties ir  naudojimo būdo keitimo. Prašymo tikslas: 2,2942 ploto žemės ūkio paskirties Žemės sklypo pagrindinės žemės naudojimo paskirties ir žemės naudojimo būdo keitimas į kitos – rekreacinės teritorijos. Su prašymu galima susipažinti nuo 2024-11-28 iki 2024-12-11 Lietuvos Respublikos teritorijų planavimo dokumentų rengimo ir teritorijų planavimo proceso valstybės priežiūros informacinėje svetainėje (TPDRIS.lt) ir Vilniaus rajono savivaldybės interneto svetainėje (vrsa.lt). Pasiūlymus dėl pagrindinės žemės naudojimo paskirties ir žemės naudojimo būdo keitimo galima teikti iki 2024-12-11 Vilniaus rajono savivaldybės administracijai (Rinktinės g. 50, Vilnius) raštu ir Lietuvos Respublikos teritorijų planavimo dokumentų rengimo ir teritorijų planavimo proceso valstybinės priežiūros informacinėje sistemoje.

Ištrauka iš Kraštovaizdžio spec. plano

Prašymas

2024-11-28

Informuojame apie pateiktą nagrinėti prašymą dėl žemės sklypų (kad. Nr. 4172/0500:703 ), esančio Vilniaus r. sav., Nemenčinės sen., Rudausių k. (toliau – Žemės sklypi) pagrindinės žemės naudojimo paskirties ir  naudojimo būdo keitimo. Prašymo tikslas: 0,6042 ploto žemės ūkio paskirties Žemės sklypo pagrindinės žemės naudojimo paskirties ir žemės naudojimo būdo keitimas į kitos – vienbučių ir dvibučių gyvenamųjų pastatų teritorijos. Su prašymu galima susipažinti nuo 2024-11-27 iki 2024-12-10 Lietuvos Respublikos teritorijų planavimo dokumentų rengimo ir teritorijų planavimo proceso valstybės priežiūros informacinėje svetainėje (TPDRIS.lt) ir Vilniaus rajono savivaldybės interneto svetainėje (vrsa.lt). Pasiūlymus dėl pagrindinės žemės naudojimo paskirties ir žemės naudojimo būdo keitimo galima teikti iki 2024-12-10 Vilniaus rajono savivaldybės administracijai (Rinktinės g. 50, Vilnius) raštu ir Lietuvos Respublikos teritorijų planavimo dokumentų rengimo ir teritorijų planavimo proceso valstybinės priežiūros informacinėje sistemoje.

Ištrauka iš Kraštovaizdžio spec. plano

Prašymas

2024-11-27

Informuojame apie pateiktą nagrinėti prašymą dėl žemės sklypų (kad. Nr. 4152/0800:472), esančio Vilniaus r. sav., Mickūnų sen., Mickūnų mstl. (toliau – Žemės sklypi) pagrindinės žemės naudojimo paskirties ir  naudojimo būdo keitimo. Prašymo tikslas: 0,5170 ploto žemės ūkio paskirties Žemės sklypo pagrindinės žemės naudojimo paskirties ir žemės naudojimo būdo keitimas į kitos – vienbučių ir dvibučių gyvenamųjų pastatų teritorijos. Su prašymu galima susipažinti nuo 2024-11-27 iki 2024-12-10 Lietuvos Respublikos teritorijų planavimo dokumentų rengimo ir teritorijų planavimo proceso valstybės priežiūros informacinėje svetainėje (TPDRIS.lt) ir Vilniaus rajono savivaldybės interneto svetainėje (vrsa.lt). Pasiūlymus dėl pagrindinės žemės naudojimo paskirties ir žemės naudojimo būdo keitimo galima teikti iki 2024-12-10 Vilniaus rajono savivaldybės administracijai (Rinktinės g. 50, Vilnius) raštu ir Lietuvos Respublikos teritorijų planavimo dokumentų rengimo ir teritorijų planavimo proceso valstybinės priežiūros informacinėje sistemoje.

Ištrauka iš Kraštovaizdžio spec. plano

Prašymas

2024-11-27

Informuojame apie pateiktą nagrinėti prašymą dėl žemės sklypų (kad. Nr. 4152/0800:335), esančio Vilniaus r. sav., Mickūnų sen., Mickūnų mstl. (toliau – Žemės sklypi) pagrindinės žemės naudojimo paskirties ir  naudojimo būdo keitimo. Prašymo tikslas: 0,3172 ploto žemės ūkio paskirties Žemės sklypo pagrindinės žemės naudojimo paskirties ir žemės naudojimo būdo keitimas į kitos – vienbučių ir dvibučių gyvenamųjų pastatų teritorijos. Su prašymu galima susipažinti nuo 2024-11-27 iki 2024-12-10 Lietuvos Respublikos teritorijų planavimo dokumentų rengimo ir teritorijų planavimo proceso valstybės priežiūros informacinėje svetainėje (TPDRIS.lt) ir Vilniaus rajono savivaldybės interneto svetainėje (vrsa.lt). Pasiūlymus dėl pagrindinės žemės naudojimo paskirties ir žemės naudojimo būdo keitimo galima teikti iki 2024-12-10 Vilniaus rajono savivaldybės administracijai (Rinktinės g. 50, Vilnius) raštu ir Lietuvos Respublikos teritorijų planavimo dokumentų rengimo ir teritorijų planavimo proceso valstybinės priežiūros informacinėje sistemoje.

Ištrauka iš Kraštovaizdžio spec. plano

Prašymas

2024-11-27

Informuojame apie pateiktą nagrinėti prašymą dėl žemės sklypų (kad. Nr. 4120/0100:585), esančio Vilniaus r. sav., Nemenčinės sen., Krikščioniškių k. (toliau – Žemės sklypi) pagrindinės žemės naudojimo paskirties ir  naudojimo būdo keitimo. Prašymo tikslas: 0,2611 ploto žemės ūkio paskirties Žemės sklypo pagrindinės žemės naudojimo paskirties ir žemės naudojimo būdo keitimas į kitos – kitos - komercinės paskirties objektų teritorijos. Su prašymu galima susipažinti nuo 2024-11-27 iki 2024-12-10 Lietuvos Respublikos teritorijų planavimo dokumentų rengimo ir teritorijų planavimo proceso valstybės priežiūros informacinėje svetainėje (TPDRIS.lt) ir Vilniaus rajono savivaldybės interneto svetainėje (vrsa.lt). Pasiūlymus dėl pagrindinės žemės naudojimo paskirties ir žemės naudojimo būdo keitimo galima teikti iki 2024-12-10 Vilniaus rajono savivaldybės administracijai (Rinktinės g. 50, Vilnius) raštu ir Lietuvos Respublikos teritorijų planavimo dokumentų rengimo ir teritorijų planavimo proceso valstybinės priežiūros informacinėje sistemoje.

Ištrauka iš Kraštovaizdžio spec. plano

Prašymas

2024-11-27

Informuojame apie pateiktą nagrinėti prašymą dėl žemės sklypo (kad. Nr. 4142/0300:595), esančio Vilniaus r. sav., Šatrininkų sen., Grigaičių k., Geležinkelio g. 11 (toliau – Žemės sklypas)  naudojimo būdo keitimo. Prašymo tikslas: 0,2200 ha ploto kitos - komercinės paskirties objektų teritorijos žemės naudojimo būdo keitimas į kitos - vienbučių ir dvibučių gyvenamųjų pastatų teritorijos. Su prašymu galima susipažinti nuo 2024-11-27 iki 2024-12-10 Lietuvos Respublikos teritorijų planavimo dokumentų rengimo ir teritorijų planavimo proceso valstybės priežiūros informacinėje svetainėje (TPDRIS.lt) ir Vilniaus rajono savivaldybės interneto svetainėje (vrsa.lt). Pasiūlymus dėl pagrindinės žemės naudojimo paskirties ir žemės naudojimo būdo keitimo galima teikti iki 2024-12-10 Vilniaus rajono savivaldybės administracijai (Rinktinės g. 50, Vilnius) raštu ir Lietuvos Respublikos teritorijų planavimo dokumentų rengimo ir teritorijų planavimo proceso valstybinės priežiūros informacinėje sistemoje.

Ištrauka iš Kraštovaizdžio spec. plano

Prašymas

2024-11-27

Informuojame apie pateiktą nagrinėti prašymą dėl žemės sklypų (kad. Nr. 4172/0100:694), esančio Vilniaus r. sav., Nemenčinės sen., Raudondvario k. (toliau – Žemės sklypi) pagrindinės žemės naudojimo paskirties ir  naudojimo būdo keitimo. Prašymo tikslas: 0,1006 ploto žemės ūkio paskirties Žemės sklypo pagrindinės žemės naudojimo paskirties ir žemės naudojimo būdo keitimas į kitos – vienbučių ir dvibučių gyvenamųjų pastatų teritorijos. Su prašymu galima susipažinti nuo 2024-11-27 iki 2024-12-10 Lietuvos Respublikos teritorijų planavimo dokumentų rengimo ir teritorijų planavimo proceso valstybės priežiūros informacinėje svetainėje (TPDRIS.lt) ir Vilniaus rajono savivaldybės interneto svetainėje (vrsa.lt). Pasiūlymus dėl pagrindinės žemės naudojimo paskirties ir žemės naudojimo būdo keitimo galima teikti iki 2024-12-10 Vilniaus rajono savivaldybės administracijai (Rinktinės g. 50, Vilnius) raštu ir Lietuvos Respublikos teritorijų planavimo dokumentų rengimo ir teritorijų planavimo proceso valstybinės priežiūros informacinėje sistemoje.

Ištrauka iš Kraštovaizdžio spec. plano

Prašymas

2024-11-27

Informuojame apie pateiktą nagrinėti prašymą dėl žemės sklypų (kad. Nr. 4170/0600:104), esančio Vilniaus r. sav., Riešės sen., Užuežerės k. (toliau – Žemės sklypi) pagrindinės žemės naudojimo paskirties ir  naudojimo būdo keitimo. Prašymo tikslas: 1,0034 ploto žemės ūkio paskirties Žemės sklypo pagrindinės žemės naudojimo paskirties ir žemės naudojimo būdo keitimas į kitos – vienbučių ir dvibučių gyvenamųjų pastatų teritorijos. Su prašymu galima susipažinti nuo 2024-11-26 iki 2024-12-09 Lietuvos Respublikos teritorijų planavimo dokumentų rengimo ir teritorijų planavimo proceso valstybės priežiūros informacinėje svetainėje (TPDRIS.lt) ir Vilniaus rajono savivaldybės interneto svetainėje (vrsa.lt). Pasiūlymus dėl pagrindinės žemės naudojimo paskirties ir žemės naudojimo būdo keitimo galima teikti iki 2024-12-09 Vilniaus rajono savivaldybės administracijai (Rinktinės g. 50, Vilnius) raštu ir Lietuvos Respublikos teritorijų planavimo dokumentų rengimo ir teritorijų planavimo proceso valstybinės priežiūros informacinėje sistemoje.

Ištrauka iš Kraštovaizdžio spec. plano

Prašymas

2024-11-26

Informuojame apie pateiktą nagrinėti prašymą dėl žemės sklypų (kad. Nr. 4170/0300:9 ), esančio Vilniaus r. sav., Riešės sen., Purnuškių k. (toliau – Žemės sklypi) pagrindinės žemės naudojimo paskirties ir  naudojimo būdo keitimo. Prašymo tikslas: 1,4754 ploto žemės ūkio paskirties Žemės sklypo pagrindinės žemės naudojimo paskirties ir žemės naudojimo būdo keitimas į kitos – vienbučių ir dvibučių gyvenamųjų pastatų teritorijos. Su prašymu galima susipažinti nuo 2024-11-26 iki 2024-12-09 Lietuvos Respublikos teritorijų planavimo dokumentų rengimo ir teritorijų planavimo proceso valstybės priežiūros informacinėje svetainėje (TPDRIS.lt) ir Vilniaus rajono savivaldybės interneto svetainėje (vrsa.lt). Pasiūlymus dėl pagrindinės žemės naudojimo paskirties ir žemės naudojimo būdo keitimo galima teikti iki 2024-12-09 Vilniaus rajono savivaldybės administracijai (Rinktinės g. 50, Vilnius) raštu ir Lietuvos Respublikos teritorijų planavimo dokumentų rengimo ir teritorijų planavimo proceso valstybinės priežiūros informacinėje sistemoje.

Ištrauka iš Kraštovaizdžio spec. plano

Prašymas

2024-11-26

Informuojame apie pateiktą nagrinėti prašymą dėl žemės sklypų (kad. Nr. 4170/0600:224) , esančio Vilniaus r. sav., Riešės sen., Užuežerės k. (toliau – Žemės sklypi) pagrindinės žemės naudojimo paskirties ir  naudojimo būdo keitimo. Prašymo tikslas: 0,5000 ploto žemės ūkio paskirties Žemės sklypo pagrindinės žemės naudojimo paskirties ir žemės naudojimo būdo keitimas į kitos – vienbučių ir dvibučių gyvenamųjų pastatų teritorijos. Su prašymu galima susipažinti nuo 2024-11-26 iki 2024-12-09 Lietuvos Respublikos teritorijų planavimo dokumentų rengimo ir teritorijų planavimo proceso valstybės priežiūros informacinėje svetainėje (TPDRIS.lt) ir Vilniaus rajono savivaldybės interneto svetainėje (vrsa.lt). Pasiūlymus dėl pagrindinės žemės naudojimo paskirties ir žemės naudojimo būdo keitimo galima teikti iki 2024-12-09 Vilniaus rajono savivaldybės administracijai (Rinktinės g. 50, Vilnius) raštu ir Lietuvos Respublikos teritorijų planavimo dokumentų rengimo ir teritorijų planavimo proceso valstybinės priežiūros informacinėje sistemoje.

Ištrauka iš Kraštovaizdžio spec. plano

Prašymas

2024-11-26

Informuojame apie pateiktą nagrinėti prašymą dėl žemės sklypų (kad. Nr. 4170/0600:102) , esančio Vilniaus r. sav., Riešės sen., Užuežerės k. (toliau – Žemės sklypi) pagrindinės žemės naudojimo paskirties ir  naudojimo būdo keitimo. Prašymo tikslas: 0,2500 ploto žemės ūkio paskirties Žemės sklypo pagrindinės žemės naudojimo paskirties ir žemės naudojimo būdo keitimas į kitos – vienbučių ir dvibučių gyvenamųjų pastatų teritorijos. Su prašymu galima susipažinti nuo 2024-11-26 iki 2024-12-09 Lietuvos Respublikos teritorijų planavimo dokumentų rengimo ir teritorijų planavimo proceso valstybės priežiūros informacinėje svetainėje (TPDRIS.lt) ir Vilniaus rajono savivaldybės interneto svetainėje (vrsa.lt). Pasiūlymus dėl pagrindinės žemės naudojimo paskirties ir žemės naudojimo būdo keitimo galima teikti iki 2024-12-09 Vilniaus rajono savivaldybės administracijai (Rinktinės g. 50, Vilnius) raštu ir Lietuvos Respublikos teritorijų planavimo dokumentų rengimo ir teritorijų planavimo proceso valstybinės priežiūros informacinėje sistemoje.

Ištrauka iš Kraštovaizdžio spec. plano

Prašymas

2024-11-26

Informuojame apie pateiktą nagrinėti prašymą dėl žemės sklypų (kad. Nr. 4170/0500:172) , esančio Vilniaus r. sav., Riešės sen., Nemenčinėlės k. (toliau – Žemės sklypi) pagrindinės žemės naudojimo paskirties ir  naudojimo būdo keitimo. Prašymo tikslas: 0,6465 ploto žemės ūkio paskirties Žemės sklypo pagrindinės žemės naudojimo paskirties ir žemės naudojimo būdo keitimas į kitos – komercinės paskirties objektų teritorijos. Su prašymu galima susipažinti nuo 2024-11-26 iki 2024-12-09 Lietuvos Respublikos teritorijų planavimo dokumentų rengimo ir teritorijų planavimo proceso valstybės priežiūros informacinėje svetainėje (TPDRIS.lt) ir Vilniaus rajono savivaldybės interneto svetainėje (vrsa.lt). Pasiūlymus dėl pagrindinės žemės naudojimo paskirties ir žemės naudojimo būdo keitimo galima teikti iki 2024-12-09 Vilniaus rajono savivaldybės administracijai (Rinktinės g. 50, Vilnius) raštu ir Lietuvos Respublikos teritorijų planavimo dokumentų rengimo ir teritorijų planavimo proceso valstybinės priežiūros informacinėje sistemoje.

Ištrauka iš Kraštovaizdžio spec. plano

Prašymas

2024-11-26

Informuojame apie pateiktą nagrinėti prašymą dėl žemės sklypo (kad. Nr. :4180/0800:75), esančio Vilniaus r. sav., Rukainių sen., Elžbietinės k., (toliau – Žemės sklypas) pagrindinės žemės naudojimo paskirties ir žemės naudojimo būdo keitimą. Prašymo tikslas: 13,4036 ha ploto žemės ūkio paskirties Žemės sklypo pagrindinės žemės naudojimo paskirties ir žemės naudojimo būdo keitimas į miško ūkio paskirties - ūkinių miškų sklypai. Su prašymu galima susipažinti nuo 2024-11-22 iki 2024-12-05 Lietuvos Respublikos teritorijų planavimo dokumentų rengimo ir teritorijų planavimo proceso valstybės priežiūros informacinėje svetainėje (TPDRIS.lt) ir Vilniaus rajono savivaldybės interneto svetainėje (vrsa.lt). Pasiūlymus dėl pagrindinės žemės naudojimo paskirties ir žemės naudojimo būdo keitimo galima teikti iki 2024-12-05 Vilniaus rajono savivaldybės administracijai (Rinktinės g. 50, Vilnius) raštu ir Lietuvos Respublikos teritorijų planavimo dokumentų rengimo ir teritorijų planavimo proceso valstybinės priežiūros informacinėje sistemoje.

Ištrauka iš Kraštovaizdžio spec. plano

Prašymas

2024-11-22

Informuojame apie pateiktą nagrinėti prašymą dėl žemės sklypo (kad. Nr. 4134/0200:22), esančio Vilniaus r. sav., Paberžės sen., Pustiltos k. , (toliau – Žemės sklypas) pagrindinės žemės naudojimo paskirties ir žemės naudojimo būdo keitimą. Prašymo tikslas: 16,8300 ha ploto žemės ūkio paskirties Žemės sklypo pagrindinės žemės naudojimo paskirties ir žemės naudojimo būdo keitimas į miško ūkio paskirties - ūkinių miškų sklypai. Su prašymu galima susipažinti nuo 2024-11-22 iki 2024-12-05 Lietuvos Respublikos teritorijų planavimo dokumentų rengimo ir teritorijų planavimo proceso valstybės priežiūros informacinėje svetainėje (TPDRIS.lt) ir Vilniaus rajono savivaldybės interneto svetainėje (vrsa.lt). Pasiūlymus dėl pagrindinės žemės naudojimo paskirties ir žemės naudojimo būdo keitimo galima teikti iki 2024-12-05 Vilniaus rajono savivaldybės administracijai (Rinktinės g. 50, Vilnius) raštu ir Lietuvos Respublikos teritorijų planavimo dokumentų rengimo ir teritorijų planavimo proceso valstybinės priežiūros informacinėje sistemoje.

Ištrauka iš Kraštovaizdžio spec. plano

Prašymas

2024-11-22

Informuojame apie pateiktą nagrinėti prašymą dėl žemės sklypo (kad. Nr. 4150/0800:20), esančio Vilniaus r. sav., Medininkų sen., Šutinių k., (toliau – Žemės sklypas) pagrindinės žemės naudojimo paskirties ir žemės naudojimo būdo keitimą. Prašymo tikslas: 33,0000 ha ploto žemės ūkio paskirties Žemės sklypo pagrindinės žemės naudojimo paskirties ir žemės naudojimo būdo keitimas į miško ūkio paskirties - ūkinių miškų sklypai. Su prašymu galima susipažinti nuo 2024-11-22 iki 2024-12-05 Lietuvos Respublikos teritorijų planavimo dokumentų rengimo ir teritorijų planavimo proceso valstybės priežiūros informacinėje svetainėje (TPDRIS.lt) ir Vilniaus rajono savivaldybės interneto svetainėje (vrsa.lt). Pasiūlymus dėl pagrindinės žemės naudojimo paskirties ir žemės naudojimo būdo keitimo galima teikti iki 2024-12-05 Vilniaus rajono savivaldybės administracijai (Rinktinės g. 50, Vilnius) raštu ir Lietuvos Respublikos teritorijų planavimo dokumentų rengimo ir teritorijų planavimo proceso valstybinės priežiūros informacinėje sistemoje.

Ištrauka iš Kraštovaizdžio spec. plano

Prašymas

2024-11-22

Informuojame apie pateiktą nagrinėti prašymą dėl žemės sklypo (kad. Nr. 4192/0200:149), esančio Vilniaus r. sav., Sužionių sen., Giedraitėlių vs., (toliau – Žemės sklypas) pagrindinės žemės naudojimo paskirties ir žemės naudojimo būdo keitimą. Prašymo tikslas: 10,1400 ha ploto žemės ūkio paskirties Žemės sklypo pagrindinės žemės naudojimo paskirties ir žemės naudojimo būdo keitimas į miško ūkio paskirties - ūkinių miškų sklypai. Su prašymu galima susipažinti nuo 2024-11-22 iki 2024-12-05 Lietuvos Respublikos teritorijų planavimo dokumentų rengimo ir teritorijų planavimo proceso valstybės priežiūros informacinėje svetainėje (TPDRIS.lt) ir Vilniaus rajono savivaldybės interneto svetainėje (vrsa.lt). Pasiūlymus dėl pagrindinės žemės naudojimo paskirties ir žemės naudojimo būdo keitimo galima teikti iki 2024-12-05 Vilniaus rajono savivaldybės administracijai (Rinktinės g. 50, Vilnius) raštu ir Lietuvos Respublikos teritorijų planavimo dokumentų rengimo ir teritorijų planavimo proceso valstybinės priežiūros informacinėje sistemoje.

Ištrauka iš Kraštovaizdžio spec. plano

Prašymas

2024-11-22

Informuojame apie pateiktą nagrinėti prašymą dėl žemės sklypo (kad. Nr. 4192/0200:150), esančio Vilniaus r. sav., Sužionių sen., Rimšiškių vs., (toliau – Žemės sklypas) pagrindinės žemės naudojimo paskirties ir žemės naudojimo būdo keitimą. Prašymo tikslas: 70,4500 ha ploto žemės ūkio paskirties Žemės sklypo pagrindinės žemės naudojimo paskirties ir žemės naudojimo būdo keitimas į miško ūkio paskirties - ūkinių miškų sklypai. Su prašymu galima susipažinti nuo 2024-11-22 iki 2024-12-05 Lietuvos Respublikos teritorijų planavimo dokumentų rengimo ir teritorijų planavimo proceso valstybės priežiūros informacinėje svetainėje (TPDRIS.lt) ir Vilniaus rajono savivaldybės interneto svetainėje (vrsa.lt). Pasiūlymus dėl pagrindinės žemės naudojimo paskirties ir žemės naudojimo būdo keitimo galima teikti iki 2024-12-05 Vilniaus rajono savivaldybės administracijai (Rinktinės g. 50, Vilnius) raštu ir Lietuvos Respublikos teritorijų planavimo dokumentų rengimo ir teritorijų planavimo proceso valstybinės priežiūros informacinėje sistemoje.

Ištrauka iš Kraštovaizdžio spec. plano

Prašymas

2024-11-22

Informuojame apie pateiktą nagrinėti prašymą dėl žemės sklypo (kad. Nr.4180/0800:83), esančio Vilniaus r. sav., Rukainių sen., Elžbietinės k., (toliau – Žemės sklypas) pagrindinės žemės naudojimo paskirties ir žemės naudojimo būdo keitimą. Prašymo tikslas: 12,9447 ha ploto žemės ūkio paskirties Žemės sklypo pagrindinės žemės naudojimo paskirties ir žemės naudojimo būdo keitimas į miško ūkio paskirties - ūkinių miškų sklypai. Su prašymu galima susipažinti nuo 2024-11-22 iki 2024-12-05 Lietuvos Respublikos teritorijų planavimo dokumentų rengimo ir teritorijų planavimo proceso valstybės priežiūros informacinėje svetainėje (TPDRIS.lt) ir Vilniaus rajono savivaldybės interneto svetainėje (vrsa.lt). Pasiūlymus dėl pagrindinės žemės naudojimo paskirties ir žemės naudojimo būdo keitimo galima teikti iki 2024-12-05 Vilniaus rajono savivaldybės administracijai (Rinktinės g. 50, Vilnius) raštu ir Lietuvos Respublikos teritorijų planavimo dokumentų rengimo ir teritorijų planavimo proceso valstybinės priežiūros informacinėje sistemoje.

Ištrauka iš Kraštovaizdžio spec. plano

Prašymas

2024-11-22

Informuojame apie pateiktą nagrinėti prašymą dėl žemės sklypo (kad. Nr.4172/0400:467), esančio Vilniaus r. sav., Nemenčinės sen., Voskonių k., (toliau – Žemės sklypas) pagrindinės žemės naudojimo paskirties ir žemės naudojimo būdo keitimą. Prašymo tikslas: 31,0000 ha ploto žemės ūkio paskirties Žemės sklypo pagrindinės žemės naudojimo paskirties ir žemės naudojimo būdo keitimas į miško ūkio paskirties - ūkinių miškų sklypai. Su prašymu galima susipažinti nuo 2024-11-22 iki 2024-12-05 Lietuvos Respublikos teritorijų planavimo dokumentų rengimo ir teritorijų planavimo proceso valstybės priežiūros informacinėje svetainėje (TPDRIS.lt) ir Vilniaus rajono savivaldybės interneto svetainėje (vrsa.lt). Pasiūlymus dėl pagrindinės žemės naudojimo paskirties ir žemės naudojimo būdo keitimo galima teikti iki 2024-12-05 Vilniaus rajono savivaldybės administracijai (Rinktinės g. 50, Vilnius) raštu ir Lietuvos Respublikos teritorijų planavimo dokumentų rengimo ir teritorijų planavimo proceso valstybinės priežiūros informacinėje sistemoje.

Ištrauka iš Kraštovaizdžio spec. plano

Prašymas

2024-11-22

Informuojame apie pateiktą nagrinėti prašymą dėl žemės sklypo (kad. Nr.4172/0400:468), esančio Vilniaus r. sav., Nemenčinės sen., Voskonių k., (toliau – Žemės sklypas) pagrindinės žemės naudojimo paskirties ir žemės naudojimo būdo keitimą. Prašymo tikslas: 5,3000 ha ploto žemės ūkio paskirties Žemės sklypo pagrindinės žemės naudojimo paskirties ir žemės naudojimo būdo keitimas į miško ūkio paskirties - ūkinių miškų sklypai. Su prašymu galima susipažinti nuo 2024-11-22 iki 2024-12-05 Lietuvos Respublikos teritorijų planavimo dokumentų rengimo ir teritorijų planavimo proceso valstybės priežiūros informacinėje svetainėje (TPDRIS.lt) ir Vilniaus rajono savivaldybės interneto svetainėje (vrsa.lt). Pasiūlymus dėl pagrindinės žemės naudojimo paskirties ir žemės naudojimo būdo keitimo galima teikti iki 2024-12-05 Vilniaus rajono savivaldybės administracijai (Rinktinės g. 50, Vilnius) raštu ir Lietuvos Respublikos teritorijų planavimo dokumentų rengimo ir teritorijų planavimo proceso valstybinės priežiūros informacinėje sistemoje.

Ištrauka iš Kraštovaizdžio spec. plano

Prašymas

2024-11-22

Informuojame apie pateiktą nagrinėti prašymą dėl žemės sklypo (kad. Nr.4114/0400:133), esančio Vilniaus r. sav., Sužionių sen., Troškūnų k, (toliau – Žemės sklypas) pagrindinės žemės naudojimo paskirties ir žemės naudojimo būdo keitimą. Prašymo tikslas: 24.5500 ha ploto žemės ūkio paskirties Žemės sklypo pagrindinės žemės naudojimo paskirties ir žemės naudojimo būdo keitimas į miško ūkio paskirties - ūkinių miškų sklypai. Su prašymu galima susipažinti nuo 2024-11-22 iki 2024-12-05 Lietuvos Respublikos teritorijų planavimo dokumentų rengimo ir teritorijų planavimo proceso valstybės priežiūros informacinėje svetainėje (TPDRIS.lt) ir Vilniaus rajono savivaldybės interneto svetainėje (vrsa.lt). Pasiūlymus dėl pagrindinės žemės naudojimo paskirties ir žemės naudojimo būdo keitimo galima teikti iki 2024-12-05 Vilniaus rajono savivaldybės administracijai (Rinktinės g. 50, Vilnius) raštu ir Lietuvos Respublikos teritorijų planavimo dokumentų rengimo ir teritorijų planavimo proceso valstybinės priežiūros informacinėje sistemoje.

Ištrauka iš Kraštovaizdžio spec. plano

Prašymas

2024-11-22

Informuojame apie pateiktą nagrinėti prašymą dėl žemės sklypo (kad. Nr.4114/0400:17), esančio Vilniaus r. sav., Sužionių sen., Troškūnų k, (toliau – Žemės sklypas) pagrindinės žemės naudojimo paskirties ir žemės naudojimo būdo keitimą. Prašymo tikslas: 4,8267 ha ploto žemės ūkio paskirties Žemės sklypo pagrindinės žemės naudojimo paskirties ir žemės naudojimo būdo keitimas į miško ūkio paskirties - ūkinių miškų sklypai. Su prašymu galima susipažinti nuo 2024-11-22 iki 2024-12-05 Lietuvos Respublikos teritorijų planavimo dokumentų rengimo ir teritorijų planavimo proceso valstybės priežiūros informacinėje svetainėje (TPDRIS.lt) ir Vilniaus rajono savivaldybės interneto svetainėje (vrsa.lt). Pasiūlymus dėl pagrindinės žemės naudojimo paskirties ir žemės naudojimo būdo keitimo galima teikti iki 2024-12-05 Vilniaus rajono savivaldybės administracijai (Rinktinės g. 50, Vilnius) raštu ir Lietuvos Respublikos teritorijų planavimo dokumentų rengimo ir teritorijų planavimo proceso valstybinės priežiūros informacinėje sistemoje.

Ištrauka iš Kraštovaizdžio spec. plano

Prašymas

2024-11-22

Informuojame apie pateiktą nagrinėti prašymą dėl žemės sklypo (kad. Nr.4114/0400:18), esančio Vilniaus r. sav., Sužionių sen., Troškūnų k, (toliau – Žemės sklypas) pagrindinės žemės naudojimo paskirties ir žemės naudojimo būdo keitimą. Prašymo tikslas: 4,8267 ha ploto žemės ūkio paskirties Žemės sklypo pagrindinės žemės naudojimo paskirties ir žemės naudojimo būdo keitimas į miško ūkio paskirties - ūkinių miškų sklypai. Su prašymu galima susipažinti nuo 2024-11-22 iki 2024-12-05 Lietuvos Respublikos teritorijų planavimo dokumentų rengimo ir teritorijų planavimo proceso valstybės priežiūros informacinėje svetainėje (TPDRIS.lt) ir Vilniaus rajono savivaldybės interneto svetainėje (vrsa.lt). Pasiūlymus dėl pagrindinės žemės naudojimo paskirties ir žemės naudojimo būdo keitimo galima teikti iki 2024-12-05 Vilniaus rajono savivaldybės administracijai (Rinktinės g. 50, Vilnius) raštu ir Lietuvos Respublikos teritorijų planavimo dokumentų rengimo ir teritorijų planavimo proceso valstybinės priežiūros informacinėje sistemoje.

Ištrauka iš Kraštovaizdžio spec. plano

Prašymas

2024-11-22

Informuojame apie pateiktą nagrinėti prašymą dėl žemės sklypo (kad. Nr.4162/0400:2508), esančio Vilniaus r. sav., Nemėžio sen., Skaidiškių k. (toliau – Žemės sklypas)  pagrindinės žemės naudojimo paskirties ir naudojimo būdo keitimo. Prašymo tikslas: 0,1476 ha ploto žemės ūkio paskirties Žemės sklypo pagrindinės žemės naudojimo paskirties ir žemės naudojimo būdo keitimas į kitos – vienbučių ir dvibučių gyvenamųjų pastatų teritorijos. Su prašymu galima susipažinti nuo 2024-11-22 iki 2024-12-05 Lietuvos Respublikos teritorijų planavimo dokumentų rengimo ir teritorijų planavimo proceso valstybės priežiūros informacinėje svetainėje (TPDRIS.lt) ir Vilniaus rajono savivaldybės interneto svetainėje (vrsa.lt). Pasiūlymus dėl pagrindinės žemės naudojimo paskirties ir žemės naudojimo būdo keitimo galima teikti iki 2024-12-05 Vilniaus rajono savivaldybės administracijai (Rinktinės g. 50, Vilnius) raštu ir Lietuvos Respublikos teritorijų planavimo dokumentų rengimo ir teritorijų planavimo proceso valstybinės priežiūros informacinėje sistemoje.

Ištrauka iš Vilniaus rajono savivaldybės teritorijos dalies („U“ žemės naudojimo funkcinės zonos Avižienių, Juodšilių, Nemėžio, Pagirių, Riešės, Rudaminos ir Zujūnų seniūnijose) bendrojo plano

Prašymas

2024-11-22

Informuojame apie pateiktą nagrinėti prašymą dėl žemės sklypo (kad. Nr.4152/2000:125 ), esančio Vilniaus r. sav., Mickūnų sen., Dėdoniškių k. (toliau – Žemės sklypas)  naudojimo būdo nustatymo. Prašymo tikslas: 2,1145 ha ploto žemės ūkio paskirties Žemės sklypo žemės naudojimo būdo nustatymas: kiti – žemės ūkio paskirties žamės sklypai. Su prašymu galima susipažinti nuo 2024-11-21 iki 2024-12-04 Lietuvos Respublikos teritorijų planavimo dokumentų rengimo ir teritorijų planavimo proceso valstybės priežiūros informacinėje svetainėje (TPDRIS.lt) ir Vilniaus rajono savivaldybės interneto svetainėje (vrsa.lt). Pasiūlymus dėl pagrindinės žemės naudojimo paskirties ir žemės naudojimo būdo keitimo galima teikti iki 2024-12-04 Vilniaus rajono savivaldybės administracijai (Rinktinės g. 50, Vilnius) raštu ir Lietuvos Respublikos teritorijų planavimo dokumentų rengimo ir teritorijų planavimo proceso valstybinės priežiūros informacinėje sistemoje.

Ištrauka iš Kraštovaizdžio spec. plano

Prašymas

2024-11-21

Priimtas sprendimas žemės sklypo (kad. Nr. 4184/0300:599), esančio Vilniaus r. sav., Sudervės sen., Grikienių k.., pagrindinės žemės naudojimo paskirties ir žemės naudojimo būdo keitimo.

Sprendimas

2024-11-21

Informuojame apie pateiktą nagrinėti prašymą dėl žemės sklypo (kad. Nr. 4101/0700:143), esančio Vilniaus r. sav., Bezdonių sen., Kreivėnų vs. (toliau – Žemės sklypas) pagrindinės žemės naudojimo paskirties ir  naudojimo būdo keitimo. Prašymo tikslas: 0,4100 ha ploto žemės ūkio paskirties Žemės sklypo pagrindinės žemės naudojimo paskirties ir žemės naudojimo būdo keitimas į kitos – vienbučių ir dvibučių gyvenamųjų pastatų teritorijos. Su prašymu galima susipažinti nuo 2024-11-15 iki 2024-11-28 Lietuvos Respublikos teritorijų planavimo dokumentų rengimo ir teritorijų planavimo proceso valstybės priežiūros informacinėje svetainėje (TPDRIS.lt) ir Vilniaus rajono savivaldybės interneto svetainėje (vrsa.lt). Pasiūlymus dėl pagrindinės žemės naudojimo paskirties ir žemės naudojimo būdo keitimo galima teikti iki 2024-11-28 Vilniaus rajono savivaldybės administracijai (Rinktinės g. 50, Vilnius) raštu ir Lietuvos Respublikos teritorijų planavimo dokumentų rengimo ir teritorijų planavimo proceso valstybinės priežiūros informacinėje sistemoje.

Ištrauka iš Kraštovaizdžio spec. plano

Prašymas

2024-11-15

Priimtas sprendimas žemės sklypo (kad. Nr. 4122/0100:184), esančio Vilniaus r. sav., Pagirių sen., Juodbalių k., pagrindinės žemės naudojimo paskirties ir žemės naudojimo būdo keitimo.

Sprendimas

2024-11-14

Priimtas sprendimas žemės sklypo (kad. Nr. 4170/0100:800), esančio Vilniaus r. sav., Riešės sen., Mikulionių k., pagrindinės žemės naudojimo paskirties ir žemės naudojimo būdo keitimo.

Sprendimas

2024-11-14

Informuojame apie pateiktą nagrinėti prašymą dėl žemės sklypo (kad. Nr. 4120/0100:428), esančio Vilniaus r. sav., Nemenčinės sen., Piliakalnio k. (toliau – Žemės sklypas) pagrindinės žemės naudojimo paskirties ir  naudojimo būdo keitimo. Prašymo tikslas: 0,1500 ha ploto žemės ūkio paskirties Žemės sklypo pagrindinės žemės naudojimo paskirties ir žemės naudojimo būdo keitimas į kitos – vienbučių ir dvibučių gyvenamųjų pastatų teritorijos. Su prašymu galima susipažinti nuo 2024-11-13 iki 2024-11-26 Lietuvos Respublikos teritorijų planavimo dokumentų rengimo ir teritorijų planavimo proceso valstybės priežiūros informacinėje svetainėje (TPDRIS.lt) ir Vilniaus rajono savivaldybės interneto svetainėje (vrsa.lt). Pasiūlymus dėl pagrindinės žemės naudojimo paskirties ir žemės naudojimo būdo keitimo galima teikti iki 2024-11-26 Vilniaus rajono savivaldybės administracijai (Rinktinės g. 50, Vilnius) raštu ir Lietuvos Respublikos teritorijų planavimo dokumentų rengimo ir teritorijų planavimo proceso valstybinės priežiūros informacinėje sistemoje.

Ištrauka iš Kraštovaizdžio spec. plano

Prašymas

2024-11-13

Informuojame apie pateiktą nagrinėti prašymą dėl žemės sklypo (kad. Nr. 4184/0100:1176) , esančio Vilniaus r. sav., Sudervės sen., Rastinėnų k. (toliau – Žemės sklypas) pagrindinės žemės naudojimo paskirties ir  naudojimo būdo keitimo. Prašymo tikslas: 0,2167 ha ploto žemės ūkio paskirties Žemės sklypo pagrindinės žemės naudojimo paskirties ir žemės naudojimo būdo keitimas į kitos – vienbučių ir dvibučių gyvenamųjų pastatų teritorijos. Su prašymu galima susipažinti nuo 2024-11-13 iki 2024-11-26 Lietuvos Respublikos teritorijų planavimo dokumentų rengimo ir teritorijų planavimo proceso valstybės priežiūros informacinėje svetainėje (TPDRIS.lt) ir Vilniaus rajono savivaldybės interneto svetainėje (vrsa.lt). Pasiūlymus dėl pagrindinės žemės naudojimo paskirties ir žemės naudojimo būdo keitimo galima teikti iki 2024-11-26 Vilniaus rajono savivaldybės administracijai (Rinktinės g. 50, Vilnius) raštu ir Lietuvos Respublikos teritorijų planavimo dokumentų rengimo ir teritorijų planavimo proceso valstybinės priežiūros informacinėje sistemoje.

Ištrauka iš Kraštovaizdžio spec. plano

Prašymas

2024-11-13

Informuojame apie pateiktą nagrinėti prašymą dėl žemės sklypo (kad. Nr. 4182/0200:563) , esančio Vilniaus r. sav., Rukainių sen., Lankelių k. (toliau – Žemės sklypas) pagrindinės žemės naudojimo paskirties ir  naudojimo būdo keitimo. Prašymo tikslas: 0,3231 ha ploto žemės ūkio paskirties Žemės sklypo pagrindinės žemės naudojimo paskirties ir žemės naudojimo būdo keitimas į kitos – vienbučių ir dvibučių gyvenamųjų pastatų teritorijos. Su prašymu galima susipažinti nuo 2024-11-13 iki 2024-11-26 Lietuvos Respublikos teritorijų planavimo dokumentų rengimo ir teritorijų planavimo proceso valstybės priežiūros informacinėje svetainėje (TPDRIS.lt) ir Vilniaus rajono savivaldybės interneto svetainėje (vrsa.lt). Pasiūlymus dėl pagrindinės žemės naudojimo paskirties ir žemės naudojimo būdo keitimo galima teikti iki 2024-11-26 Vilniaus rajono savivaldybės administracijai (Rinktinės g. 50, Vilnius) raštu ir Lietuvos Respublikos teritorijų planavimo dokumentų rengimo ir teritorijų planavimo proceso valstybinės priežiūros informacinėje sistemoje.

Ištrauka iš Kraštovaizdžio spec. plano

Prašymas

2024-11-13

Informuojame apie pateiktą nagrinėti prašymą dėl žemės sklypo (kad. Nr. 4184/0100:1104) , esančio Vilniaus r. sav., Sudervės sen., Rastinėnų k. (toliau – Žemės sklypas) pagrindinės žemės naudojimo paskirties ir  naudojimo būdo keitimo. Prašymo tikslas: 0,1966 ha ploto žemės ūkio paskirties Žemės sklypo pagrindinės žemės naudojimo paskirties ir žemės naudojimo būdo keitimas į kitos – vienbučių ir dvibučių gyvenamųjų pastatų teritorijos. Su prašymu galima susipažinti nuo 2024-11-13 iki 2024-11-26 Lietuvos Respublikos teritorijų planavimo dokumentų rengimo ir teritorijų planavimo proceso valstybės priežiūros informacinėje svetainėje (TPDRIS.lt) ir Vilniaus rajono savivaldybės interneto svetainėje (vrsa.lt). Pasiūlymus dėl pagrindinės žemės naudojimo paskirties ir žemės naudojimo būdo keitimo galima teikti iki 2024-11-26 Vilniaus rajono savivaldybės administracijai (Rinktinės g. 50, Vilnius) raštu ir Lietuvos Respublikos teritorijų planavimo dokumentų rengimo ir teritorijų planavimo proceso valstybinės priežiūros informacinėje sistemoje.

Ištrauka iš Kraštovaizdžio spec. plano

Prašymas

2024-11-13

Informuojame apie pateiktą nagrinėti prašymą dėl žemės sklypo (kad. Nr. 4160/0100:951) , esančio Vilniaus r. sav., Nemenčinė, Švenčionių g. 62 (toliau – Žemės sklypas)  naudojimo būdo keitimo. Prašymo tikslas: 0,0770 ha ploto kitos – vienbučių ir dvibučių gyvenamųjų pastatų teritorijos Žemės sklypo žemės naudojimo būdo keitimas į kitos –trijų ir daugiau butų gyvenamųjų pastatų teritorijos. Su prašymu galima susipažinti nuo 2024-11-13 iki 2024-11-26 Lietuvos Respublikos teritorijų planavimo dokumentų rengimo ir teritorijų planavimo proceso valstybės priežiūros informacinėje svetainėje (TPDRIS.lt) ir Vilniaus rajono savivaldybės interneto svetainėje (vrsa.lt). Pasiūlymus dėl pagrindinės žemės naudojimo paskirties ir žemės naudojimo būdo keitimo galima teikti iki 2024-11-26 Vilniaus rajono savivaldybės administracijai (Rinktinės g. 50, Vilnius) raštu ir Lietuvos Respublikos teritorijų planavimo dokumentų rengimo ir teritorijų planavimo proceso valstybinės priežiūros informacinėje sistemoje.

Ištrauka iš Kraštovaizdžio spec. plano

Prašymas

2024-11-13

Priimtas sprendimas žemės sklypo (kad. Nr. 4167/0200:562), esančio Vilniaus r. sav., Pagirių sen., Pagirių k., pagrindinės žemės naudojimo paskirties ir žemės naudojimo būdo keitimo.

Sprendimas

2024-11-12

Priimtas sprendimas žemės sklypo (kad. Nr. 4167/0200:550), esančio Vilniaus r. sav., Pagirių sen., Pagirių k., pagrindinės žemės naudojimo paskirties ir žemės naudojimo būdo keitimo.

Sprendimas

2024-11-12

Informuojame apie pateiktą nagrinėti prašymą dėl žemės sklypo (kad. Nr.4162/0200:1195), esančio Vilniaus r. sav., Nemėžio sen., Daržininkų k. (toliau – Žemės sklypas)  naudojimo būdo keitimo. Prašymo tikslas: 0,1800 ha plotožemės ūkio paskirties Žemės sklypo pagrindinės žemės naudojimo paskirties ir žemės naudojimo būdo keitimas į kitos – vienbučių ir dvibučių gyvenamųjų pastatų teritorijos. Su prašymu galima susipažinti nuo 2024-11-12 iki 2024-11-25 Lietuvos Respublikos teritorijų planavimo dokumentų rengimo ir teritorijų planavimo proceso valstybės priežiūros informacinėje svetainėje (TPDRIS.lt) ir Vilniaus rajono savivaldybės interneto svetainėje (vrsa.lt). Pasiūlymus dėl pagrindinės žemės naudojimo paskirties ir žemės naudojimo būdo keitimo galima teikti iki 2024-11-25 Vilniaus rajono savivaldybės administracijai (Rinktinės g. 50, Vilnius) raštu ir Lietuvos Respublikos teritorijų planavimo dokumentų rengimo ir teritorijų planavimo proceso valstybinės priežiūros informacinėje sistemoje.

Ištrauka iš Vilniaus rajono savivaldybės teritorijos dalies („U“ žemės naudojimo funkcinės zonos Avižienių, Juodšilių, Nemėžio, Pagirių, Riešės, Rudaminos ir Zujūnų seniūnijose) bendrojo plano

Prašymas

2024-11-12

Informuojame apie pateiktą nagrinėti prašymą dėl žemės sklypo (kad. Nr.4184/0300:433), esančio Vilniaus r. sav., Sudervės sen., Sudervės k., Maišiagalos g. 35 (toliau – Žemės sklypas) pagrindinės žemės naudojimo paskirties ir  naudojimo būdo keitimo. Prašymo tikslas: 0,7900 ha ploto žemės ūkio paskirties Žemės sklypo pagrindinės žemės naudojimo paskirties ir žemės naudojimo būdo keitimas į kitos – vienbučių ir dvibučių gyvenamųjų pastatų teritorijos. Su prašymu galima susipažinti nuo 2024-11-12 iki 2024-11-25 Lietuvos Respublikos teritorijų planavimo dokumentų rengimo ir teritorijų planavimo proceso valstybės priežiūros informacinėje svetainėje (TPDRIS.lt) ir Vilniaus rajono savivaldybės interneto svetainėje (vrsa.lt). Pasiūlymus dėl pagrindinės žemės naudojimo paskirties ir žemės naudojimo būdo keitimo galima teikti iki 2024-11-25 Vilniaus rajono savivaldybės administracijai (Rinktinės g. 50, Vilnius) raštu ir Lietuvos Respublikos teritorijų planavimo dokumentų rengimo ir teritorijų planavimo proceso valstybinės priežiūros informacinėje sistemoje.

Ištrauka iš Rajono lygmens bendrojo planavimo dokumentas (ZRg žemės naudojimo funkcinės zonos Sudervės seniūnijoje)

Prašymas

2024-11-12

 

Informuojame apie pateiktą nagrinėti prašymą dėl žemės sklypo (kad. Nr.4170/0800:68) , esančio Vilniaus r. sav., Riešės sen., Varniškių k. (toliau – Žemės sklypas) pagrindinės žemės naudojimo paskirties ir  naudojimo būdo keitimo. Prašymo tikslas: 0,8000 ha ploto žemės ūkio paskirties Žemės sklypo pagrindinės žemės naudojimo paskirties ir žemės naudojimo būdo keitimas į kitos –pramonės ir sandėliavimo objektų teritorijos. Su prašymu galima susipažinti nuo 2024-11-12 iki 2024-11-25 Lietuvos Respublikos teritorijų planavimo dokumentų rengimo ir teritorijų planavimo proceso valstybės priežiūros informacinėje svetainėje (TPDRIS.lt) ir Vilniaus rajono savivaldybės interneto svetainėje (vrsa.lt). Pasiūlymus dėl pagrindinės žemės naudojimo paskirties ir žemės naudojimo būdo keitimo galima teikti iki 2024-11-25 Vilniaus rajono savivaldybės administracijai (Rinktinės g. 50, Vilnius) raštu ir Lietuvos Respublikos teritorijų planavimo dokumentų rengimo ir teritorijų planavimo proceso valstybinės priežiūros informacinėje sistemoje.

Ištrauka iš Kraštovaizdžio spec. plano

Prašymas

2024-11-12

Informuojame apie pateiktą nagrinėti prašymą dėl žemės sklypų (kad. Nr. 4152/1600:32 ir 4152/1600:569) , esančių Vilniaus r. sav., Mickūnų sen., Mickūnų mstl. (toliau – Žemės sklypi) pagrindinės žemės naudojimo paskirties ir  naudojimo būdo keitimo. Prašymo tikslas: 2,0677 ha ir 1,8703 ploto žemės ūkio paskirties Žemės sklypų pagrindinės žemės naudojimo paskirties ir žemės naudojimo būdo keitimas į kitos – komercinės paskirties objektų teritorijos. Su prašymu galima susipažinti nuo 2024-11-12 iki 2024-11-25 Lietuvos Respublikos teritorijų planavimo dokumentų rengimo ir teritorijų planavimo proceso valstybės priežiūros informacinėje svetainėje (TPDRIS.lt) ir Vilniaus rajono savivaldybės interneto svetainėje (vrsa.lt). Pasiūlymus dėl pagrindinės žemės naudojimo paskirties ir žemės naudojimo būdo keitimo galima teikti iki 2024-11-25 Vilniaus rajono savivaldybės administracijai (Rinktinės g. 50, Vilnius) raštu ir Lietuvos Respublikos teritorijų planavimo dokumentų rengimo ir teritorijų planavimo proceso valstybinės priežiūros informacinėje sistemoje.

Ištrauka iš Kraštovaizdžio spec. plano

Prašymas

2024-11-12

Informuojame apie pateiktą nagrinėti prašymą dėl žemės sklypo (kad. Nr. 4167/0300:692) , esančio Vilniaus r. sav., Pagirių sen., Skurbutėnų k. (toliau – Žemės sklypas) pagrindinės žemės naudojimo paskirties ir  naudojimo būdo keitimo. Prašymo tikslas: 0,2000 ha ploto žemės ūkio paskirties Žemės sklypo pagrindinės žemės naudojimo paskirties ir žemės naudojimo būdo keitimas į kitos – vienbučių ir dvibučių gyvenamųjų pastatų teritorijos. Su prašymu galima susipažinti nuo 2024-11-08 iki 2024-11-21 Lietuvos Respublikos teritorijų planavimo dokumentų rengimo ir teritorijų planavimo proceso valstybės priežiūros informacinėje svetainėje (TPDRIS.lt) ir Vilniaus rajono savivaldybės interneto svetainėje (vrsa.lt). Pasiūlymus dėl pagrindinės žemės naudojimo paskirties ir žemės naudojimo būdo keitimo galima teikti iki 2024-11-21 Vilniaus rajono savivaldybės administracijai (Rinktinės g. 50, Vilnius) raštu ir Lietuvos Respublikos teritorijų planavimo dokumentų rengimo ir teritorijų planavimo proceso valstybinės priežiūros informacinėje sistemoje.

Ištrauka iš Kraštovaizdžio spec. plano

Prašymas

2024-11-08

Informuojame apie pateiktą nagrinėti prašymą dėl žemės sklypo (kad. Nr. 4142/0200:390) , esančio Vilniaus r. sav., Šatrininkų sen., Grigaičių k. (toliau – Žemės sklypas) pagrindinės žemės naudojimo paskirties ir  naudojimo būdo keitimo. Prašymo tikslas: 0,1600 ha ploto žemės ūkio paskirties Žemės sklypo pagrindinės žemės naudojimo paskirties ir žemės naudojimo būdo keitimas į kitos – vienbučių ir dvibučių gyvenamųjų pastatų teritorijos. Su prašymu galima susipažinti nuo 2024-11-08 iki 2024-11-21 Lietuvos Respublikos teritorijų planavimo dokumentų rengimo ir teritorijų planavimo proceso valstybės priežiūros informacinėje svetainėje (TPDRIS.lt) ir Vilniaus rajono savivaldybės interneto svetainėje (vrsa.lt). Pasiūlymus dėl pagrindinės žemės naudojimo paskirties ir žemės naudojimo būdo keitimo galima teikti iki 2024-11-21 Vilniaus rajono savivaldybės administracijai (Rinktinės g. 50, Vilnius) raštu ir Lietuvos Respublikos teritorijų planavimo dokumentų rengimo ir teritorijų planavimo proceso valstybinės priežiūros informacinėje sistemoje.

Ištrauka iš Kraštovaizdžio spec. plano

Prašymas

2024-11-08

Informuojame apie pateiktą nagrinėti prašymą dėl žemės sklypo (kad. Nr. 4132/0100:529) , esančio Vilniaus r. sav., Maišiagalos sen., Karvio k. (toliau – Žemės sklypas) pagrindinės žemės naudojimo paskirties ir  naudojimo būdo keitimo. Prašymo tikslas: 1,4000ha ploto žemės ūkio paskirties Žemės sklypo pagrindinės žemės naudojimo paskirties ir žemės naudojimo būdo keitimas į kitos – vienbučių ir dvibučių gyvenamųjų pastatų teritorijos. Su prašymu galima susipažinti nuo 2024-11-08 iki 2024-11-21 Lietuvos Respublikos teritorijų planavimo dokumentų rengimo ir teritorijų planavimo proceso valstybės priežiūros informacinėje svetainėje (TPDRIS.lt) ir Vilniaus rajono savivaldybės interneto svetainėje (vrsa.lt). Pasiūlymus dėl pagrindinės žemės naudojimo paskirties ir žemės naudojimo būdo keitimo galima teikti iki 2024-11-21 Vilniaus rajono savivaldybės administracijai (Rinktinės g. 50, Vilnius) raštu ir Lietuvos Respublikos teritorijų planavimo dokumentų rengimo ir teritorijų planavimo proceso valstybinės priežiūros informacinėje sistemoje.

Ištrauka iš Kraštovaizdžio spec. plano

Prašymas

2024-11-08

Informuojame apie pateiktą nagrinėti prašymą dėl žemės sklypo (kad. Nr. 4160/0100:969) ,esančio Vilniaus r. sav., Nemenčinės m. (toliau – Žemės sklypas)  naudojimo būdo keitimo. Prašymo tikslas: 1,5206 ha ploto kito paskirties - atskirųjų želdynų teritorijos Žemės sklypo naudojimo būdo keitimas į kitos – visuomeninės paskirties teritorijos. Su prašymu galima susipažinti nuo 2024-11-08 iki 2024-11-21 Lietuvos Respublikos teritorijų planavimo dokumentų rengimo ir teritorijų planavimo proceso valstybės priežiūros informacinėje svetainėje (TPDRIS.lt) ir Vilniaus rajono savivaldybės interneto svetainėje (vrsa.lt). Pasiūlymus dėl pagrindinės žemės naudojimo paskirties ir žemės naudojimo būdo keitimo galima teikti iki 2024-11-21 Vilniaus rajono savivaldybės administracijai (Rinktinės g. 50, Vilnius) raštu ir Lietuvos Respublikos teritorijų planavimo dokumentų rengimo ir teritorijų planavimo proceso valstybinės priežiūros informacinėje sistemoje.

Ištrauka iš Kraštovaizdžio spec. plano

Prašymas

2024-11-08

Informuojame apie pateiktą nagrinėti prašymą dėl žemės sklypo (kad. Nr.4174/0200:464 ), esančio Vilniaus r. sav., Avižienių sen., Lindiniškių k. (toliau – Žemės sklypas)  naudojimo būdo nustatymo. Prašymo tikslas: 0,3262 ha ploto žemės ūkio paskirties Žemės sklypo žemės naudojimo būdo nustatymas: kiti – žemės ūkio paskirties žamės sklypai. Su prašymu galima susipažinti nuo 2024-11-06 iki 2024-11-19 Lietuvos Respublikos teritorijų planavimo dokumentų rengimo ir teritorijų planavimo proceso valstybės priežiūros informacinėje svetainėje (TPDRIS.lt) ir Vilniaus rajono savivaldybės interneto svetainėje (vrsa.lt). Pasiūlymus dėl pagrindinės žemės naudojimo paskirties ir žemės naudojimo būdo keitimo galima teikti iki 2024-11-19 Vilniaus rajono savivaldybės administracijai (Rinktinės g. 50, Vilnius) raštu ir Lietuvos Respublikos teritorijų planavimo dokumentų rengimo ir teritorijų planavimo proceso valstybinės priežiūros informacinėje sistemoje.

Ištrauka iš Vilniaus rajono savivaldybės teritorijos dalies („U“ žemės naudojimo funkcinės zonos Avižienių, Juodšilių, Nemėžio, Pagirių, Riešės, Rudaminos ir Zujūnų seniūnijose) bendrojo plano

Prašymas

2024-11-06

Priimtas sprendimas žemės sklypo (kad. Nr. 4154/2600:946), esančio Vilniaus r. sav., Marijampolio sen., Kalvelių k., pagrindinės žemės naudojimo paskirties ir žemės naudojimo būdo keitimo.

Sprendimas

2024-11-06

Informuojame apie pateiktą nagrinėti prašymą dėl žemės sklypo (kad. Nr.4184/0300:599), esančio Vilniaus r. sav., Sudervės sen., Grikienių k. (toliau – Žemės sklypas) pagrindinės žemės naudojimo paskirties ir  naudojimo būdo keitimo. Prašymo tikslas: 1,2800 ha ploto žemės ūkio paskirties Žemės sklypo pagrindinės žemės naudojimo paskirties ir žemės naudojimo būdo keitimas į kitos – rekreacinės paskirties teritorijos. Su prašymu galima susipažinti nuo 2024-11-06 iki 2024-11-19 Lietuvos Respublikos teritorijų planavimo dokumentų rengimo ir teritorijų planavimo proceso valstybės priežiūros informacinėje svetainėje (TPDRIS.lt) ir Vilniaus rajono savivaldybės interneto svetainėje (vrsa.lt). Pasiūlymus dėl pagrindinės žemės naudojimo paskirties ir žemės naudojimo būdo keitimo galima teikti iki 2024-11-19 Vilniaus rajono savivaldybės administracijai (Rinktinės g. 50, Vilnius) raštu ir Lietuvos Respublikos teritorijų planavimo dokumentų rengimo ir teritorijų planavimo proceso valstybinės priežiūros informacinėje sistemoje.

Ištrauka iš Rajono lygmens bendrojo planavimo dokumentas (ZRg žemės naudojimo funkcinės zonos Sudervės seniūnijoje)

Prašymas

2024-11-06

Informuojame apie pateiktą nagrinėti prašymą dėl žemės sklypo (kad. Nr.4117/0600:413), esančio Vilniaus r. sav., Riešės sen., Didžiosios Riešės k., Parko g. 63 (toliau – Žemės sklypas)  naudojimo būdo keitimo. Prašymo tikslas: 0,2796 ha ploto kitos – vienbučių ir dvibučių gyvenamųjų pastatų teritorijos žemės naudojimo būdo keitimas į kitos – komercinės paskirties objektų teritorijos. Su prašymu galima susipažinti nuo 2024-11-06 iki 2024-11-19 Lietuvos Respublikos teritorijų planavimo dokumentų rengimo ir teritorijų planavimo proceso valstybės priežiūros informacinėje svetainėje (TPDRIS.lt) ir Vilniaus rajono savivaldybės interneto svetainėje (vrsa.lt). Pasiūlymus dėl pagrindinės žemės naudojimo paskirties ir žemės naudojimo būdo keitimo galima teikti iki 2024-11-19 Vilniaus rajono savivaldybės administracijai (Rinktinės g. 50, Vilnius) raštu ir Lietuvos Respublikos teritorijų planavimo dokumentų rengimo ir teritorijų planavimo proceso valstybinės priežiūros informacinėje sistemoje.

Ištrauka iš Vilniaus rajono savivaldybės teritorijos dalies („U“ žemės naudojimo funkcinės zonos Avižienių, Juodšilių, Nemėžio, Pagirių, Riešės, Rudaminos ir Zujūnų seniūnijose) bendrojo plano

Prašymas

2024-11-06

Informuojame apie pateiktą nagrinėti prašymą dėl žemės sklypo (kad. Nr.4174/0200:9149), esančio Vilniaus r. sav., Avižienių sen., Lindiniškių k. (toliau – Žemės sklypas) pagrindinės žemės naudojimo paskirties ir  naudojimo būdo keitimo. Prašymo tikslas: 0,1462 ha ploto žemės ūkio paskirties Žemės sklypo pagrindinės žemės naudojimo paskirties ir žemės naudojimo būdo keitimas į kitos – vienbučių ir dvibučių gyvenamųjų pastatų teritorijos. Su prašymu galima susipažinti nuo 2024-11-06 iki 2024-11-19 Lietuvos Respublikos teritorijų planavimo dokumentų rengimo ir teritorijų planavimo proceso valstybės priežiūros informacinėje svetainėje (TPDRIS.lt) ir Vilniaus rajono savivaldybės interneto svetainėje (vrsa.lt). Pasiūlymus dėl pagrindinės žemės naudojimo paskirties ir žemės naudojimo būdo keitimo galima teikti iki 2024-11-19 Vilniaus rajono savivaldybės administracijai (Rinktinės g. 50, Vilnius) raštu ir Lietuvos Respublikos teritorijų planavimo dokumentų rengimo ir teritorijų planavimo proceso valstybinės priežiūros informacinėje sistemoje.

Ištrauka iš Vilniaus rajono savivaldybės teritorijos dalies („U“ žemės naudojimo funkcinės zonos Avižienių, Juodšilių, Nemėžio, Pagirių, Riešės, Rudaminos ir Zujūnų seniūnijose) bendrojo plano

Prašymas

2024-11-06

Informuojame apie pateiktą nagrinėti prašymą dėl žemės sklypo (kad. Nr. 4107/0600:24) , esančio Vilniaus r. sav., Bezdonių sen., Sakiškių k. (toliau – Žemės sklypas)  naudojimo būdo keitimo. Prašymo tikslas: 0,1526 ha ploto žemės ūkio paskirties Žemės sklypo pagrindinės žemės naudojimo paskirties ir žemės naudojimo būdo keitimas į kitos – vienbučių ir dvibučių gyvenamųjų pastatų teritorijos. Su prašymu galima susipažinti nuo 2024-11-06 iki 2024-11-19 Lietuvos Respublikos teritorijų planavimo dokumentų rengimo ir teritorijų planavimo proceso valstybės priežiūros informacinėje svetainėje (TPDRIS.lt) ir Vilniaus rajono savivaldybės interneto svetainėje (vrsa.lt). Pasiūlymus dėl pagrindinės žemės naudojimo paskirties ir žemės naudojimo būdo keitimo galima teikti iki 2024-11-19 Vilniaus rajono savivaldybės administracijai (Rinktinės g. 50, Vilnius) raštu ir Lietuvos Respublikos teritorijų planavimo dokumentų rengimo ir teritorijų planavimo proceso valstybinės priežiūros informacinėje sistemoje.

Ištrauka iš Kraštovaizdžio spec. plano

Prašymas

2024-11-06

Informuojame apie pateiktą nagrinėti prašymą dėl žemės sklypo (kad. Nr.4110/0300:591), esančio Vilniaus r. sav., Zujūnų sen., Platiniškių k., Platiniškių g. 48B  (toliau – Žemės sklypas) pagrindinės žemės naudojimo paskirties ir  naudojimo būdo keitimo. Prašymo tikslas: 0,2000 ha ploto žemės ūkio paskirties Žemės sklypo pagrindinės žemės naudojimo paskirties ir žemės naudojimo būdo keitimas į kitos – vienbučių ir dvibučių gyvenamųjų pastatų teritorijos. Su prašymu galima susipažinti nuo 2024-10-31 iki 2024-11-14 Lietuvos Respublikos teritorijų planavimo dokumentų rengimo ir teritorijų planavimo proceso valstybės priežiūros informacinėje svetainėje (TPDRIS.lt) ir Vilniaus rajono savivaldybės interneto svetainėje (vrsa.lt). Pasiūlymus dėl pagrindinės žemės naudojimo paskirties ir žemės naudojimo būdo keitimo galima teikti iki 2024-11-14 Vilniaus rajono savivaldybės administracijai (Rinktinės g. 50, Vilnius) raštu ir Lietuvos Respublikos teritorijų planavimo dokumentų rengimo ir teritorijų planavimo proceso valstybinės priežiūros informacinėje sistemoje.

Ištrauka iš Vilniaus rajono savivaldybės teritorijos dalies („U“ žemės naudojimo funkcinės zonos Avižienių, Juodšilių, Nemėžio, Pagirių, Riešės, Rudaminos ir Zujūnų seniūnijose) bendrojo plano

Prašymas

2024-10-31

Informuojame apie pateiktą nagrinėti prašymą dėl žemės sklypo (kad. Nr.4167/0100:1147), esančio Vilniaus r. sav., Pagirių sen., Baltosios Vokės k. (toliau – Žemės sklypas) pagrindinės žemės naudojimo paskirties ir  naudojimo būdo keitimo. Prašymo tikslas: 0,2469 ha ploto žemės ūkio paskirties Žemės sklypo pagrindinės žemės naudojimo paskirties ir žemės naudojimo būdo keitimas į kitos – vienbučių ir dvibučių gyvenamųjų pastatų teritorijos. Su prašymu galima susipažinti nuo 2024-10-31 iki 2024-11-14 Lietuvos Respublikos teritorijų planavimo dokumentų rengimo ir teritorijų planavimo proceso valstybės priežiūros informacinėje svetainėje (TPDRIS.lt) ir Vilniaus rajono savivaldybės interneto svetainėje (vrsa.lt). Pasiūlymus dėl pagrindinės žemės naudojimo paskirties ir žemės naudojimo būdo keitimo galima teikti iki 2024-11-14 Vilniaus rajono savivaldybės administracijai (Rinktinės g. 50, Vilnius) raštu ir Lietuvos Respublikos teritorijų planavimo dokumentų rengimo ir teritorijų planavimo proceso valstybinės priežiūros informacinėje sistemoje.

Ištrauka iš Vilniaus rajono savivaldybės teritorijos dalies („U“ žemės naudojimo funkcinės zonos Avižienių, Juodšilių, Nemėžio, Pagirių, Riešės, Rudaminos ir Zujūnų seniūnijose) bendrojo plano

Prašymas

2024-10-31

Informuojame apie pateiktą nagrinėti prašymą dėl žemės sklypo (kad. Nr. 4177/0100:676), esančio Vilniaus r. sav., Rudaminos sen., Totorinės k. (toliau – Žemės sklypas) pagrindinės žemės naudojimo paskirties ir  naudojimo būdo keitimo. Prašymo tikslas: 1,1000 ha ploto žemės ūkio paskirties Žemės sklypo pagrindinės žemės naudojimo paskirties ir žemės naudojimo būdo keitimas į kitos – vienbučių ir dvibučių gyvenamųjų pastatų teritorijos. Su prašymu galima susipažinti nuo 2024-10-29 iki 2024-11-12 Lietuvos Respublikos teritorijų planavimo dokumentų rengimo ir teritorijų planavimo proceso valstybės priežiūros informacinėje svetainėje (TPDRIS.lt) ir Vilniaus rajono savivaldybės interneto svetainėje (vrsa.lt). Pasiūlymus dėl pagrindinės žemės naudojimo paskirties ir žemės naudojimo būdo keitimo galima teikti iki 2024-11-12 Vilniaus rajono savivaldybės administracijai (Rinktinės g. 50, Vilnius) raštu ir Lietuvos Respublikos teritorijų planavimo dokumentų rengimo ir teritorijų planavimo proceso valstybinės priežiūros informacinėje sistemoje.

Ištrauka iš Vilniaus rajono savivaldybės teritorijos dalies („U“ žemės naudojimo funkcinės zonos Avižienių, Juodšilių, Nemėžio, Pagirių, Riešės, Rudaminos ir Zujūnų seniūnijose) bendrojo plano

Prašymas

2024-10-29

Informuojame apie pateiktą nagrinėti prašymą dėl žemės sklypo (kad. Nr.4182/0600:518), esančio Vilniaus r. sav., Rukainių sen., Gudžių k. (toliau – Žemės sklypas) pagrindinės žemės naudojimo paskirties ir  naudojimo būdo keitimo. Prašymo tikslas: 1,8200 ha ploto žemės ūkio paskirties Žemės sklypo pagrindinės žemės naudojimo paskirties ir žemės naudojimo būdo keitimas į kitos –rekreacinės paskirties objektų teritorijos. Su prašymu galima susipažinti nuo 2024-10-29 iki 2024-11-12 Lietuvos Respublikos teritorijų planavimo dokumentų rengimo ir teritorijų planavimo proceso valstybės priežiūros informacinėje svetainėje (TPDRIS.lt) ir Vilniaus rajono savivaldybės interneto svetainėje (vrsa.lt). Pasiūlymus dėl pagrindinės žemės naudojimo paskirties ir žemės naudojimo būdo keitimo galima teikti iki 2024-11-12 Vilniaus rajono savivaldybės administracijai (Rinktinės g. 50, Vilnius) raštu ir Lietuvos Respublikos teritorijų planavimo dokumentų rengimo ir teritorijų planavimo proceso valstybinės priežiūros informacinėje sistemoje.

Ištrauka iš Kraštovaizdžio spec. plano

Prašymas

2024-10-29

Informuojame apie pateiktą nagrinėti prašymą dėl žemės sklypo (kad. Nr.4182/0600:521), esančio Vilniaus r. sav., Rukainių sen., Gudžių k. (toliau – Žemės sklypas) pagrindinės žemės naudojimo paskirties ir  naudojimo būdo keitimo. Prašymo tikslas: 1,1100 ha ploto žemės ūkio paskirties Žemės sklypo pagrindinės žemės naudojimo paskirties ir žemės naudojimo būdo keitimas į kitos –rekreacinės paskirties objektų teritorijos. Su prašymu galima susipažinti nuo 2024-10-29 iki 2024-11-12 Lietuvos Respublikos teritorijų planavimo dokumentų rengimo ir teritorijų planavimo proceso valstybės priežiūros informacinėje svetainėje (TPDRIS.lt) ir Vilniaus rajono savivaldybės interneto svetainėje (vrsa.lt). Pasiūlymus dėl pagrindinės žemės naudojimo paskirties ir žemės naudojimo būdo keitimo galima teikti iki 2024-11-12 Vilniaus rajono savivaldybės administracijai (Rinktinės g. 50, Vilnius) raštu ir Lietuvos Respublikos teritorijų planavimo dokumentų rengimo ir teritorijų planavimo proceso valstybinės priežiūros informacinėje sistemoje.

Ištrauka iš Kraštovaizdžio spec. plano

Prašymas

2024-10-29

Priimtas sprendimas žemės sklypo (kad. Nr. 4174/0100:2135), esančio Vilniaus r. sav., Avižienių sen., Riešės k., Beržų g. 43A, ir  0,1170 ha ploto kitos paskirties – vienbučių ir dvibučių gyvenamųjų pastatų teritorijos žemės sklypo (kad. Nr. 4174/0100:2136), esančio Vilniaus r. sav., Avižienių sen., Riešės k., Beržų g. 43B, pagrindinės žemės naudojimo paskirties ir žemės naudojimo būdo keitimo.

Sprendimas

2024-10-29

Priimtas sprendimas žemės sklypo (kad. Nr. 4147/0400:844), esančio Vilniaus r. sav., Maišiagalos sen., Maišiagalos mstl., pagrindinės žemės naudojimo paskirties ir žemės naudojimo būdo keitimo.

Sprendimas

2024-10-29

Informuojame apie pateiktą nagrinėti prašymą dėl žemės sklypo (kad. Nr. 4160/0100:775), esančio Vilniaus r. sav., Nemenčinė, A. Mickevičiaus g. 107A (toliau – Žemės sklypas) naudojimo būdo keitimo. Prašymo tikslas: 0,0724 ha ploto kitos paskirties  žemės naudojimo būdo keitimas į kitos –vienbučių ir dvibučių gyvenamųjų pastatų teritorijos. Su prašymu galima susipažinti nuo 2024-10-29 iki 2024-11-12 Lietuvos Respublikos teritorijų planavimo dokumentų rengimo ir teritorijų planavimo proceso valstybės priežiūros informacinėje svetainėje (TPDRIS.lt) ir Vilniaus rajono savivaldybės interneto svetainėje (vrsa.lt). Pasiūlymus dėl pagrindinės žemės naudojimo paskirties ir žemės naudojimo būdo keitimo galima teikti iki 2024-11-12 Vilniaus rajono savivaldybės administracijai (Rinktinės g. 50, Vilnius) raštu ir Lietuvos Respublikos teritorijų planavimo dokumentų rengimo ir teritorijų planavimo proceso valstybinės priežiūros informacinėje sistemoje.

Ištrauka iš Kraštovaizdžio spec. plano

Prašymas

2024-10-29

Informuojame apie pateiktą nagrinėti prašymą dėl žemės sklypo (kad. Nr. 4152/1900:25), esančio Vilniaus r. sav., Mickūnų sen., Uosininkų III k. (toliau – Žemės sklypas) pagrindinės žemės naudojimo paskirties ir  naudojimo būdo keitimo. Prašymo tikslas: 0,0546 ha ploto žemės ūkio paskirties Žemės sklypo pagrindinės žemės naudojimo paskirties ir žemės naudojimo būdo keitimas į kitos –komercinės paskirties objektų teritorijos. Su prašymu galima susipažinti nuo 2024-10-29 iki 2024-11-12 Lietuvos Respublikos teritorijų planavimo dokumentų rengimo ir teritorijų planavimo proceso valstybės priežiūros informacinėje svetainėje (TPDRIS.lt) ir Vilniaus rajono savivaldybės interneto svetainėje (vrsa.lt). Pasiūlymus dėl pagrindinės žemės naudojimo paskirties ir žemės naudojimo būdo keitimo galima teikti iki 2024-11-12 Vilniaus rajono savivaldybės administracijai (Rinktinės g. 50, Vilnius) raštu ir Lietuvos Respublikos teritorijų planavimo dokumentų rengimo ir teritorijų planavimo proceso valstybinės priežiūros informacinėje sistemoje.

Ištrauka iš Kraštovaizdžio spec. plano

Prašymas

2024-10-29

Informuojame apie pateiktą nagrinėti prašymą dėl žemės sklypo (kad. Nr. 4192/0100:370), esančio Vilniaus r. sav., Sužionių sen., Veriškių k. (toliau – Žemės sklypas) pagrindinės žemės naudojimo paskirties ir  naudojimo būdo keitimo. Prašymo tikslas: 0,9285 ha ploto žemės ūkio paskirties Žemės sklypo pagrindinės žemės naudojimo paskirties ir žemės naudojimo būdo keitimas į kitos – vienbučių ir dvibučių gyvenamųjų pastatų teritorijos. Su prašymu galima susipažinti nuo 2024-10-29 iki 2024-11-12 Lietuvos Respublikos teritorijų planavimo dokumentų rengimo ir teritorijų planavimo proceso valstybės priežiūros informacinėje svetainėje (TPDRIS.lt) ir Vilniaus rajono savivaldybės interneto svetainėje (vrsa.lt). Pasiūlymus dėl pagrindinės žemės naudojimo paskirties ir žemės naudojimo būdo keitimo galima teikti iki 2024-11-12 Vilniaus rajono savivaldybės administracijai (Rinktinės g. 50, Vilnius) raštu ir Lietuvos Respublikos teritorijų planavimo dokumentų rengimo ir teritorijų planavimo proceso valstybinės priežiūros informacinėje sistemoje.

Ištrauka iš Kraštovaizdžio spec. plano

Prašymas

2024-10-29

Priimtas sprendimas dėl žemės sklypo (kad. Nr. 4170/1200:80), esančio Vilniaus r. sav., Riešės sen., Liubavo k., pagrindinės žemės naudojimo paskirties ir žemės naudojimo būdo keitimo.

Sprendimas

2024-10-24

Informuojame apie pateiktą nagrinėti prašymą dėl žemės sklypo (kad. Nr. 4137/0100:103) , esančio Vilniaus r. sav., Juodšilių sen., Prūdiškių k. (toliau – Žemės sklypas)  naudojimo būdo keitimo. Prašymo tikslas: 0,0812 ha ploto žemės ūkio paskirties Žemės sklypo pagrindinės žemės naudojimo paskirties ir žemės naudojimo būdo keitimas į kitos – vienbučių ir dvibučių gyvenamųjų pastatų teritorijos. Su prašymu galima susipažinti nuo 2024-10-25 iki 2024-11-08 Lietuvos Respublikos teritorijų planavimo dokumentų rengimo ir teritorijų planavimo proceso valstybės priežiūros informacinėje svetainėje (TPDRIS.lt) ir Vilniaus rajono savivaldybės interneto svetainėje (vrsa.lt). Pasiūlymus dėl pagrindinės žemės naudojimo paskirties ir žemės naudojimo būdo keitimo galima teikti iki 2024-11-08 Vilniaus rajono savivaldybės administracijai (Rinktinės g. 50, Vilnius) raštu ir Lietuvos Respublikos teritorijų planavimo dokumentų rengimo ir teritorijų planavimo proceso valstybinės priežiūros informacinėje sistemoje.

Ištrauka iš Vilniaus rajono savivaldybės teritorijos dalies („U“ žemės naudojimo funkcinės zonos Avižienių, Juodšilių, Nemėžio, Pagirių, Riešės, Rudaminos ir Zujūnų seniūnijose) bendrojo plano

Prašymas

2024-10-25

Informuojame apie pateiktą nagrinėti prašymą dėl žemės sklypo (kad. Nr. 4122/0100:184) , esančio Vilniaus r. sav., Pagirių sen., Juodbalių k. (toliau – Žemės sklypas)  naudojimo būdo keitimo. Prašymo tikslas: 0,1600 ha ploto žemės ūkio paskirties Žemės sklypo pagrindinės žemės naudojimo paskirties ir žemės naudojimo būdo keitimas į kitos – vienbučių ir dvibučių gyvenamųjų pastatų teritorijos. Su prašymu galima susipažinti nuo 2024-10-25 iki 2024-11-08 Lietuvos Respublikos teritorijų planavimo dokumentų rengimo ir teritorijų planavimo proceso valstybės priežiūros informacinėje svetainėje (TPDRIS.lt) ir Vilniaus rajono savivaldybės interneto svetainėje (vrsa.lt). Pasiūlymus dėl pagrindinės žemės naudojimo paskirties ir žemės naudojimo būdo keitimo galima teikti iki 2024-11-08 Vilniaus rajono savivaldybės administracijai (Rinktinės g. 50, Vilnius) raštu ir Lietuvos Respublikos teritorijų planavimo dokumentų rengimo ir teritorijų planavimo proceso valstybinės priežiūros informacinėje sistemoje.

Ištrauka iš Kraštovaizdžio spec. plano

Prašymas

2024-10-25

Informuojame apie pateiktą nagrinėti prašymą dėl žemės sklypo (kad. Nr. 4174/0100:536) , esančio Vilniaus r. sav., Avižienių sen., Riešės k. (toliau – Žemės sklypas)  naudojimo būdo keitimo. Prašymo tikslas: 0,5000 ha ploto žemės ūkio paskirties Žemės sklypo pagrindinės žemės naudojimo paskirties ir žemės naudojimo būdo keitimas į kitos – komercinės paskirties objektų teritorijos. Su prašymu galima susipažinti nuo 2024-10-24 iki 2024-11-07 Lietuvos Respublikos teritorijų planavimo dokumentų rengimo ir teritorijų planavimo proceso valstybės priežiūros informacinėje svetainėje (TPDRIS.lt) ir Vilniaus rajono savivaldybės interneto svetainėje (vrsa.lt). Pasiūlymus dėl pagrindinės žemės naudojimo paskirties ir žemės naudojimo būdo keitimo galima teikti iki 2024-11-07 Vilniaus rajono savivaldybės administracijai (Rinktinės g. 50, Vilnius) raštu ir Lietuvos Respublikos teritorijų planavimo dokumentų rengimo ir teritorijų planavimo proceso valstybinės priežiūros informacinėje sistemoje.

Ištrauka iš Kraštovaizdžio spec. plano

Prašymas

2024-10-24

Informuojame apie pateiktą nagrinėti prašymą dėl žemės sklypo (kad. Nr. 4174/0100:824) , esančio Vilniaus r. sav., Avižienių sen., Riešės k. (toliau – Žemės sklypas)  naudojimo būdo keitimo. Prašymo tikslas: 0,9500 ha ploto žemės ūkio paskirties Žemės sklypo pagrindinės žemės naudojimo paskirties ir žemės naudojimo būdo keitimas į kitos – komercinės paskirties objektų teritorijos. Su prašymu galima susipažinti nuo 2024-10-24 iki 2024-11-07 Lietuvos Respublikos teritorijų planavimo dokumentų rengimo ir teritorijų planavimo proceso valstybės priežiūros informacinėje svetainėje (TPDRIS.lt) ir Vilniaus rajono savivaldybės interneto svetainėje (vrsa.lt). Pasiūlymus dėl pagrindinės žemės naudojimo paskirties ir žemės naudojimo būdo keitimo galima teikti iki 2024-11-07 Vilniaus rajono savivaldybės administracijai (Rinktinės g. 50, Vilnius) raštu ir Lietuvos Respublikos teritorijų planavimo dokumentų rengimo ir teritorijų planavimo proceso valstybinės priežiūros informacinėje sistemoje.

Ištrauka iš Kraštovaizdžio spec. plano

Prašymas

2024-10-24

Informuojame apie pateiktą nagrinėti prašymą dėl žemės sklypo (kad. Nr.4110/0800:1576), esančio Vilniaus r. sav., Zujūnų sen., Antežerių k., (toliau – Žemės sklypas)  naudojimo būdo keitimo. Prašymo tikslas: 0,0898 ha ploto žemės ūkio paskirties Žemės sklypo pagrindinės žemės naudojimo paskirties ir žemės naudojimo būdo keitimas į kitos – komercinės paskirties objektų teritorijos. Su prašymu galima susipažinti nuo 2024-10-24 iki 2024-11-07 Lietuvos Respublikos teritorijų planavimo dokumentų rengimo ir teritorijų planavimo proceso valstybės priežiūros informacinėje svetainėje (TPDRIS.lt) ir Vilniaus rajono savivaldybės interneto svetainėje (vrsa.lt). Pasiūlymus dėl pagrindinės žemės naudojimo paskirties ir žemės naudojimo būdo keitimo galima teikti iki 2024-11-07 Vilniaus rajono savivaldybės administracijai (Rinktinės g. 50, Vilnius) raštu ir Lietuvos Respublikos teritorijų planavimo dokumentų rengimo ir teritorijų planavimo proceso valstybinės priežiūros informacinėje sistemoje.

Ištrauka iš Vilniaus rajono savivaldybės teritorijos dalies („U“ žemės naudojimo funkcinės zonos Avižienių, Juodšilių, Nemėžio, Pagirių, Riešės, Rudaminos ir Zujūnų seniūnijose) bendrojo plano

Prašymas

2024-10-24

Informuojame apie pateiktą nagrinėti prašymą dėl žemės sklypo (kad. Nr. 4150/0300:663) , esančio Vilniaus r. sav., Medininkų sen., Dvarčių k. (toliau – Žemės sklypas)  naudojimo būdo keitimo. Prašymo tikslas: 1,4900 ha ploto žemės ūkio paskirties Žemės sklypo pagrindinės žemės naudojimo paskirties ir žemės naudojimo būdo keitimas į kitos – vienbučių ir dvibučių gyvenamųjų pastatų teritorijos. Su prašymu galima susipažinti nuo 2024-10-24 iki 2024-11-07 Lietuvos Respublikos teritorijų planavimo dokumentų rengimo ir teritorijų planavimo proceso valstybės priežiūros informacinėje svetainėje (TPDRIS.lt) ir Vilniaus rajono savivaldybės interneto svetainėje (vrsa.lt). Pasiūlymus dėl pagrindinės žemės naudojimo paskirties ir žemės naudojimo būdo keitimo galima teikti iki 2024-11-07 Vilniaus rajono savivaldybės administracijai (Rinktinės g. 50, Vilnius) raštu ir Lietuvos Respublikos teritorijų planavimo dokumentų rengimo ir teritorijų planavimo proceso valstybinės priežiūros informacinėje sistemoje.

Ištrauka iš Kraštovaizdžio spec. plano

Prašymas

2024-10-24

Informuojame apie pateiktą nagrinėti prašymą dėl žemės sklypo (kad. Nr.4177/0100:552), esančio Vilniaus r. sav., Rudaminos sen., Totorinės k., (toliau – Žemės sklypas)  naudojimo būdo keitimo. Prašymo tikslas: 0,1500 ha ploto žemės ūkio paskirties Žemės sklypo pagrindinės žemės naudojimo paskirties ir žemės naudojimo būdo keitimas į kitos – vienbučių ir dvibučių gyvenamųjų pastatų teritorijos. Su prašymu galima susipažinti nuo 2024-10-24 iki 2024-11-07 Lietuvos Respublikos teritorijų planavimo dokumentų rengimo ir teritorijų planavimo proceso valstybės priežiūros informacinėje svetainėje (TPDRIS.lt) ir Vilniaus rajono savivaldybės interneto svetainėje (vrsa.lt). Pasiūlymus dėl pagrindinės žemės naudojimo paskirties ir žemės naudojimo būdo keitimo galima teikti iki 2024-11-07 Vilniaus rajono savivaldybės administracijai (Rinktinės g. 50, Vilnius) raštu ir Lietuvos Respublikos teritorijų planavimo dokumentų rengimo ir teritorijų planavimo proceso valstybinės priežiūros informacinėje sistemoje.

Ištrauka iš Vilniaus rajono savivaldybės teritorijos dalies („U“ žemės naudojimo funkcinės zonos Avižienių, Juodšilių, Nemėžio, Pagirių, Riešės, Rudaminos ir Zujūnų seniūnijose) bendrojo plano

Prašymas

2024-10-24

Priimtas sprendimas dėl žemės sklypo (kad. Nr. 4172/0300:658), esančio Vilniaus r. sav., Nemenčinės sen., Pakrauglės vs. 9, pagrindinės žemės naudojimo paskirties ir žemės naudojimo būdo keitimo.

Sprendimas

2024-10-22

Priimtas sprendimas dėl žemės sklypo (kad. Nr. 4110/0100:883), esančio Vilniaus r. sav., Zujūnų sen., Čekoniškių k., pagrindinės žemės naudojimo paskirties ir žemės naudojimo būdo keitimo.

Sprendimas

2024-10-22

Informuojame apie pateiktą nagrinėti prašymą dėl žemės sklypo (kad. Nr.4184/0500:161), esančio Vilniaus r. sav., Sudervės sen., Sudervės k., (toliau – Žemės sklypas)  naudojimo būdo keitimo. Prašymo tikslas: 0,8698 ha ploto žemės ūkio paskirties Žemės sklypo pagrindinės žemės naudojimo paskirties ir žemės naudojimo būdo keitimas į kitos – vienbučių ir dvibučių gyvenamųjų pastatų teritorijos. Su prašymu galima susipažinti nuo 2024-10-22 iki 2024-11-05 Lietuvos Respublikos teritorijų planavimo dokumentų rengimo ir teritorijų planavimo proceso valstybės priežiūros informacinėje svetainėje (TPDRIS.lt) ir Vilniaus rajono savivaldybės interneto svetainėje (vrsa.lt). Pasiūlymus dėl pagrindinės žemės naudojimo paskirties ir žemės naudojimo būdo keitimo galima teikti iki 2024-11-05 Vilniaus rajono savivaldybės administracijai (Rinktinės g. 50, Vilnius) raštu ir Lietuvos Respublikos teritorijų planavimo dokumentų rengimo ir teritorijų planavimo proceso valstybinės priežiūros informacinėje sistemoje.

Ištrauka išRajono lygmens bendrojo planavimo dokumentas(ZRg žemės naudojimo funkcinės zonos Sudervės seniūnijoje)

bendrojo plano

Prašymas

2024-10-22

Informuojame apie pateiktą nagrinėti prašymą dėl žemės sklypo (kad. Nr.4167/0200:562), esančio Vilniaus r. sav., Pagirių sen., Pagirių k., (toliau – Žemės sklypas)  naudojimo būdo keitimo. Prašymo tikslas: 0,1247 ha ploto žemės ūkio paskirties Žemės sklypo pagrindinės žemės naudojimo paskirties ir žemės naudojimo būdo keitimas į kitos – vienbučių ir dvibučių gyvenamųjų pastatų teritorijos. Su prašymu galima susipažinti nuo 2024-10-22 iki 2024-11-05 Lietuvos Respublikos teritorijų planavimo dokumentų rengimo ir teritorijų planavimo proceso valstybės priežiūros informacinėje svetainėje (TPDRIS.lt) ir Vilniaus rajono savivaldybės interneto svetainėje (vrsa.lt). Pasiūlymus dėl pagrindinės žemės naudojimo paskirties ir žemės naudojimo būdo keitimo galima teikti iki 2024-11-05 Vilniaus rajono savivaldybės administracijai (Rinktinės g. 50, Vilnius) raštu ir Lietuvos Respublikos teritorijų planavimo dokumentų rengimo ir teritorijų planavimo proceso valstybinės priežiūros informacinėje sistemoje.

Ištrauka iš Vilniaus rajono savivaldybės teritorijos dalies („U“ žemės naudojimo funkcinės zonos Avižienių, Juodšilių, Nemėžio, Pagirių, Riešės, Rudaminos ir Zujūnų seniūnijose) bendrojo plano

Prašymas

2024-10-22

Informuojame apie pateiktą nagrinėti prašymą dėl žemės sklypo (kad. Nr.4167/0200:550), esančio Vilniaus r. sav., Pagirių sen., Pagirių k., (toliau – Žemės sklypas)  naudojimo būdo keitimo. Prašymo tikslas: 0,2460 ha ploto žemės ūkio paskirties Žemės sklypo pagrindinės žemės naudojimo paskirties ir žemės naudojimo būdo keitimas į kitos – vienbučių ir dvibučių gyvenamųjų pastatų teritorijos. Su prašymu galima susipažinti nuo 2024-10-22 iki 2024-11-05 Lietuvos Respublikos teritorijų planavimo dokumentų rengimo ir teritorijų planavimo proceso valstybės priežiūros informacinėje svetainėje (TPDRIS.lt) ir Vilniaus rajono savivaldybės interneto svetainėje (vrsa.lt). Pasiūlymus dėl pagrindinės žemės naudojimo paskirties ir žemės naudojimo būdo keitimo galima teikti iki 2024-11-05 Vilniaus rajono savivaldybės administracijai (Rinktinės g. 50, Vilnius) raštu ir Lietuvos Respublikos teritorijų planavimo dokumentų rengimo ir teritorijų planavimo proceso valstybinės priežiūros informacinėje sistemoje.

Ištrauka iš Vilniaus rajono savivaldybės teritorijos dalies („U“ žemės naudojimo funkcinės zonos Avižienių, Juodšilių, Nemėžio, Pagirių, Riešės, Rudaminos ir Zujūnų seniūnijose) bendrojo plano

Prašymas

2024-10-22

Informuojame apie pateiktą nagrinėti prašymą dėl žemės sklypo (kad. Nr.4167/0200:1829) , esančio Vilniaus r. sav., Pagirių sen., Pagirių k. (toliau – Žemės sklypas)  naudojimo būdo keitimo. Prašymo tikslas: 0,8686 ha ploto žemės ūkio paskirties Žemės sklypo pagrindinės žemės naudojimo paskirties ir žemės naudojimo būdo keitimas į kitos –pramonės ir sandėliavimo objektų teritorijos. Su prašymu galima susipažinti nuo 2024-10-22 iki 2024-11-05 Lietuvos Respublikos teritorijų planavimo dokumentų rengimo ir teritorijų planavimo proceso valstybės priežiūros informacinėje svetainėje (TPDRIS.lt) ir Vilniaus rajono savivaldybės interneto svetainėje (vrsa.lt). Pasiūlymus dėl pagrindinės žemės naudojimo paskirties ir žemės naudojimo būdo keitimo galima teikti iki 2024-11-05 Vilniaus rajono savivaldybės administracijai (Rinktinės g. 50, Vilnius) raštu ir Lietuvos Respublikos teritorijų planavimo dokumentų rengimo ir teritorijų planavimo proceso valstybinės priežiūros informacinėje sistemoje.

Ištrauka iš Kraštovaizdžio spec. plano

Prašymas

2024-10-22

Informuojame apie pateiktą nagrinėti prašymą dėl žemės sklypo (kad. Nr.4174/0100:1340), esančio Vilniaus r. sav., Avižienių sen., Lindiniškių k., (toliau – Žemės sklypas)  naudojimo būdo keitimo. Prašymo tikslas: 0,1365 ha ploto žemės ūkio paskirties Žemės sklypo pagrindinės žemės naudojimo paskirties ir žemės naudojimo būdo keitimas į kitos – vienbučių ir dvibučių gyvenamųjų pastatų teritorijos. Su prašymu galima susipažinti nuo 2024-10-22 iki 2024-11-05 Lietuvos Respublikos teritorijų planavimo dokumentų rengimo ir teritorijų planavimo proceso valstybės priežiūros informacinėje svetainėje (TPDRIS.lt) ir Vilniaus rajono savivaldybės interneto svetainėje (vrsa.lt). Pasiūlymus dėl pagrindinės žemės naudojimo paskirties ir žemės naudojimo būdo keitimo galima teikti iki 2024-11-05 Vilniaus rajono savivaldybės administracijai (Rinktinės g. 50, Vilnius) raštu ir Lietuvos Respublikos teritorijų planavimo dokumentų rengimo ir teritorijų planavimo proceso valstybinės priežiūros informacinėje sistemoje.

Ištrauka iš Vilniaus rajono savivaldybės teritorijos dalies („U“ žemės naudojimo funkcinės zonos Avižienių, Juodšilių, Nemėžio, Pagirių, Riešės, Rudaminos ir Zujūnų seniūnijose) bendrojo plano

Prašymas

2024-10-22

Informuojame apie pateiktą nagrinėti prašymą dėl žemės sklypo (kad. Nr. 4140/0400:307), esančio Vilniaus r. sav., Kalvelių sen., Kalvelių k. (toliau – Žemės sklypas)  naudojimo būdo keitimo. Prašymo tikslas: 0,1849 ha ploto žemės ūkio paskirties Žemės sklypo pagrindinės žemės naudojimo paskirties ir žemės naudojimo būdo keitimas į kitos – vienbučių ir dvibučių gyvenamųjų pastatų teritorijos. Su prašymu galima susipažinti nuo 2024-10-22 iki 2024-11-05 Lietuvos Respublikos teritorijų planavimo dokumentų rengimo ir teritorijų planavimo proceso valstybės priežiūros informacinėje svetainėje (TPDRIS.lt) ir Vilniaus rajono savivaldybės interneto svetainėje (vrsa.lt). Pasiūlymus dėl pagrindinės žemės naudojimo paskirties ir žemės naudojimo būdo keitimo galima teikti iki 2024-11-05 Vilniaus rajono savivaldybės administracijai (Rinktinės g. 50, Vilnius) raštu ir Lietuvos Respublikos teritorijų planavimo dokumentų rengimo ir teritorijų planavimo proceso valstybinės priežiūros informacinėje sistemoje.

Ištrauka iš Kraštovaizdžio spec. plano

Prašymas

2024-10-22

Informuojame apie pateiktą nagrinėti prašymą dėl žemės sklypo (kad. Nr. 4152/1400:67), esančioVilniaus r. sav., Mickūnų sen., Uosininkų III k. (toliau – Žemės sklypas)  naudojimo būdo keitimo. Prašymo tikslas: 0,3526 ha ploto žemės ūkio paskirties Žemės sklypo pagrindinės žemės naudojimo paskirties ir žemės naudojimo būdo keitimas į kitos – vienbučių ir dvibučių gyvenamųjų pastatų teritorijos. Su prašymu galima susipažinti nuo 2024-10-17 iki 2024-10-30 Lietuvos Respublikos teritorijų planavimo dokumentų rengimo ir teritorijų planavimo proceso valstybės priežiūros informacinėje svetainėje (TPDRIS.lt) ir Vilniaus rajono savivaldybės interneto svetainėje (vrsa.lt). Pasiūlymus dėl pagrindinės žemės naudojimo paskirties ir žemės naudojimo būdo keitimo galima teikti iki 2024-10-30 Vilniaus rajono savivaldybės administracijai (Rinktinės g. 50, Vilnius) raštu ir Lietuvos Respublikos teritorijų planavimo dokumentų rengimo ir teritorijų planavimo proceso valstybinės priežiūros informacinėje sistemoje.

Ištrauka iš Kraštovaizdžio spec. plano

Prašymas

2024-10-17

Informuojame apie pateiktą nagrinėti prašymą dėl žemės sklypo (kad. Nr.4117/0700:5003), esančio Vilniaus r. sav., Riešės sen., Didžiosios Riešės k., (toliau – Žemės sklypas)  naudojimo būdo keitimo. Prašymo tikslas: 0,5000 ha ploto žemės ūkio paskirties Žemės sklypo pagrindinės žemės naudojimo paskirties ir žemės naudojimo būdo keitimas į kitos – komercinės paskirties objektų teritorijos. Su prašymu galima susipažinti nuo 2024-10-17 iki 2024-10-30 Lietuvos Respublikos teritorijų planavimo dokumentų rengimo ir teritorijų planavimo proceso valstybės priežiūros informacinėje svetainėje (TPDRIS.lt) ir Vilniaus rajono savivaldybės interneto svetainėje (vrsa.lt). Pasiūlymus dėl pagrindinės žemės naudojimo paskirties ir žemės naudojimo būdo keitimo galima teikti iki 2024-10-30 Vilniaus rajono savivaldybės administracijai (Rinktinės g. 50, Vilnius) raštu ir Lietuvos Respublikos teritorijų planavimo dokumentų rengimo ir teritorijų planavimo proceso valstybinės priežiūros informacinėje sistemoje.

Ištrauka iš Vilniaus rajono savivaldybės teritorijos dalies („U“ žemės naudojimo funkcinės zonos Avižienių, Juodšilių, Nemėžio, Pagirių, Riešės, Rudaminos ir Zujūnų seniūnijose) bendrojo plano

Prašymas

2024-10-17

Priimtas sprendimas dėl žemės sklypo (KAD. NR. 4170/1000:122 ), ESANČIO Vilniaus r. sav., Riešės sen., Karveliškių k. 1,  žemės naudojimo būdo nustatymo.

Sprendimas

2024-10-16

Informuojame apie pateiktą nagrinėti prašymą dėl žemės sklypo (kad. Nr. 4167/0200:1127), esančio Vilniaus r. sav., Pagirių sen., Melekonių k. (toliau – Žemės sklypas)  naudojimo būdo keitimo. Prašymo tikslas: 0,5700 ha ploto žemės ūkio paskirties Žemės sklypo pagrindinės žemės naudojimo paskirties ir žemės naudojimo būdo keitimas į kitos – vienbučių ir dvibučių gyvenamųjų pastatų teritorijos. Su prašymu galima susipažinti nuo 2024-10-16 iki 2024-10-29 Lietuvos Respublikos teritorijų planavimo dokumentų rengimo ir teritorijų planavimo proceso valstybės priežiūros informacinėje svetainėje (TPDRIS.lt) ir Vilniaus rajono savivaldybės interneto svetainėje (vrsa.lt). Pasiūlymus dėl pagrindinės žemės naudojimo paskirties ir žemės naudojimo būdo keitimo galima teikti iki 2024-10-29 Vilniaus rajono savivaldybės administracijai (Rinktinės g. 50, Vilnius) raštu ir Lietuvos Respublikos teritorijų planavimo dokumentų rengimo ir teritorijų planavimo proceso valstybinės priežiūros informacinėje sistemoje.

Ištrauka iš Kraštovaizdžio spec. plano

Prašymas

2024-10-16

Informuojame apie pateiktą nagrinėti prašymą dėl žemės sklypo (kad. Nr. 4147/0400:678), esančio Vilniaus r. sav., Maišiagalos sen., Mašiagalos mstl., (toliau – Žemės sklypas)  naudojimo būdo keitimo. Prašymo tikslas: 0,1500 ha ploto žemės ūkio paskirties Žemės sklypo pagrindinės žemės naudojimo paskirties ir žemės naudojimo būdo keitimas į kitos – vienbučių ir dvibučių gyvenamųjų pastatų teritorijos. Su prašymu galima susipažinti nuo 2024-10-16 iki 2024-10-29 Lietuvos Respublikos teritorijų planavimo dokumentų rengimo ir teritorijų planavimo proceso valstybės priežiūros informacinėje svetainėje (TPDRIS.lt) ir Vilniaus rajono savivaldybės interneto svetainėje (vrsa.lt). Pasiūlymus dėl pagrindinės žemės naudojimo paskirties ir žemės naudojimo būdo keitimo galima teikti iki 2024-10-29 Vilniaus rajono savivaldybės administracijai (Rinktinės g. 50, Vilnius) raštu ir Lietuvos Respublikos teritorijų planavimo dokumentų rengimo ir teritorijų planavimo proceso valstybinės priežiūros informacinėje sistemoje.

Ištrauka iš Kraštovaizdžio spec. plano

Prašymas

2024-10-16

Informuojame apie pateiktą nagrinėti prašymą dėl žemės sklypo (kad. Nr. 4154/2600:946), esančio Vilniaus r. sav., Marijampolio sen., Kalvelių k., (toliau – Žemės sklypas)  naudojimo būdo keitimo. Prašymo tikslas: 0,5755 ha ploto žemės ūkio paskirties Žemės sklypo pagrindinės žemės naudojimo paskirties ir žemės naudojimo būdo keitimas į kitos – vienbučių ir dvibučių gyvenamųjų pastatų teritorijos. Su prašymu galima susipažinti nuo 2024-10-16 iki 2024-10-29 Lietuvos Respublikos teritorijų planavimo dokumentų rengimo ir teritorijų planavimo proceso valstybės priežiūros informacinėje svetainėje (TPDRIS.lt) ir Vilniaus rajono savivaldybės interneto svetainėje (vrsa.lt). Pasiūlymus dėl pagrindinės žemės naudojimo paskirties ir žemės naudojimo būdo keitimo galima teikti iki 2024-10-29 Vilniaus rajono savivaldybės administracijai (Rinktinės g. 50, Vilnius) raštu ir Lietuvos Respublikos teritorijų planavimo dokumentų rengimo ir teritorijų planavimo proceso valstybinės priežiūros informacinėje sistemoje.

Ištrauka iš Kraštovaizdžio spec. plano

Prašymas

2024-10-16

Informuojame apie pateiktą nagrinėti prašymą dėl žemės sklypo (kad. Nr.4177/0200:479), esančio Vilniaus r. sav., Rudaminos sen., Totorinės k., (toliau – Žemės sklypas)  naudojimo būdo keitimo. Prašymo tikslas: 0,9140ha ploto žemės ūkio paskirties Žemės sklypo pagrindinės žemės naudojimo paskirties ir žemės naudojimo būdo keitimas į kitos – vienbučių ir dvibučių gyvenamųjų pastatų teritorijos. Su prašymu galima susipažinti nuo 2024-10-16 iki 2024-10-29 Lietuvos Respublikos teritorijų planavimo dokumentų rengimo ir teritorijų planavimo proceso valstybės priežiūros informacinėje svetainėje (TPDRIS.lt) ir Vilniaus rajono savivaldybės interneto svetainėje (vrsa.lt). Pasiūlymus dėl pagrindinės žemės naudojimo paskirties ir žemės naudojimo būdo keitimo galima teikti iki 2024-10-29 Vilniaus rajono savivaldybės administracijai (Rinktinės g. 50, Vilnius) raštu ir Lietuvos Respublikos teritorijų planavimo dokumentų rengimo ir teritorijų planavimo proceso valstybinės priežiūros informacinėje sistemoje.

Ištrauka iš Kraštovaizdžio spec. plano

Prašymas

2024-10-16

Informuojame apie pateiktą nagrinėti prašymą dėl žemės sklypo (kad. Nr.4177/0100:840), esančio Vilniaus r. sav., Rudaminos sen., Totorinės k., (toliau – Žemės sklypas)  naudojimo būdo keitimo. Prašymo tikslas: 0,1000ha ploto žemės ūkio paskirties Žemės sklypo pagrindinės žemės naudojimo paskirties ir žemės naudojimo būdo keitimas į kitos – vienbučių ir dvibučių gyvenamųjų pastatų teritorijos. Su prašymu galima susipažinti nuo 2024-10-16 iki 2024-10-29 Lietuvos Respublikos teritorijų planavimo dokumentų rengimo ir teritorijų planavimo proceso valstybės priežiūros informacinėje svetainėje (TPDRIS.lt) ir Vilniaus rajono savivaldybės interneto svetainėje (vrsa.lt). Pasiūlymus dėl pagrindinės žemės naudojimo paskirties ir žemės naudojimo būdo keitimo galima teikti iki 2024-10-29 Vilniaus rajono savivaldybės administracijai (Rinktinės g. 50, Vilnius) raštu ir Lietuvos Respublikos teritorijų planavimo dokumentų rengimo ir teritorijų planavimo proceso valstybinės priežiūros informacinėje sistemoje.

Ištrauka iš Vilniaus rajono savivaldybės teritorijos dalies („U“ žemės naudojimo funkcinės zonos Avižienių, Juodšilių, Nemėžio, Pagirių, Riešės, Rudaminos ir Zujūnų seniūnijose) bendrojo plano

Prašymas

2024-10-16

Informuojame apie pateiktą nagrinėti prašymą dėl žemės sklypo (kad. Nr.4177/0100:834), esančio Vilniaus r. sav., Rudaminos sen., Totorinės k., (toliau – Žemės sklypas)  naudojimo būdo keitimo. Prašymo tikslas: 0,1500ha ploto žemės ūkio paskirties Žemės sklypo pagrindinės žemės naudojimo paskirties ir žemės naudojimo būdo keitimas į kitos – vienbučių ir dvibučių gyvenamųjų pastatų teritorijos. Su prašymu galima susipažinti nuo 2024-10-16 iki 2024-10-29 Lietuvos Respublikos teritorijų planavimo dokumentų rengimo ir teritorijų planavimo proceso valstybės priežiūros informacinėje svetainėje (TPDRIS.lt) ir Vilniaus rajono savivaldybės interneto svetainėje (vrsa.lt). Pasiūlymus dėl pagrindinės žemės naudojimo paskirties ir žemės naudojimo būdo keitimo galima teikti iki 2024-10-29 Vilniaus rajono savivaldybės administracijai (Rinktinės g. 50, Vilnius) raštu ir Lietuvos Respublikos teritorijų planavimo dokumentų rengimo ir teritorijų planavimo proceso valstybinės priežiūros informacinėje sistemoje.

Ištrauka iš Vilniaus rajono savivaldybės teritorijos dalies („U“ žemės naudojimo funkcinės zonos Avižienių, Juodšilių, Nemėžio, Pagirių, Riešės, Rudaminos ir Zujūnų seniūnijose) bendrojo plano

Prašymas

2024-10-16

Informuojame apie pateiktą nagrinėti prašymą dėl žemės sklypo (kad. Nr.4152/1600:683), esančio Vilniaus r. sav., Mickūnų sen., Mickūnų. (toliau – Žemės sklypas) pagrindinės žemės naudojimo paskirties ir žemės naudojimo būdo keitimą. Prašymo tikslas: 0,4100 ha ploto žemės ūkio paskirties Žemės sklypo pagrindinės žemės naudojimo paskirties ir žemės naudojimo būdo keitimas į kitos – vienbučių ir dvibučių gyvenamųjų pastatų teritorijos. Su prašymu galima susipažinti nuo 2024-10-15 iki 2024-10-28 Lietuvos Respublikos teritorijų planavimo dokumentų rengimo ir teritorijų planavimo proceso valstybės priežiūros informacinėje svetainėje (TPDRIS.lt) ir Vilniaus rajono savivaldybės interneto svetainėje (vrsa.lt). Pasiūlymus dėl pagrindinės žemės naudojimo paskirties ir žemės naudojimo būdo keitimo galima teikti iki 2024-10-28 Vilniaus rajono savivaldybės administracijai (Rinktinės g. 50, Vilnius) raštu ir Lietuvos Respublikos teritorijų planavimo dokumentų rengimo ir teritorijų planavimo proceso valstybinės priežiūros informacinėje sistemoje.

Ištrauka iš Kraštovaizdžio spec. plano

Prašymas

2024-10-15

Informuojame apie pateiktą nagrinėti prašymą dėl žemės sklypo (kad. Nr.4174/0100:2136), esančio Vilniaus r. sav., Avižienių sen., Riešės k., Beržų g. 43B, (toliau – Žemės sklypas)  naudojimo būdo keitimo. Prašymo tikslas: 0,1170 ha ploto vienbučių ir dvibučių gyvenamųjų pastatų teritorijos žemės naudojimo būdo keitimas į kitos – komercinė paskirties teritorijos. Su prašymu galima susipažinti nuo 2024-10-11 iki 2024-10-24 Lietuvos Respublikos teritorijų planavimo dokumentų rengimo ir teritorijų planavimo proceso valstybės priežiūros informacinėje svetainėje (TPDRIS.lt) ir Vilniaus rajono savivaldybės interneto svetainėje (vrsa.lt). Pasiūlymus dėl pagrindinės žemės naudojimo paskirties ir žemės naudojimo būdo keitimo galima teikti iki 2024-10-24 Vilniaus rajono savivaldybės administracijai (Rinktinės g. 50, Vilnius) raštu ir Lietuvos Respublikos teritorijų planavimo dokumentų rengimo ir teritorijų planavimo proceso valstybinės priežiūros informacinėje sistemoje.

Ištrauka iš Vilniaus rajono savivaldybės teritorijos dalies („U“ žemės naudojimo funkcinės zonos Avižienių, Juodšilių, Nemėžio, Pagirių, Riešės, Rudaminos ir Zujūnų seniūnijose) bendrojo plano

Prašymas

2024-10-11

Informuojame apie pateiktą nagrinėti prašymą dėl žemės sklypo (kad. Nr.4174/0100:2135), esančio Vilniaus r. sav., Avižienių sen., Riešės k., Beržų g. 43A, (toliau – Žemės sklypas)  naudojimo būdo keitimo. Prašymo tikslas: 0,1140 ha ploto vienbučių ir dvibučių gyvenamųjų pastatų teritorijos žemės naudojimo būdo keitimas į kitos – komercinė paskirties teritorijos. Su prašymu galima susipažinti nuo 2024-10-11 iki 2024-10-24 Lietuvos Respublikos teritorijų planavimo dokumentų rengimo ir teritorijų planavimo proceso valstybės priežiūros informacinėje svetainėje (TPDRIS.lt) ir Vilniaus rajono savivaldybės interneto svetainėje (vrsa.lt). Pasiūlymus dėl pagrindinės žemės naudojimo paskirties ir žemės naudojimo būdo keitimo galima teikti iki 2024-10-24 Vilniaus rajono savivaldybės administracijai (Rinktinės g. 50, Vilnius) raštu ir Lietuvos Respublikos teritorijų planavimo dokumentų rengimo ir teritorijų planavimo proceso valstybinės priežiūros informacinėje sistemoje.

Ištrauka iš Vilniaus rajono savivaldybės teritorijos dalies („U“ žemės naudojimo funkcinės zonos Avižienių, Juodšilių, Nemėžio, Pagirių, Riešės, Rudaminos ir Zujūnų seniūnijose) bendrojo plano

Prašymas

2024-10-11

Informuojame apie pateiktą nagrinėti prašymą dėl žemės sklypo (kad. Nr. 4174/0300:619), esančio Vilniaus r. sav., Avižienių sen., Aukštųjų Rusokų vs., Dainų g. 3, (toliau – Žemės sklypas)  žemės naudojimo būdo keitimą. Prašymo tikslas: 0,2500 ha ploto dalies Vienbučių ir dvibučių gyvenamųjų pastatų teritorijos sklypo į kitos – komercinė objektų teritorijos žemės naudojimo būdo keitimas. Su prašymu galima susipažinti nuo 2024-10-11 iki 2024-10-24 Lietuvos Respublikos teritorijų planavimo dokumentų rengimo ir teritorijų planavimo proceso valstybės priežiūros informacinėje svetainėje (TPDRIS.lt) ir Vilniaus rajono savivaldybės interneto svetainėje (vrsa.lt). Pasiūlymus dėl pagrindinės žemės naudojimo paskirties ir žemės naudojimo būdo keitimo galima teikti iki 2024-10-24 Vilniaus rajono savivaldybės administracijai (Rinktinės g. 50, Vilnius) raštu ir Lietuvos Respublikos teritorijų planavimo dokumentų rengimo ir teritorijų planavimo proceso valstybinės priežiūros informacinėje sistemoje.

Ištrauka iš Kraštovaizdžio spec. plano

Prašymas

2024-10-11

Informuojame apie pateiktą nagrinėti prašymą dėl žemės sklypo (kad. Nr. 4174/0300:683), esančio Vilniaus r. sav., Avižienių sen., Aukštųjų Rusokų vs., Dainų g. 1, (toliau – Žemės sklypas)  žemės naudojimo būdo keitimą. Prašymo tikslas: 0,2500 ha ploto dalies Vienbučių ir dvibučių gyvenamųjų pastatų teritorijos sklypo į kitos – komercinė objektų teritorijos žemės naudojimo būdo keitimas. Su prašymu galima susipažinti nuo 2024-10-11 iki 2024-10-24 Lietuvos Respublikos teritorijų planavimo dokumentų rengimo ir teritorijų planavimo proceso valstybės priežiūros informacinėje svetainėje (TPDRIS.lt) ir Vilniaus rajono savivaldybės interneto svetainėje (vrsa.lt). Pasiūlymus dėl pagrindinės žemės naudojimo paskirties ir žemės naudojimo būdo keitimo galima teikti iki 2024-10-24 Vilniaus rajono savivaldybės administracijai (Rinktinės g. 50, Vilnius) raštu ir Lietuvos Respublikos teritorijų planavimo dokumentų rengimo ir teritorijų planavimo proceso valstybinės priežiūros informacinėje sistemoje.

Ištrauka iš Kraštovaizdžio spec. plano

Prašymas

2024-10-11

Informuojame apie pateiktą nagrinėti prašymą dėl žemės sklypo (kad. Nr. 4177/0200:283), esančio Vilniaus r. sav., Rudaminos sen., Rudaminos k., Gamyklos g. 1C, (toliau – Žemės sklypas)  žemės naudojimo būdo keitimą. Prašymo tikslas: 0,9790 ha ploto Visuomeninės paskirties teritorijos į kitos – Pramonės sandėliavimo objektų teritorijos žemės naudojimo būdo keitimas. Su prašymu galima susipažinti nuo 2024-10-10 iki 2024-10-23 Lietuvos Respublikos teritorijų planavimo dokumentų rengimo ir teritorijų planavimo proceso valstybės priežiūros informacinėje svetainėje (TPDRIS.lt) ir Vilniaus rajono savivaldybės interneto svetainėje (vrsa.lt). Pasiūlymus dėl pagrindinės žemės naudojimo paskirties ir žemės naudojimo būdo keitimo galima teikti iki 2024-10-23 Vilniaus rajono savivaldybės administracijai (Rinktinės g. 50, Vilnius) raštu ir Lietuvos Respublikos teritorijų planavimo dokumentų rengimo ir teritorijų planavimo proceso valstybinės priežiūros informacinėje sistemoje.

Ištrauka iš Vilniaus rajono savivaldybės teritorijos dalies („U“ žemės naudojimo funkcinės zonos Avižienių, Juodšilių, Nemėžio, Pagirių, Riešės, Rudaminos ir Zujūnų seniūnijose) bendrojo plano

Prašymas

2024-10-10

Informuojame apie pateiktą nagrinėti prašymą dėl žemės sklypo (kad. Nr.4180/0500:293), esančio Vilniaus r. sav., Rukainių sen., Kenos k. (toliau – Žemės sklypas) pagrindinės žemės naudojimo paskirties ir žemės naudojimo būdo keitimą. Prašymo tikslas: 0,6200 ha ploto žemės ūkio paskirties Žemės sklypo pagrindinės žemės naudojimo paskirties ir žemės naudojimo būdo keitimas į kitos – vienbučių ir dvibučių gyvenamųjų pastatų teritorijos. Su prašymu galima susipažinti nuo 2024-10-10 iki 2024-10-23 Lietuvos Respublikos teritorijų planavimo dokumentų rengimo ir teritorijų planavimo proceso valstybės priežiūros informacinėje svetainėje (TPDRIS.lt) ir Vilniaus rajono savivaldybės interneto svetainėje (vrsa.lt). Pasiūlymus dėl pagrindinės žemės naudojimo paskirties ir žemės naudojimo būdo keitimo galima teikti iki 2024-10-23 Vilniaus rajono savivaldybės administracijai (Rinktinės g. 50, Vilnius) raštu ir Lietuvos Respublikos teritorijų planavimo dokumentų rengimo ir teritorijų planavimo proceso valstybinės priežiūros informacinėje sistemoje.

Ištrauka iš Kraštovaizdžio spec. plano

Prašymas

2024-10-10

Informuojame apie pateiktą nagrinėti prašymą dėl žemės sklypo (kad. Nr.4180/0500:292), esančio Vilniaus r. sav., Rukainių sen., Kenos k. (toliau – Žemės sklypas) pagrindinės žemės naudojimo paskirties ir žemės naudojimo būdo keitimą. Prašymo tikslas: 0,6035 ha ploto žemės ūkio paskirties Žemės sklypo pagrindinės žemės naudojimo paskirties ir žemės naudojimo būdo keitimas į kitos – vienbučių ir dvibučių gyvenamųjų pastatų teritorijos. Su prašymu galima susipažinti nuo 2024-10-10 iki 2024-10-23 Lietuvos Respublikos teritorijų planavimo dokumentų rengimo ir teritorijų planavimo proceso valstybės priežiūros informacinėje svetainėje (TPDRIS.lt) ir Vilniaus rajono savivaldybės interneto svetainėje (vrsa.lt). Pasiūlymus dėl pagrindinės žemės naudojimo paskirties ir žemės naudojimo būdo keitimo galima teikti iki 2024-10-23 Vilniaus rajono savivaldybės administracijai (Rinktinės g. 50, Vilnius) raštu ir Lietuvos Respublikos teritorijų planavimo dokumentų rengimo ir teritorijų planavimo proceso valstybinės priežiūros informacinėje sistemoje.

Ištrauka iš Kraštovaizdžio spec. plano

Prašymas

2024-10-10

Informuojame apie pateiktą nagrinėti prašymą dėl žemės sklypo (kad. Nr.4180/0500:291), esančio Vilniaus r. sav., Rukainių sen., Kenos k. (toliau – Žemės sklypas) pagrindinės žemės naudojimo paskirties ir žemės naudojimo būdo keitimą. Prašymo tikslas: 0,5811 ha ploto žemės ūkio paskirties Žemės sklypo pagrindinės žemės naudojimo paskirties ir žemės naudojimo būdo keitimas į kitos – vienbučių ir dvibučių gyvenamųjų pastatų teritorijos. Su prašymu galima susipažinti nuo 2024-10-10 iki 2024-10-23 Lietuvos Respublikos teritorijų planavimo dokumentų rengimo ir teritorijų planavimo proceso valstybės priežiūros informacinėje svetainėje (TPDRIS.lt) ir Vilniaus rajono savivaldybės interneto svetainėje (vrsa.lt). Pasiūlymus dėl pagrindinės žemės naudojimo paskirties ir žemės naudojimo būdo keitimo galima teikti iki 2024-10-23 Vilniaus rajono savivaldybės administracijai (Rinktinės g. 50, Vilnius) raštu ir Lietuvos Respublikos teritorijų planavimo dokumentų rengimo ir teritorijų planavimo proceso valstybinės priežiūros informacinėje sistemoje.

Ištrauka iš Kraštovaizdžio spec. plano

Prašymas

2024-10-10

Informuojame apie pateiktą nagrinėti prašymą dėl žemės sklypo (kad. Nr.4117/0200:5222), esančio Vilniaus r. sav., Riešės sen., Paežerių k., Molėtų pl. 199E (toliau – Žemės sklypas) pagrindinės žemės naudojimo paskirties ir žemės naudojimo būdo keitimą. Prašymo tikslas: 1,4544 ha ploto žemės ūkio paskirties Žemės sklypo pagrindinės žemės naudojimo paskirties ir žemės naudojimo būdo keitimas į kitos – komercinės objektų teritorijos. Su prašymu galima susipažinti nuo 2024-10-10 iki 2024-10-23 Lietuvos Respublikos teritorijų planavimo dokumentų rengimo ir teritorijų planavimo proceso valstybės priežiūros informacinėje svetainėje (TPDRIS.lt) ir Vilniaus rajono savivaldybės interneto svetainėje (vrsa.lt). Pasiūlymus dėl pagrindinės žemės naudojimo paskirties ir žemės naudojimo būdo keitimo galima teikti iki 2024-10-23 Vilniaus rajono savivaldybės administracijai (Rinktinės g. 50, Vilnius) raštu ir Lietuvos Respublikos teritorijų planavimo dokumentų rengimo ir teritorijų planavimo proceso valstybinės priežiūros informacinėje sistemoje.

Ištrauka iš Kraštovaizdžio spec. plano

Prašymas

2024-10-10

Informuojame apie pateiktą nagrinėti prašymą dėl žemės sklypo (kad. Nr.4110/0700:1994), esančio Vilniaus r. sav., Zujūnų sen., Antežerių k. (toliau – Žemės sklypas) pagrindinės žemės naudojimo paskirties ir žemės naudojimo būdo keitimą. Prašymo tikslas: 1,4544 ha ploto žemės ūkio paskirties Žemės sklypo pagrindinės žemės naudojimo paskirties ir žemės naudojimo būdo keitimas į kitos – rekreacinės objektų teritorijos. Su prašymu galima susipažinti nuo 2024-10-10 iki 2024-10-23 Lietuvos Respublikos teritorijų planavimo dokumentų rengimo ir teritorijų planavimo proceso valstybės priežiūros informacinėje svetainėje (TPDRIS.lt) ir Vilniaus rajono savivaldybės interneto svetainėje (vrsa.lt). Pasiūlymus dėl pagrindinės žemės naudojimo paskirties ir žemės naudojimo būdo keitimo galima teikti iki 2024-10-23 Vilniaus rajono savivaldybės administracijai (Rinktinės g. 50, Vilnius) raštu ir Lietuvos Respublikos teritorijų planavimo dokumentų rengimo ir teritorijų planavimo proceso valstybinės priežiūros informacinėje sistemoje.

Ištrauka iš Vilniaus rajono savivaldybės teritorijos dalies („U“ žemės naudojimo funkcinės zonos Avižienių, Juodšilių, Nemėžio, Pagirių, Riešės, Rudaminos ir Zujūnų seniūnijose) bendrojo plano

Prašymas

2024-10-10

rmuojame apie pateiktą nagrinėti prašymą dėl žemės sklypo (kad. Nr. 4154/2700:1278), esančio Vilniaus r. sav., Marijampolio sen., Parudaminio k. (toliau – Žemės sklypas), pagrindinės žemės naudojimo paskirties ir žemės naudojimo būdo keitimą. Prašymo tikslas: 0,6540 ha ploto žemės ūkio paskirties Žemės sklypo pagrindinės žemės naudojimo paskirties ir žemės naudojimo būdo keitimas į kitos – vienbučių ir dvibučių gyvenamųjų pastatų teritorijos. Su prašymu galima susipažinti nuo 2024-10-08 iki 2024-10-21 Lietuvos Respublikos teritorijų planavimo dokumentų rengimo ir teritorijų planavimo proceso valstybės priežiūros informacinėje svetainėje (TPDRIS.lt) ir Vilniaus rajono savivaldybės interneto svetainėje (vrsa.lt). Pasiūlymus dėl pagrindinės žemės naudojimo paskirties ir žemės naudojimo būdo keitimo galima teikti iki 2024-10-21 VilnIiaus rajono savivaldybės administracijai (Rinktinės g. 50, Vilnius) raštu ir Lietuvos Respublikos teritorijų planavimo dokumentų rengimo ir teritorijų planavimo proceso valstybinės priežiūros informacinėje sistemoje.

Ištrauka iš Kraštovaizdžio spec. plano

Prašymas

2024-10-08

Informuojame apie pateiktą nagrinėti prašymą dėl žemės sklypo (kad. Nr. 4147/0400:844), esančio Vilniaus r. sav., Maišiagalos sen., Maišiagalos mstl. (toliau – Žemės sklypas), pagrindinės žemės naudojimo paskirties ir žemės naudojimo būdo keitimą. Prašymo tikslas: 0,1122 ha ploto žemės ūkio paskirties Žemės sklypo pagrindinės žemės naudojimo paskirties ir žemės naudojimo būdo keitimas į kitos – vienbučių ir dvibučių gyvenamųjų pastatų teritorijos. Su prašymu galima susipažinti nuo 2024-10-08 iki 2024-10-21 Lietuvos Respublikos teritorijų planavimo dokumentų rengimo ir teritorijų planavimo proceso valstybės priežiūros informacinėje svetainėje (TPDRIS.lt) ir Vilniaus rajono savivaldybės interneto svetainėje (vrsa.lt). Pasiūlymus dėl pagrindinės žemės naudojimo paskirties ir žemės naudojimo būdo keitimo galima teikti iki 2024-10-21 VilnIiaus rajono savivaldybės administracijai (Rinktinės g. 50, Vilnius) raštu ir Lietuvos Respublikos teritorijų planavimo dokumentų rengimo ir teritorijų planavimo proceso valstybinės priežiūros informacinėje sistemoje.

Ištrauka iš Kraštovaizdžio spec. plano

Prašymas

2024-10-08

Informuojame apie pateiktą nagrinėti prašymą dėl žemės sklypo (kad. Nr. 4117/0500:1088 ), esančio Vilniaus r. sav., Riešės sen., Didžiosios Riešės k. (toliau – Žemės sklypas), pagrindinės žemės naudojimo paskirties ir žemės naudojimo būdo keitimą. Prašymo tikslas: 0,5200 ha ploto žemės ūkio paskirties Žemės sklypo pagrindinės žemės naudojimo paskirties ir žemės naudojimo būdo keitimas į kitos – komercinės paskirties objektų teritorijos. Su prašymu galima susipažinti nuo 2024-10-08 iki 2024-10-21 Lietuvos Respublikos teritorijų planavimo dokumentų rengimo ir teritorijų planavimo proceso valstybės priežiūros informacinėje svetainėje (TPDRIS.lt) ir Vilniaus rajono savivaldybės interneto svetainėje (vrsa.lt). Pasiūlymus dėl pagrindinės žemės naudojimo paskirties ir žemės naudojimo būdo keitimo galima teikti iki 2024-10-21 VilnIiaus rajono savivaldybės administracijai (Rinktinės g. 50, Vilnius) raštu ir Lietuvos Respublikos teritorijų planavimo dokumentų rengimo ir teritorijų planavimo proceso valstybinės priežiūros informacinėje sistemoje.

Ištrauka iš Vilniaus rajono savivaldybės teritorijos dalies („U“ žemės naudojimo funkcinės zonos Avižienių, Juodšilių, Nemėžio, Pagirių, Riešės, Rudaminos ir Zujūnų seniūnijose) bendrojo plano

Prašymas

2024-10-08

Informuojame apie pateiktą nagrinėti prašymą dėl žemės sklypo (kad. Nr. 4170/1200:80 ), esančio Vilniaus r. sav., Riešės sen., Liubavo k. (toliau – Žemės sklypas), pagrindinės žemės naudojimo paskirties ir žemės naudojimo būdo keitimą. Prašymo tikslas: 0,3000 ha ploto žemės ūkio paskirties Žemės sklypo pagrindinės žemės naudojimo paskirties ir žemės naudojimo būdo keitimas į kitos – vienbučių ir dvibučių gyvenamųjų pastatų teritorijos. Su prašymu galima susipažinti nuo 2024-10-08 iki 2024-10-21 Lietuvos Respublikos teritorijų planavimo dokumentų rengimo ir teritorijų planavimo proceso valstybės priežiūros informacinėje svetainėje (TPDRIS.lt) ir Vilniaus rajono savivaldybės interneto svetainėje (vrsa.lt). Pasiūlymus dėl pagrindinės žemės naudojimo paskirties ir žemės naudojimo būdo keitimo galima teikti iki 2024-10-21 VilnIiaus rajono savivaldybės administracijai (Rinktinės g. 50, Vilnius) raštu ir Lietuvos Respublikos teritorijų planavimo dokumentų rengimo ir teritorijų planavimo proceso valstybinės priežiūros informacinėje sistemoje.

Ištrauka iš Kraštovaizdžio spec. plano

Prašymas

2024-10-08

Informuojame apie pateiktą nagrinėti prašymą dėl žemės sklypo (kad. Nr. 4117/0100:372 ), esančio Vilniaus r. sav., Riešės sen., Pamiškių k. (toliau – Žemės sklypas), pagrindinės žemės naudojimo paskirties ir žemės naudojimo būdo keitimą. Prašymo tikslas: 2,6394 ha ploto žemės ūkio paskirties Žemės sklypo pagrindinės žemės naudojimo paskirties ir žemės naudojimo būdo keitimas į kitos – vienbučių ir dvibučių gyvenamųjų pastatų teritorijos. Su prašymu galima susipažinti nuo 2024-10-04 iki 2024-10-16 Lietuvos Respublikos teritorijų planavimo dokumentų rengimo ir teritorijų planavimo proceso valstybės priežiūros informacinėje svetainėje (TPDRIS.lt) ir Vilniaus rajono savivaldybės interneto svetainėje (vrsa.lt). Pasiūlymus dėl pagrindinės žemės naudojimo paskirties ir žemės naudojimo būdo keitimo galima teikti iki 2024-10-16 VilnIiaus rajono savivaldybės administracijai (Rinktinės g. 50, Vilnius) raštu ir Lietuvos Respublikos teritorijų planavimo dokumentų rengimo ir teritorijų planavimo proceso valstybinės priežiūros informacinėje sistemoje.

Ištrauka iš Kraštovaizdžio spec. plano

Prašymas

2024-10-04

Informuojame apie pateiktą nagrinėti prašymą dėl žemės sklypo (kad. Nr. 4170/0700:19), esančio Vilniaus r. sav., Riešės sen., Varniškių k. (toliau – Žemės sklypas), pagrindinės žemės naudojimo paskirties ir žemės naudojimo būdo keitimą. Prašymo tikslas: 1,5104 ha ploto žemės ūkio paskirties Žemės sklypo pagrindinės žemės naudojimo paskirties ir žemės naudojimo būdo keitimas į kitos – komercinės paskirties objektų teritorijos. Su prašymu galima susipažinti nuo 2024-10-04 iki 2024-10-16 Lietuvos Respublikos teritorijų planavimo dokumentų rengimo ir teritorijų planavimo proceso valstybės priežiūros informacinėje svetainėje (TPDRIS.lt) ir Vilniaus rajono savivaldybės interneto svetainėje (vrsa.lt). Pasiūlymus dėl pagrindinės žemės naudojimo paskirties ir žemės naudojimo būdo keitimo galima teikti iki 2024-10-16 VilnIiaus rajono savivaldybės administracijai (Rinktinės g. 50, Vilnius) raštu ir Lietuvos Respublikos teritorijų planavimo dokumentų rengimo ir teritorijų planavimo proceso valstybinės priežiūros informacinėje sistemoje.

Ištrauka iš Kraštovaizdžio spec. plano

Prašymas

2024-10-04

Informuojame apie pateiktą nagrinėti prašymą dėl žemės sklypo (kad. Nr. 4152/0800:701), esančio Vilniaus r. sav., Mickūnų sen., Gaidūnų k. (toliau – Žemės sklypas), pagrindinės žemės naudojimo paskirties ir žemės naudojimo būdo keitimą. Prašymo tikslas: 0,2115 ha ploto žemės ūkio paskirties Žemės sklypo pagrindinės žemės naudojimo paskirties ir žemės naudojimo būdo keitimas į kitos – vienbučių ir dvibučių gyvenamųjų pastatų teritorijos. Su prašymu galima susipažinti nuo 2024-10-04 iki 2024-10-16 Lietuvos Respublikos teritorijų planavimo dokumentų rengimo ir teritorijų planavimo proceso valstybės priežiūros informacinėje svetainėje (TPDRIS.lt) ir Vilniaus rajono savivaldybės interneto svetainėje (vrsa.lt). Pasiūlymus dėl pagrindinės žemės naudojimo paskirties ir žemės naudojimo būdo keitimo galima teikti iki 2024-10-16 VilnIiaus rajono savivaldybės administracijai (Rinktinės g. 50, Vilnius) raštu ir Lietuvos Respublikos teritorijų planavimo dokumentų rengimo ir teritorijų planavimo proceso valstybinės priežiūros informacinėje sistemoje.

Ištrauka iš Kraštovaizdžio spec. plano

Prašymas

2024-10-04

Priimtas sprendimas dėl žemės sklypo (KAD. NR. 4152/0800:905), ESANČIO Vilniaus r. sav., Mickūnų sen., Mickūnų mstl., pagrindinės žemės naudojimo paskirties ir žemės naudojimo būdo keitimo.

Sprendimas

2024-10-03

Priimtas sprendimas dėl (KAD. NR. 4174/0100:2450), ESANČIO Vilniaus r. sav., Vilniaus r. sav., Avižienių sen., Žemųjų Rusokų vs., Klonių g. 2B, ŽEMĖS NAUDOJIMO BŪDO KEITIMO.

Sprendimas

2024-10-01

Informuojame apie pateiktą nagrinėti prašymą dėl žemės sklypo (kad. Nr. 4167/0200:253), esančio Vilniaus r. sav., Pagirių sen., Pagirių k. (toliau – Žemės sklypas), pagrindinės žemės naudojimo paskirties ir žemės naudojimo būdo keitimą. Prašymo tikslas: 0,2841 ha ploto žemės ūkio paskirties Žemės sklypo pagrindinės žemės naudojimo paskirties ir žemės naudojimo būdo keitimas į kitos – vienbučių ir dvibučių gyvenamųjų pastatų teritorijos. Su prašymu galima susipažinti nuo 2024-10-01 iki 2024-10-14 Lietuvos Respublikos teritorijų planavimo dokumentų rengimo ir teritorijų planavimo proceso valstybės priežiūros informacinėje svetainėje (TPDRIS.lt) ir Vilniaus rajono savivaldybės interneto svetainėje (vrsa.lt). Pasiūlymus dėl pagrindinės žemės naudojimo paskirties ir žemės naudojimo būdo keitimo galima teikti iki 2024-10-14 VilnIiaus rajono savivaldybės administracijai (Rinktinės g. 50, Vilnius) raštu ir Lietuvos Respublikos teritorijų planavimo dokumentų rengimo ir teritorijų planavimo proceso valstybinės priežiūros informacinėje sistemoje.

Ištrauka iš Vilniaus rajono savivaldybės teritorijos dalies („U“ žemės naudojimo funkcinės zonos Avižienių, Juodšilių, Nemėžio, Pagirių, Riešės, Rudaminos ir Zujūnų seniūnijose) bendrojo plano

Prašymas

2024-10-01

Informuojame apie pateiktą nagrinėti prašymą dėl žemės sklypo (kad. Nr. 4110/0100:883), esančio Vilniaus r. sav., Zujūnų sen., Čekoniškių k. (toliau – Žemės sklypas), pagrindinės žemės naudojimo paskirties ir žemės naudojimo būdo keitimą. Prašymo tikslas: 0,1890 ha ploto žemės ūkio paskirties Žemės sklypo pagrindinės žemės naudojimo paskirties ir žemės naudojimo būdo keitimas į kitos – vienbučių ir dvibučių gyvenamųjų pastatų teritorijos. Su prašymu galima susipažinti nuo 2024-10-01 iki 2024-10-14 Lietuvos Respublikos teritorijų planavimo dokumentų rengimo ir teritorijų planavimo proceso valstybės priežiūros informacinėje svetainėje (TPDRIS.lt) ir Vilniaus rajono savivaldybės interneto svetainėje (vrsa.lt). Pasiūlymus dėl pagrindinės žemės naudojimo paskirties ir žemės naudojimo būdo keitimo galima teikti iki 2024-10-14 VilnIiaus rajono savivaldybės administracijai (Rinktinės g. 50, Vilnius) raštu ir Lietuvos Respublikos teritorijų planavimo dokumentų rengimo ir teritorijų planavimo proceso valstybinės priežiūros informacinėje sistemoje.

Ištrauka iš Kraštovaizdžio spec. plano

Prašymas

2024-10-01

Informuojame apie pateiktą nagrinėti prašymą dėl žemės sklypo (kad. Nr. 4177/0400:106 ), esančio Vilniaus r. sav., Rudaminos sen., Rudaminos k. (toliau – Žemės sklypas), pagrindinės žemės naudojimo paskirties ir žemės naudojimo būdo keitimą. Prašymo tikslas: 0,5400 ha ploto žemės ūkio paskirties Žemės sklypo pagrindinės žemės naudojimo paskirties ir žemės naudojimo būdo keitimas į kitos – vienbučių ir dvibučių gyvenamųjų pastatų teritorijos. Su prašymu galima susipažinti nuo 2024-09-27 iki 2024-10-10 Lietuvos Respublikos teritorijų planavimo dokumentų rengimo ir teritorijų planavimo proceso valstybės priežiūros informacinėje svetainėje (TPDRIS.lt) ir Vilniaus rajono savivaldybės interneto svetainėje (vrsa.lt). Pasiūlymus dėl pagrindinės žemės naudojimo paskirties ir žemės naudojimo būdo keitimo galima teikti iki 2024-10-10 VilnIiaus rajono savivaldybės administracijai (Rinktinės g. 50, Vilnius) raštu ir Lietuvos Respublikos teritorijų planavimo dokumentų rengimo ir teritorijų planavimo proceso valstybinės priežiūros informacinėje sistemoje.

Ištrauka iš Kraštovaizdžio spec. plano

Prašymas

2024-09-27

Informuojame apie pateiktą nagrinėti prašymą dėl žemės sklypo (kad. Nr. 4152/1600:707), esančio Vilniaus r. sav., Mickūnų sen., Skaisterių k. (toliau – Žemės sklypas), pagrindinės žemės naudojimo paskirties ir žemės naudojimo būdo keitimą. Prašymo tikslas: 0,1700 ha ploto žemės ūkio paskirties Žemės sklypo pagrindinės žemės naudojimo paskirties ir žemės naudojimo būdo keitimas į kitos – vienbučių ir dvibučių gyvenamųjų pastatų teritorijos. Su prašymu galima susipažinti nuo 2024-09-27 iki 2024-10-10 Lietuvos Respublikos teritorijų planavimo dokumentų rengimo ir teritorijų planavimo proceso valstybės priežiūros informacinėje svetainėje (TPDRIS.lt) ir Vilniaus rajono savivaldybės interneto svetainėje (vrsa.lt). Pasiūlymus dėl pagrindinės žemės naudojimo paskirties ir žemės naudojimo būdo keitimo galima teikti iki 2024-10-10 VilnIiaus rajono savivaldybės administracijai (Rinktinės g. 50, Vilnius) raštu ir Lietuvos Respublikos teritorijų planavimo dokumentų rengimo ir teritorijų planavimo proceso valstybinės priežiūros informacinėje sistemoje.

Ištrauka iš Kraštovaizdžio spec. plano

Prašymas

2024-09-27

Informuojame apie pateiktą nagrinėti prašymą dėl žemės sklypo (kad. Nr. 4170/1000:122), esančio Vilniaus r. sav., Riešės sen., Karveliškių k. 1 (toliau – Žemės sklypas), pagrindinio žemės naudojimo būdo nustatymo. Prašymo tikslas: 0,1000 ha ploto kitos paskirties Žemės sklypo žemės naudojimo būdo nustymas. Su prašymu galima susipažinti nuo 2024-09-27 iki 2024-10-10 Lietuvos Respublikos teritorijų planavimo dokumentų rengimo ir teritorijų planavimo proceso valstybės priežiūros informacinėje svetainėje (TPDRIS.lt) ir Vilniaus rajono savivaldybės interneto svetainėje (vrsa.lt). Pasiūlymus dėl  žemės naudojimo būdo nustatymo galima teikti iki 2024-10-10 VilnIiaus rajono savivaldybės administracijai (Rinktinės g. 50, Vilnius) raštu ir Lietuvos Respublikos teritorijų planavimo dokumentų rengimo ir teritorijų planavimo proceso valstybinės priežiūros informacinėje sistemoje.

Ištrauka iš Kraštovaizdžio spec. plano

Prašymas

2024-09-27

Priimtas sprendimas dėl žemės sklypo (KAD. NR. 4137/0200:1160), ESANČIO Vilniaus r. sav., Juodšilių sen., Baraškų k., pagrindinės žemės naudojimo paskirties ir žemės naudojimo būdo keitimo.

Sprendimas

2024-09-23

Informuojame apie pateiktą nagrinėti prašymą dėl žemės sklypo (kad. Nr. 4172/0300:445), esančio Vilniaus r. sav., Nemenčinės sen., Pailgės k. (toliau – Žemės sklypas), pagrindinės žemės naudojimo paskirties ir žemės naudojimo būdo keitimą. Prašymo tikslas: 2,1000 ha ploto žemės ūkio paskirties Žemės sklypo pagrindinės žemės naudojimo paskirties ir žemės naudojimo būdo keitimas į kitos – vienbučių ir dvibučių gyvenamųjų pastatų teritorijos. Su prašymu galima susipažinti nuo 2022-09-24 iki 2022-10-08 Lietuvos Respublikos teritorijų planavimo dokumentų rengimo ir teritorijų planavimo proceso valstybės priežiūros informacinėje svetainėje (TPDRIS.lt) ir Vilniaus rajono savivaldybės interneto svetainėje (vrsa.lt). Pasiūlymus dėl pagrindinės žemės naudojimo paskirties ir žemės naudojimo būdo keitimo galima teikti iki 2022-10-08 VilnIiaus rajono savivaldybės administracijai (Rinktinės g. 50, Vilnius) raštu ir Lietuvos Respublikos teritorijų planavimo dokumentų rengimo ir teritorijų planavimo proceso valstybinės priežiūros informacinėje sistemoje.

Ištrauka iš Kraštovaizdžio spec. plano

Prašymas

2024-09-24

Informuojame apie pateiktą nagrinėti prašymą dėl žemės sklypo (kad. Nr. 4142/0400:500), esančio Vilniaus r. sav., Šatrininkų sen., Vėliučionių k., Sodininkų g. 19 (toliau – Žemės sklypas), pagrindinės žemės naudojimo paskirties ir žemės naudojimo būdo keitimą. Prašymo tikslas: 0,5000 ha ploto žemės ūkio paskirties Žemės sklypo pagrindinės žemės naudojimo paskirties ir žemės naudojimo būdo keitimas į kitos – vienbučių ir dvibučių gyvenamųjų pastatų teritorijos. Su prašymu galima susipažinti nuo 2022-09-24 iki 2022-10-08 Lietuvos Respublikos teritorijų planavimo dokumentų rengimo ir teritorijų planavimo proceso valstybės priežiūros informacinėje svetainėje (TPDRIS.lt) ir Vilniaus rajono savivaldybės interneto svetainėje (vrsa.lt). Pasiūlymus dėl pagrindinės žemės naudojimo paskirties ir žemės naudojimo būdo keitimo galima teikti iki 2022-10-08 VilnIiaus rajono savivaldybės administracijai (Rinktinės g. 50, Vilnius) raštu ir Lietuvos Respublikos teritorijų planavimo dokumentų rengimo ir teritorijų planavimo proceso valstybinės priežiūros informacinėje sistemoje.

Ištrauka iš Kraštovaizdžio spec. plano

Prašymas

2024-09-24

Informuojame apie pateiktą nagrinėti prašymą dėl žemės sklypo (kad. Nr. 4140/0400:578 ), esančio Vilniaus r. sav., Kalvelių sen., Kalvelių k., Jaunimo g. 26C (toliau – Žemės sklypas), pagrindinės žemės naudojimo paskirties ir žemės naudojimo būdo keitimą. Prašymo tikslas: 0,1043 ha ploto žemės ūkio paskirties Žemės sklypo pagrindinės žemės naudojimo paskirties ir žemės naudojimo būdo keitimas į kitos – vienbučių ir dvibučių gyvenamųjų pastatų teritorijos. Su prašymu galima susipažinti nuo 2022-09-24 iki 2022-10-08 Lietuvos Respublikos teritorijų planavimo dokumentų rengimo ir teritorijų planavimo proceso valstybės priežiūros informacinėje svetainėje (TPDRIS.lt) ir Vilniaus rajono savivaldybės interneto svetainėje (vrsa.lt). Pasiūlymus dėl pagrindinės žemės naudojimo paskirties ir žemės naudojimo būdo keitimo galima teikti iki 2022-10-08 VilnIiaus rajono savivaldybės administracijai (Rinktinės g. 50, Vilnius) raštu ir Lietuvos Respublikos teritorijų planavimo dokumentų rengimo ir teritorijų planavimo proceso valstybinės priežiūros informacinėje sistemoje.

Ištrauka iš Kraštovaizdžio spec. plano

Prašymas

2024-09-24

Informuojame apie pateiktą nagrinėti prašymą dėl žemės sklypo (kad. Nr. 4154/2000:951), esančio Vilniaus r. sav., Marijampolio sen., Marijampolio k., Dvaro g. 38A (toliau – Žemės sklypas), pagrindinės žemės naudojimo paskirties ir žemės naudojimo būdo keitimą. Prašymo tikslas: 0,2864 ha ploto žemės ūkio paskirties Žemės sklypo pagrindinės žemės naudojimo paskirties ir žemės naudojimo būdo keitimas į kitos – vienbučių ir dvibučių gyvenamųjų pastatų teritorijos. Su prašymu galima susipažinti nuo 2022-09-24 iki 2022-10-08 Lietuvos Respublikos teritorijų planavimo dokumentų rengimo ir teritorijų planavimo proceso valstybės priežiūros informacinėje svetainėje (TPDRIS.lt) ir Vilniaus rajono savivaldybės interneto svetainėje (vrsa.lt). Pasiūlymus dėl pagrindinės žemės naudojimo paskirties ir žemės naudojimo būdo keitimo galima teikti iki 2022-10-08 VilnIiaus rajono savivaldybės administracijai (Rinktinės g. 50, Vilnius) raštu ir Lietuvos Respublikos teritorijų planavimo dokumentų rengimo ir teritorijų planavimo proceso valstybinės priežiūros informacinėje sistemoje.

Ištrauka iš Kraštovaizdžio spec. plano

Prašymas

2024-09-24

Informuojame apie pateiktą nagrinėti prašymą dėl žemės sklypo (kad. Nr. 4147/0100:359), esančio Vilniaus r. sav., Maišiagalos sen., Maišiagalos mstl. (toliau – Žemės sklypas), pagrindinės žemės naudojimo paskirties ir žemės naudojimo būdo keitimą. Prašymo tikslas: 2,0910 ha ploto žemės ūkio paskirties Žemės sklypo pagrindinės žemės naudojimo paskirties ir žemės naudojimo būdo keitimas į kitos paskirties žemę - bendro naudojimo (miestų, miestelių ir kaimų ar savivaldybių bendro naudojimo) teritorijos. Su prašymu galima susipažinti nuo 2022-09-19 iki 2022-10-02 Lietuvos Respublikos teritorijų planavimo dokumentų rengimo ir teritorijų planavimo proceso valstybės priežiūros informacinėje svetainėje (TPDRIS.lt) ir Vilniaus rajono savivaldybės interneto svetainėje (vrsa.lt). Pasiūlymus dėl pagrindinės žemės naudojimo paskirties ir žemės naudojimo būdo keitimo galima teikti iki 2022-10-02 VilnIiaus rajono savivaldybės administracijai (Rinktinės g. 50, Vilnius) raštu ir Lietuvos Respublikos teritorijų planavimo dokumentų rengimo ir teritorijų planavimo proceso valstybinės priežiūros informacinėje sistemoje.

Ištrauka iš Kraštovaizdžio spec. plano

Prašymas

2024-09-19

Informuojame apie pateiktą nagrinėti prašymą dėl žemės sklypo (kad. Nr.4117/0100:1179), esančio Vilniaus r. sav., Riešės sen., Pamiškių k. (toliau – Žemės sklypas) pagrindinės žemės naudojimo paskirties ir žemės naudojimo būdo keitimą. Prašymo tikslas: 0,2183 ha ploto žemės ūkio paskirties Žemės sklypo pagrindinės žemės naudojimo paskirties ir žemės naudojimo būdo keitimas į kitos – vienbučių ir dvibučių gyvenamųjų pastatų teritorijos. Su prašymu galima susipažinti nuo 2024-09-19 iki 2024-10-02 Lietuvos Respublikos teritorijų planavimo dokumentų rengimo ir teritorijų planavimo proceso valstybės priežiūros informacinėje svetainėje (TPDRIS.lt) ir Vilniaus rajono savivaldybės interneto svetainėje (vrsa.lt). Pasiūlymus dėl pagrindinės žemės naudojimo paskirties ir žemės naudojimo būdo keitimo galima teikti iki 2024-10-02 Vilniaus rajono savivaldybės administracijai (Rinktinės g. 50, Vilnius) raštu ir Lietuvos Respublikos teritorijų planavimo dokumentų rengimo ir teritorijų planavimo proceso valstybinės priežiūros informacinėje sistemoje.

Ištrauka iš Kraštovaizdžio spec. plano

Prašymas

2024-09-19

Priimtas sprendimas dėl žemės sklypo (KAD. NR. 4130/0100:414), esančio VILNIAUS R. SAV., DŪKŠTŲ SEN., ROKIŠKIŲ K., pagrindinės žemės naudojimo paskirties ir žemės naudojimo būdo keitimo.

Sprendimas

2024-09-18

Informuojame apie pateiktą nagrinėti prašymą dėl žemės sklypo (kad. Nr.4154/2600:122), esančio Vilniaus r. sav., Marijampolio sen., Parudaminio k., Mlodianovskių g. 13 (toliau – Žemės sklypas) pagrindinės žemės naudojimo paskirties ir žemės naudojimo būdo keitimą. Prašymo tikslas: 2.9922 ha ploto žemės ūkio paskirties Žemės sklypo pagrindinės žemės naudojimo paskirties ir žemės naudojimo būdo keitimas į kitos – vienbučių ir dvibučių gyvenamųjų pastatų teritorijos. Su prašymu galima susipažinti nuo 2024-09-18 iki 2024-10-01 Lietuvos Respublikos teritorijų planavimo dokumentų rengimo ir teritorijų planavimo proceso valstybės priežiūros informacinėje svetainėje (TPDRIS.lt) ir Vilniaus rajono savivaldybės interneto svetainėje (vrsa.lt). Pasiūlymus dėl pagrindinės žemės naudojimo paskirties ir žemės naudojimo būdo keitimo galima teikti iki 2024-10-01 Vilniaus rajono savivaldybės administracijai (Rinktinės g. 50, Vilnius) raštu ir Lietuvos Respublikos teritorijų planavimo dokumentų rengimo ir teritorijų planavimo proceso valstybinės priežiūros informacinėje sistemoje.

Ištrauka iš Kraštovaizdžio spec. plano

Prašymas

2024-09-18

Informuojame apie pateiktą nagrinėti prašymą dėl žemės sklypo (kad. Nr.4110/0800:4366), esančio Vilniaus r. sav., Zujūnų sen., Pašilaičių k. (toliau – Žemės sklypas) pagrindinės žemės naudojimo paskirties ir žemės naudojimo būdo keitimą. Prašymo tikslas: 0.1879 ha ploto žemės ūkio paskirties Žemės sklypo pagrindinės žemės naudojimo paskirties ir žemės naudojimo būdo keitimas į kitos – vienbučių ir dvibučių gyvenamųjų pastatų teritorijos. Su prašymu galima susipažinti nuo 2024-09-18 iki 2024-10-01 Lietuvos Respublikos teritorijų planavimo dokumentų rengimo ir teritorijų planavimo proceso valstybės priežiūros informacinėje svetainėje (TPDRIS.lt) ir Vilniaus rajono savivaldybės interneto svetainėje (vrsa.lt). Pasiūlymus dėl pagrindinės žemės naudojimo paskirties ir žemės naudojimo būdo keitimo galima teikti iki 2024-10-01 Vilniaus rajono savivaldybės administracijai (Rinktinės g. 50, Vilnius) raštu ir Lietuvos Respublikos teritorijų planavimo dokumentų rengimo ir teritorijų planavimo proceso valstybinės priežiūros informacinėje sistemoje.

Ištrauka iš Vilniaus rajono savivaldybės teritorijos dalies („U“ žemės naudojimo funkcinės zonos Avižienių, Juodšilių, Nemėžio, Pagirių, Riešės, Rudaminos ir Zujūnų seniūnijose) bendrojo plano 

Prašymas

2024-09-18

Informuojame apie pateiktą nagrinėti prašymą dėl žemės sklypo (kad. Nr.4152/0800:905, esančio Vilniaus r. sav., Mickūnų sen., Mickūnų mstl. (toliau – Žemės sklypas) pagrindinės žemės naudojimo paskirties ir žemės naudojimo būdo keitimą. Prašymo tikslas: 0.2245 ha ploto žemės ūkio paskirties Žemės sklypo pagrindinės žemės naudojimo paskirties ir žemės naudojimo būdo keitimas į kitos – vienbučių ir dvibučių gyvenamųjų pastatų teritorijos. Su prašymu galima susipažinti nuo 2024-09-18 iki 2024-10-01 Lietuvos Respublikos teritorijų planavimo dokumentų rengimo ir teritorijų planavimo proceso valstybės priežiūros informacinėje svetainėje (TPDRIS.lt) ir Vilniaus rajono savivaldybės interneto svetainėje (vrsa.lt). Pasiūlymus dėl pagrindinės žemės naudojimo paskirties ir žemės naudojimo būdo keitimo galima teikti iki 2024-10-01 Vilniaus rajono savivaldybės administracijai (Rinktinės g. 50, Vilnius) raštu ir Lietuvos Respublikos teritorijų planavimo dokumentų rengimo ir teritorijų planavimo proceso valstybinės priežiūros informacinėje sistemoje.

Ištrauka iš Kraštovaizdžio spec. plano

Prašymas

2024-09-18

Informuojame apie pateiktą nagrinėti prašymą dėl žemės sklypo (kad. Nr.4152/0200:648), esančio Vilniaus r. sav., Mickūnų sen., Gailiūnų k. (toliau – Žemės sklypas) pagrindinės žemės naudojimo paskirties ir žemės naudojimo būdo keitimą. Prašymo tikslas: 0.2000 ha ploto žemės ūkio paskirties Žemės sklypo pagrindinės žemės naudojimo paskirties ir žemės naudojimo būdo keitimas į kitos – vienbučių ir dvibučių gyvenamųjų pastatų teritorijos. Su prašymu galima susipažinti nuo 2024-09-12 iki 2024-09-25 Lietuvos Respublikos teritorijų planavimo dokumentų rengimo ir teritorijų planavimo proceso valstybės priežiūros informacinėje svetainėje (TPDRIS.lt) ir Vilniaus rajono savivaldybės interneto svetainėje (vrsa.lt). Pasiūlymus dėl pagrindinės žemės naudojimo paskirties ir žemės naudojimo būdo keitimo galima teikti iki 2024-09-25 Vilniaus rajono savivaldybės administracijai (Rinktinės g. 50, Vilnius) raštu ir Lietuvos Respublikos teritorijų planavimo dokumentų rengimo ir teritorijų planavimo proceso valstybinės priežiūros informacinėje sistemoje.

Ištrauka iš Kraštovaizdžio spec. plano

Prašymas

2024-09-12

Informuojame apie pateiktą nagrinėti prašymą dėl žemės sklypo (kad. Nr.4162/0200:1949), esančio Vilniaus r. sav., Nemėžio sen., Didžiasalio k., Kolektyvo g. 65 (toliau – Žemės sklypas) pagrindinės žemės naudojimo paskirties ir žemės naudojimo būdo keitimą. Prašymo tikslas: 0.8704 ha ploto žemės ūkio paskirties Žemės sklypo pagrindinės žemės naudojimo paskirties ir žemės naudojimo būdo keitimas į kitos – vienbučių ir dvibučių gyvenamųjų pastatų teritorijos. Su prašymu galima susipažinti nuo 2024-09-12 iki 2024-09-25 Lietuvos Respublikos teritorijų planavimo dokumentų rengimo ir teritorijų planavimo proceso valstybės priežiūros informacinėje svetainėje (TPDRIS.lt) ir Vilniaus rajono savivaldybės interneto svetainėje (vrsa.lt). Pasiūlymus dėl pagrindinės žemės naudojimo paskirties ir žemės naudojimo būdo keitimo galima teikti iki 2024-09-25 Vilniaus rajono savivaldybės administracijai (Rinktinės g. 50, Vilnius) raštu ir Lietuvos Respublikos teritorijų planavimo dokumentų rengimo ir teritorijų planavimo proceso valstybinės priežiūros informacinėje sistemoje.

Ištrauka iš Vilniaus rajono savivaldybės teritorijos dalies („U“ žemės naudojimo funkcinės zonos Avižienių, Juodšilių, Nemėžio, Pagirių, Riešės, Rudaminos ir Zujūnų seniūnijose) bendrojo plano 

Prašymas

2024-09-12

Informuojame apie pateiktą nagrinėti prašymą dėl žemės sklypo (kad. Nr.4134/0100:95), esančio Vilniaus r. sav., Paberžės sen., Glitiškių k. (toliau – Žemės sklypas) pagrindinės žemės naudojimo paskirties ir žemės naudojimo būdo keitimą. Prašymo tikslas: 0.1267 ha ploto žemės ūkio paskirties Žemės sklypo pagrindinės žemės naudojimo paskirties ir žemės naudojimo būdo keitimas į kitos – vienbučių ir dvibučių gyvenamųjų pastatų teritorijos. Su prašymu galima susipažinti nuo 2024-09-12 iki 2024-09-25 Lietuvos Respublikos teritorijų planavimo dokumentų rengimo ir teritorijų planavimo proceso valstybės priežiūros informacinėje svetainėje (TPDRIS.lt) ir Vilniaus rajono savivaldybės interneto svetainėje (vrsa.lt). Pasiūlymus dėl pagrindinės žemės naudojimo paskirties ir žemės naudojimo būdo keitimo galima teikti iki 2024-09-25 Vilniaus rajono savivaldybės administracijai (Rinktinės g. 50, Vilnius) raštu ir Lietuvos Respublikos teritorijų planavimo dokumentų rengimo ir teritorijų planavimo proceso valstybinės priežiūros informacinėje sistemoje.

Ištrauka iš Kraštovaizdžio spec. plano

Prašymas

2024-09-12

Informuojame apie pateiktą nagrinėti prašymą dėl žemės sklypo (kad. Nr.4162/0300:305), esančio Vilniaus r. sav., Nemėžio sen., Skaidiškių k. (toliau – Žemės sklypas) pagrindinės žemės naudojimo paskirties ir žemės naudojimo būdo keitimą. Prašymo tikslas: 0.2500 ha ploto žemės ūkio paskirties Žemės sklypo pagrindinės žemės naudojimo paskirties ir žemės naudojimo būdo keitimas į kitos – vienbučių ir dvibučių gyvenamųjų pastatų teritorijos. Su prašymu galima susipažinti nuo 2024-09-12 iki 2024-09-25 Lietuvos Respublikos teritorijų planavimo dokumentų rengimo ir teritorijų planavimo proceso valstybės priežiūros informacinėje svetainėje (TPDRIS.lt) ir Vilniaus rajono savivaldybės interneto svetainėje (vrsa.lt). Pasiūlymus dėl pagrindinės žemės naudojimo paskirties ir žemės naudojimo būdo keitimo galima teikti iki 2024-09-25 Vilniaus rajono savivaldybės administracijai (Rinktinės g. 50, Vilnius) raštu ir Lietuvos Respublikos teritorijų planavimo dokumentų rengimo ir teritorijų planavimo proceso valstybinės priežiūros informacinėje sistemoje.

Ištrauka iš Vilniaus rajono savivaldybės teritorijos dalies („U“ žemės naudojimo funkcinės zonos Avižienių, Juodšilių, Nemėžio, Pagirių, Riešės, Rudaminos ir Zujūnų seniūnijose) bendrojo plano 

Prašymas

2024-09-12

Priimtas sprendimas dėl žemės sklypo (kad. Nr. 4137/0200:1285), esančio Vilniaus r. sav., Juodšilių sen., Juodšilių k., pagrindinės žemės naudojimo paskirties ir žemės naudojimo būdo keitimo.

Sprendimas

2024-09-03

Priimtas sprendimas dėl žemės sklypo (kad. Nr. 4117/0400:338), esančio Vilniaus r. sav., Riešės sen., Jadvygiškių k., pagrindinės žemės naudojimo paskirties ir žemės naudojimo būdo keitimo.

Sprendimas

2024-09-03

Priimtas sprendimas dėl žemės sklypo (kad. Nr. 4110/0300:1344), esančio Vilniaus r. sav., Zujūnų sen., Medžiakalnio k., pagrindinės žemės naudojimo paskirties ir žemės naudojimo būdo keitimo.

Sprendimas

2024-09-03

Priimtas sprendimas dėl žemės sklypo (kad. Nr. 4117/0700:206), esančio Vilniaus r. sav., Riešės sen., Didžiosios Riešės k., pagrindinės žemės naudojimo paskirties ir žemės naudojimo būdo keitimo.

Sprendimas

2024-08-26

Priimtas sprendimas dėl žemės sklypo (kad. Nr. 4107/0400:60), esančio Vilniaus r. sav., Bezdonių sen., Bezdonių k., Pušų g. 4, pagrindinės žemės naudojimo paskirties ir žemės naudojimo būdo keitimo.

Sprendimas

2024-08-26

Informuojame apie pateiktą nagrinėti prašymą dėl žemės sklypo (kad. Nr.4174/0100:2450), esančio Vilniaus r. sav., Avižienių sen., Žemųjų Rusokų vs., Klonių g. 2B, (toliau – Žemės sklypas)  naudojimo būdo keitimo. Prašymo tikslas: 0,1551 ha ploto vienbučių ir dvibučių gyvenamųjų pastatų teritorijos žemės naudojimo būdo keitimas į kitos – komercinė paskirties teritorijos. Su prašymu galima susipažinti nuo 2024-09-06 iki 2024-09-19 Lietuvos Respublikos teritorijų planavimo dokumentų rengimo ir teritorijų planavimo proceso valstybės priežiūros informacinėje svetainėje (TPDRIS.lt) ir Vilniaus rajono savivaldybės interneto svetainėje (vrsa.lt). Pasiūlymus dėl pagrindinės žemės naudojimo paskirties ir žemės naudojimo būdo keitimo galima teikti iki 2024-09-19 Vilniaus rajono savivaldybės administracijai (Rinktinės g. 50, Vilnius) raštu ir Lietuvos Respublikos teritorijų planavimo dokumentų rengimo ir teritorijų planavimo proceso valstybinės priežiūros informacinėje sistemoje.

Ištrauka iš Vilniaus rajono savivaldybės teritorijos dalies („U“ žemės naudojimo funkcinės zonos Avižienių, Juodšilių, Nemėžio, Pagirių, Riešės, Rudaminos ir Zujūnų seniūnijose) bendrojo plano

Prašymas

2024-09-06

Informuojame apie pateiktą nagrinėti prašymą dėl žemės sklypo (kad. Nr.4174/0100:2451), esančio Vilniaus r. sav., Avižienių sen., Žemųjų Rusokų vs., Klonių g. 2A, (toliau – Žemės sklypas)  naudojimo būdo keitimo. Prašymo tikslas: 0,1512 ha ploto vienbučių ir dvibučių gyvenamųjų pastatų teritorijos žemės naudojimo būdo keitimas į kitos – komercinė paskirties teritorijos. Su prašymu galima susipažinti nuo 2024-09-06 iki 2024-09-19 Lietuvos Respublikos teritorijų planavimo dokumentų rengimo ir teritorijų planavimo proceso valstybės priežiūros informacinėje svetainėje (TPDRIS.lt) ir Vilniaus rajono savivaldybės interneto svetainėje (vrsa.lt). Pasiūlymus dėl pagrindinės žemės naudojimo paskirties ir žemės naudojimo būdo keitimo galima teikti iki 2024-09-19 Vilniaus rajono savivaldybės administracijai (Rinktinės g. 50, Vilnius) raštu ir Lietuvos Respublikos teritorijų planavimo dokumentų rengimo ir teritorijų planavimo proceso valstybinės priežiūros informacinėje sistemoje.

Ištrauka iš Vilniaus rajono savivaldybės teritorijos dalies („U“ žemės naudojimo funkcinės zonos Avižienių, Juodšilių, Nemėžio, Pagirių, Riešės, Rudaminos ir Zujūnų seniūnijose) bendrojo plano

Prašymas

2024-09-06

Informuojame apie pateiktą nagrinėti prašymą dėl žemės sklypo (kad. Nr.: 4167/0500:152 ), esančio Vilniaus r. sav., Pagirių sen., Papiškių k. (toliau – Žemės sklypas) pagrindinės žemės naudojimo paskirties ir žemės naudojimo būdo keitimą. Prašymo tikslas: 0,2051ha ploto žemės ūkio paskirties Žemės sklypo pagrindinės žemės naudojimo paskirties ir žemės naudojimo būdo keitimas į kitos – vienbučių ir dvibučių gyvenamųjų pastatų teritorijos. Su prašymu galima susipažinti nuo 2024-09-06 iki 2024-09-19 Lietuvos Respublikos teritorijų planavimo dokumentų rengimo ir teritorijų planavimo proceso valstybės priežiūros informacinėje svetainėje (TPDRIS.lt) ir Vilniaus rajono savivaldybės interneto svetainėje (vrsa.lt). Pasiūlymus dėl pagrindinės žemės naudojimo paskirties ir žemės naudojimo būdo keitimo galima teikti iki 2024-09-19 Vilniaus rajono savivaldybės administracijai (Rinktinės g. 50, Vilnius) raštu ir Lietuvos Respublikos teritorijų planavimo dokumentų rengimo ir teritorijų planavimo proceso valstybinės priežiūros informacinėje sistemoje.

Ištrauka iš Kraštovaizdžio spec. plano

Prašymas

2024-09-06

Informuojame apie pateiktą nagrinėti prašymą dėl žemės sklypo (kad. Nr.: 4187/0100:554 ), esančio Vilniaus r. sav., Sužionių sen., Sužionių k. (toliau – Žemės sklypas) pagrindinės žemės naudojimo paskirties ir žemės naudojimo būdo keitimą. Prašymo tikslas: 0,2200ha ploto žemės ūkio paskirties Žemės sklypo pagrindinės žemės naudojimo paskirties ir žemės naudojimo būdo keitimas į kitos – vienbučių ir dvibučių gyvenamųjų pastatų teritorijos. Su prašymu galima susipažinti nuo 2024-09-05 iki 2024-09-18 Lietuvos Respublikos teritorijų planavimo dokumentų rengimo ir teritorijų planavimo proceso valstybės priežiūros informacinėje svetainėje (TPDRIS.lt) ir Vilniaus rajono savivaldybės interneto svetainėje (vrsa.lt). Pasiūlymus dėl pagrindinės žemės naudojimo paskirties ir žemės naudojimo būdo keitimo galima teikti iki 2024-09-18 Vilniaus rajono savivaldybės administracijai (Rinktinės g. 50, Vilnius) raštu ir Lietuvos Respublikos teritorijų planavimo dokumentų rengimo ir teritorijų planavimo proceso valstybinės priežiūros informacinėje sistemoje.

Ištrauka iš Kraštovaizdžio spec. plano

Prašymas

2024-09-05

Informuojame apie pateiktą nagrinėti prašymą dėl žemės sklypo (kad. Nr.: 4184/0400:252), esančio Vilniaus r. sav., Sudervės sen., Izabelinės k. (toliau – Žemės sklypas) pagrindinės žemės naudojimo paskirties ir žemės naudojimo būdo keitimą. Prašymo tikslas: 0,4400ha ploto žemės ūkio paskirties Žemės sklypo pagrindinės žemės naudojimo paskirties ir žemės naudojimo būdo keitimas į kitos – vienbučių ir dvibučių gyvenamųjų pastatų teritorijos. Su prašymu galima susipažinti nuo 2024-09-05 iki 2024-09-18 Lietuvos Respublikos teritorijų planavimo dokumentų rengimo ir teritorijų planavimo proceso valstybės priežiūros informacinėje svetainėje (TPDRIS.lt) ir Vilniaus rajono savivaldybės interneto svetainėje (vrsa.lt). Pasiūlymus dėl pagrindinės žemės naudojimo paskirties ir žemės naudojimo būdo keitimo galima teikti iki 2024-09-18 Vilniaus rajono savivaldybės administracijai (Rinktinės g. 50, Vilnius) raštu ir Lietuvos Respublikos teritorijų planavimo dokumentų rengimo ir teritorijų planavimo proceso valstybinės priežiūros informacinėje sistemoje.

Ištrauka iš Kraštovaizdžio spec. plano

Prašymas

2024-09-05

Informuojame apie pateiktą nagrinėti prašymą dėl žemės sklypo (kad. Nr.: 4110/0200:486), esančio Vilniaus r. sav., Zujūnų sen., Pūstalaukio k. (toliau – Žemės sklypas) pagrindinės žemės naudojimo paskirties ir žemės naudojimo būdo keitimą. Prašymo tikslas: 0,4942 ha ploto žemės ūkio paskirties Žemės sklypo pagrindinės žemės naudojimo paskirties ir žemės naudojimo būdo keitimas į kitos – vienbučių ir dvibučių gyvenamųjų pastatų teritorijos. Su prašymu galima susipažinti nuo 2024-09-05 iki 2024-09-18 Lietuvos Respublikos teritorijų planavimo dokumentų rengimo ir teritorijų planavimo proceso valstybės priežiūros informacinėje svetainėje (TPDRIS.lt) ir Vilniaus rajono savivaldybės interneto svetainėje (vrsa.lt). Pasiūlymus dėl pagrindinės žemės naudojimo paskirties ir žemės naudojimo būdo keitimo galima teikti iki 2024-09-18 Vilniaus rajono savivaldybės administracijai (Rinktinės g. 50, Vilnius) raštu ir Lietuvos Respublikos teritorijų planavimo dokumentų rengimo ir teritorijų planavimo proceso valstybinės priežiūros informacinėje sistemoje.

Ištrauka iš Kraštovaizdžio spec. plano

Prašymas

2024-09-05

Informuojame apie pateiktą nagrinėti prašymą dėl žemės sklypo (kad. Nr.4110/0700:4918), esančio Vilniaus r. sav., Zujūnų sen., Geležių k. (toliau – Žemės sklypas) pagrindinės žemės naudojimo paskirties ir žemės naudojimo būdo keitimą. Prašymo tikslas: 0.3700 ha ploto žemės ūkio paskirties Žemės sklypo pagrindinės žemės naudojimo paskirties ir žemės naudojimo būdo keitimas į kitos – vienbučių ir dvibučių gyvenamųjų pastatų teritorijos. Su prašymu galima susipažinti nuo 2024-08-29 iki 2024-09-11 Lietuvos Respublikos teritorijų planavimo dokumentų rengimo ir teritorijų planavimo proceso valstybės priežiūros informacinėje svetainėje (TPDRIS.lt) ir Vilniaus rajono savivaldybės interneto svetainėje (vrsa.lt). Pasiūlymus dėl pagrindinės žemės naudojimo paskirties ir žemės naudojimo būdo keitimo galima teikti iki 2024-09-11 Vilniaus rajono savivaldybės administracijai (Rinktinės g. 50, Vilnius) raštu ir Lietuvos Respublikos teritorijų planavimo dokumentų rengimo ir teritorijų planavimo proceso valstybinės priežiūros informacinėje sistemoje.

Ištrauka iš Vilniaus rajono savivaldybės teritorijos dalies („U“ žemės naudojimo funkcinės zonos Avižienių, Juodšilių, Nemėžio, Pagirių, Riešės, Rudaminos ir Zujūnų seniūnijose) bendrojo plano 

Prašymas

2024-08-29

Informuojame apie pateiktą nagrinėti prašymą dėl žemės sklypo (kad. Nr.4122/0100:167), esančio Vilniaus r. sav., Pagirių sen., Juodbalių k. (toliau – Žemės sklypas) pagrindinės žemės naudojimo paskirties ir žemės naudojimo būdo keitimą. Prašymo tikslas: 6.2876 ha ploto žemės ūkio paskirties Žemės sklypo pagrindinės žemės naudojimo paskirties ir žemės naudojimo būdo keitimas į kitos – vienbučių ir dvibučių gyvenamųjų pastatų teritorijos. Su prašymu galima susipažinti nuo 2024-08-29 iki 2024-09-11 Lietuvos Respublikos teritorijų planavimo dokumentų rengimo ir teritorijų planavimo proceso valstybės priežiūros informacinėje svetainėje (TPDRIS.lt) ir Vilniaus rajono savivaldybės interneto svetainėje (vrsa.lt). Pasiūlymus dėl pagrindinės žemės naudojimo paskirties ir žemės naudojimo būdo keitimo galima teikti iki 2024-09-11 Vilniaus rajono savivaldybės administracijai (Rinktinės g. 50, Vilnius) raštu ir Lietuvos Respublikos teritorijų planavimo dokumentų rengimo ir teritorijų planavimo proceso valstybinės priežiūros informacinėje sistemoje.

Ištrauka iš Kraštovaizdžio spec. plano

Prašymas

2024-08-29

Informuojame apie pateiktą nagrinėti prašymą dėl žemės sklypo (kad. Nr.4110/0700:4918), esančio Vilniaus r. sav., Zujūnų sen., Geležių k. (toliau – Žemės sklypas) pagrindinės žemės naudojimo paskirties ir žemės naudojimo būdo keitimą. Prašymo tikslas: 0.3700 ha ploto žemės ūkio paskirties Žemės sklypo pagrindinės žemės naudojimo paskirties ir žemės naudojimo būdo keitimas į kitos – vienbučių ir dvibučių gyvenamųjų pastatų teritorijos. Su prašymu galima susipažinti nuo 2024-08-29 iki 2024-09-11 Lietuvos Respublikos teritorijų planavimo dokumentų rengimo ir teritorijų planavimo proceso valstybės priežiūros informacinėje svetainėje (TPDRIS.lt) ir Vilniaus rajono savivaldybės interneto svetainėje (vrsa.lt). Pasiūlymus dėl pagrindinės žemės naudojimo paskirties ir žemės naudojimo būdo keitimo galima teikti iki 2024-09-11 Vilniaus rajono savivaldybės administracijai (Rinktinės g. 50, Vilnius) raštu ir Lietuvos Respublikos teritorijų planavimo dokumentų rengimo ir teritorijų planavimo proceso valstybinės priežiūros informacinėje sistemoje.

Ištrauka iš Vilniaus rajono savivaldybės teritorijos dalies („U“ žemės naudojimo funkcinės zonos Avižienių, Juodšilių, Nemėžio, Pagirių, Riešės, Rudaminos ir Zujūnų seniūnijose) bendrojo plano 

Prašymas

2024-08-29

Informuojame apie pateiktą nagrinėti prašymą dėl žemės sklypo (kad. Nr.4110/0700:729), esančio Vilniaus r. sav., Zujūnų sen., Balandiškių k. (toliau – Žemės sklypas) pagrindinės žemės naudojimo paskirties ir žemės naudojimo būdo keitimą. Prašymo tikslas: 0.1300 ha ploto žemės ūkio paskirties Žemės sklypo pagrindinės žemės naudojimo paskirties ir žemės naudojimo būdo keitimas į kitos – vienbučių ir dvibučių gyvenamųjų pastatų teritorijos. Su prašymu galima susipažinti nuo 2024-08-29 iki 2024-09-11 Lietuvos Respublikos teritorijų planavimo dokumentų rengimo ir teritorijų planavimo proceso valstybės priežiūros informacinėje svetainėje (TPDRIS.lt) ir Vilniaus rajono savivaldybės interneto svetainėje (vrsa.lt). Pasiūlymus dėl pagrindinės žemės naudojimo paskirties ir žemės naudojimo būdo keitimo galima teikti iki 2024-09-11 Vilniaus rajono savivaldybės administracijai (Rinktinės g. 50, Vilnius) raštu ir Lietuvos Respublikos teritorijų planavimo dokumentų rengimo ir teritorijų planavimo proceso valstybinės priežiūros informacinėje sistemoje.

Ištrauka iš Vilniaus rajono savivaldybės teritorijos dalies („U“ žemės naudojimo funkcinės zonos Avižienių, Juodšilių, Nemėžio, Pagirių, Riešės, Rudaminos ir Zujūnų seniūnijose) bendrojo plano 

Prašymas

2024-08-29

Informuojame apie pateiktą nagrinėti prašymą dėl žemės sklypo (kad. Nr.4110/0600:682), esančio Vilniaus r. sav., Zujūnų sen., Salotės k. (toliau – Žemės sklypas) pagrindinės žemės naudojimo paskirties ir žemės naudojimo būdo keitimą. Prašymo tikslas: 0.1780 ha ploto žemės ūkio paskirties Žemės sklypo pagrindinės žemės naudojimo paskirties ir žemės naudojimo būdo keitimas į kitos – vienbučių ir dvibučių gyvenamųjų pastatų teritorijos. Su prašymu galima susipažinti nuo 2024-08-22 iki 2024-09-05 Lietuvos Respublikos teritorijų planavimo dokumentų rengimo ir teritorijų planavimo proceso valstybės priežiūros informacinėje svetainėje (TPDRIS.lt) ir Vilniaus rajono savivaldybės interneto svetainėje (vrsa.lt). Pasiūlymus dėl pagrindinės žemės naudojimo paskirties ir žemės naudojimo būdo keitimo galima teikti iki 2024-09-05 Vilniaus rajono savivaldybės administracijai (Rinktinės g. 50, Vilnius) raštu ir Lietuvos Respublikos teritorijų planavimo dokumentų rengimo ir teritorijų planavimo proceso valstybinės priežiūros informacinėje sistemoje.

Ištrauka iš Kraštovaizdžio spec. plano

Prašymas

2024-08-23

Informuojame apie pateiktą nagrinėti prašymą dėl žemės sklypo (kad. Nr.4107/0300:175), esančio Vilniaus r. sav., Bezdonių sen., Vilkiškių k. (toliau – Žemės sklypas) pagrindinės žemės naudojimo paskirties ir žemės naudojimo būdo keitimą. Prašymo tikslas: 0.2700 ha ploto žemės ūkio paskirties Žemės sklypo pagrindinės žemės naudojimo paskirties ir žemės naudojimo būdo keitimas į kitos – vienbučių ir dvibučių gyvenamųjų pastatų teritorijos. Su prašymu galima susipažinti nuo 2024-08-22 iki 2024-09-05 Lietuvos Respublikos teritorijų planavimo dokumentų rengimo ir teritorijų planavimo proceso valstybės priežiūros informacinėje svetainėje (TPDRIS.lt) ir Vilniaus rajono savivaldybės interneto svetainėje (vrsa.lt). Pasiūlymus dėl pagrindinės žemės naudojimo paskirties ir žemės naudojimo būdo keitimo galima teikti iki 2024-09-05 Vilniaus rajono savivaldybės administracijai (Rinktinės g. 50, Vilnius) raštu ir Lietuvos Respublikos teritorijų planavimo dokumentų rengimo ir teritorijų planavimo proceso valstybinės priežiūros informacinėje sistemoje.

Ištrauka iš Kraštovaizdžio spec. plano

Prašymas

2024-08-23

Informuojame apie pateiktą nagrinėti prašymą dėl žemės sklypo (kad. Nr.4134/0100:411), esančio Vilniaus r. sav., Paberžės sen., Glitiškių k. (toliau – Žemės sklypas) pagrindinės žemės naudojimo paskirties ir žemės naudojimo būdo keitimą. Prašymo tikslas: 0.2415 ha ploto žemės ūkio paskirties Žemės sklypo pagrindinės žemės naudojimo paskirties ir žemės naudojimo būdo keitimas į kitos – vienbučių ir dvibučių gyvenamųjų pastatų teritorijos. Su prašymu galima susipažinti nuo 2024-08-22 iki 2024-09-05 Lietuvos Respublikos teritorijų planavimo dokumentų rengimo ir teritorijų planavimo proceso valstybės priežiūros informacinėje svetainėje (TPDRIS.lt) ir Vilniaus rajono savivaldybės interneto svetainėje (vrsa.lt). Pasiūlymus dėl pagrindinės žemės naudojimo paskirties ir žemės naudojimo būdo keitimo galima teikti iki 2024-09-05 Vilniaus rajono savivaldybės administracijai (Rinktinės g. 50, Vilnius) raštu ir Lietuvos Respublikos teritorijų planavimo dokumentų rengimo ir teritorijų planavimo proceso valstybinės priežiūros informacinėje sistemoje.

Ištrauka iš Kraštovaizdžio spec. plano

Prašymas

2024-08-23

Informuojame apie pateiktą nagrinėti prašymą dėl žemės sklypo (kad. Nr.4162/0200:1008), esančio Vilniaus r. sav., Nemėžio sen., Daržininkų k., Minsko pl. 106 (toliau – Žemės sklypas) pagrindinės žemės naudojimo paskirties ir žemės naudojimo būdo keitimą. Prašymo tikslas: 0.2001 ha ploto žemės ūkio paskirties Žemės sklypo pagrindinės žemės naudojimo paskirties ir žemės naudojimo būdo keitimas į kitos – komercinė paskirties teritorijos. Su prašymu galima susipažinti nuo 2024-08-23 iki 2024-09-05 Lietuvos Respublikos teritorijų planavimo dokumentų rengimo ir teritorijų planavimo proceso valstybės priežiūros informacinėje svetainėje (TPDRIS.lt) ir Vilniaus rajono savivaldybės interneto svetainėje (vrsa.lt). Pasiūlymus dėl pagrindinės žemės naudojimo paskirties ir žemės naudojimo būdo keitimo galima teikti iki 2024-09-05 Vilniaus rajono savivaldybės administracijai (Rinktinės g. 50, Vilnius) raštu ir Lietuvos Respublikos teritorijų planavimo dokumentų rengimo ir teritorijų planavimo proceso valstybinės priežiūros informacinėje sistemoje.

Ištrauka iš Vilniaus rajono savivaldybės teritorijos dalies („U“ žemės naudojimo funkcinės zonos Avižienių, Juodšilių, Nemėžio, Pagirių, Riešės, Rudaminos ir Zujūnų seniūnijose) bendrojo plano 

Prašymas

2024-08-23

Informuojame apie pateiktą nagrinėti prašymą dėl žemės sklypo (kad. Nr.:4162/0100:731), esančio Vilniaus r. sav., Nemėžio sen., Nemėžio k. (toliau – Žemės sklypas) pagrindinės žemės naudojimo paskirties ir žemės naudojimo būdo keitimą. Prašymo tikslas: 0.3319 ha ploto žemės ūkio paskirties Žemės sklypo pagrindinės žemės naudojimo paskirties ir žemės naudojimo būdo keitimas į kitos – vienbučių ir dvibučių gyvenamųjų pastatų teritorijos. Su prašymu galima susipažinti nuo 2024-08-22 iki 2024-09-04 Lietuvos Respublikos teritorijų planavimo dokumentų rengimo ir teritorijų planavimo proceso valstybės priežiūros informacinėje svetainėje (TPDRIS.lt) ir Vilniaus rajono savivaldybės interneto svetainėje (vrsa.lt). Pasiūlymus dėl pagrindinės žemės naudojimo paskirties ir žemės naudojimo būdo keitimo galima teikti iki 2024-09-04 Vilniaus rajono savivaldybės administracijai (Rinktinės g. 50, Vilnius) raštu ir Lietuvos Respublikos teritorijų planavimo dokumentų rengimo ir teritorijų planavimo proceso valstybinės priežiūros informacinėje sistemoje.

Ištrauka išIštrauka iš Vilniaus rajono savivaldybės teritorijos dalies („U“ žemės naudojimo funkcinės zonos Avižienių, Juodšilių, Nemėžio, Pagirių, Riešės, Rudaminos ir Zujūnų seniūnijose) bendrojo plano 

Prašymas

2024-08-22

Informuojame apie pateiktą nagrinėti prašymą dėl žemės sklypo (kad. Nr.4170/0100:800), esančio Vilniaus r. sav., Riešės sen., Mikulionių k. (toliau – Žemės sklypas) pagrindinės žemės naudojimo paskirties ir žemės naudojimo būdo keitimą. Prašymo tikslas: 0.2858 ha ploto žemės ūkio paskirties Žemės sklypo pagrindinės žemės naudojimo paskirties ir žemės naudojimo būdo keitimas į kitos – vienbučių ir dvibučių gyvenamųjų pastatų teritorijos. Su prašymu galima susipažinti nuo 2024-08-22 iki 2024-09-04 Lietuvos Respublikos teritorijų planavimo dokumentų rengimo ir teritorijų planavimo proceso valstybės priežiūros informacinėje svetainėje (TPDRIS.lt) ir Vilniaus rajono savivaldybės interneto svetainėje (vrsa.lt). Pasiūlymus dėl pagrindinės žemės naudojimo paskirties ir žemės naudojimo būdo keitimo galima teikti iki 2024-09-04 Vilniaus rajono savivaldybės administracijai (Rinktinės g. 50, Vilnius) raštu ir Lietuvos Respublikos teritorijų planavimo dokumentų rengimo ir teritorijų planavimo proceso valstybinės priežiūros informacinėje sistemoje.

Ištrauka iš Kraštovaizdžio spec. plano

Prašymas

2024-08-22

Informuojame apie pateiktą nagrinėti prašymą dėl žemės sklypo (kad. Nr.4110/0100:877), esančio Vilniaus r. sav., Zujūnų sen., Čekoniškių k. (toliau – Žemės sklypas) pagrindinės žemės naudojimo paskirties ir žemės naudojimo būdo keitimą. Prašymo tikslas: 0.1300 ha ploto žemės ūkio paskirties Žemės sklypo pagrindinės žemės naudojimo paskirties ir žemės naudojimo būdo keitimas į kitos – komercinė paskirties teritorijos. . Su prašymu galima susipažinti nuo 2024-08-22 iki 2024-09-04 Lietuvos Respublikos teritorijų planavimo dokumentų rengimo ir teritorijų planavimo proceso valstybės priežiūros informacinėje svetainėje (TPDRIS.lt) ir Vilniaus rajono savivaldybės interneto svetainėje (vrsa.lt). Pasiūlymus dėl pagrindinės žemės naudojimo paskirties ir žemės naudojimo būdo keitimo galima teikti iki 2024-09-04 Vilniaus rajono savivaldybės administracijai (Rinktinės g. 50, Vilnius) raštu ir Lietuvos Respublikos teritorijų planavimo dokumentų rengimo ir teritorijų planavimo proceso valstybinės priežiūros informacinėje sistemoje.

Ištrauka iš Kraštovaizdžio spec. plano

Prašymas

2024-08-22

Informuojame apie pateiktą nagrinėti prašymą dėl žemės sklypo (kad. Nr.4174/0100:2136), esančio Vilniaus r. sav., Avižienių sen., Riešės k., Beržų g. 43B, (toliau – Žemės sklypas)  naudojimo būdo keitimo. Prašymo tikslas: 0,1170 ha ploto ienbučių ir dvibučių gyvenamųjų pastatų teritorijos žemės naudojimo būdo keitimas į kitos – komercinė paskirties teritorijos. Su prašymu galima susipažinti nuo 2024-08-14 iki 2024-08-28 Lietuvos Respublikos teritorijų planavimo dokumentų rengimo ir teritorijų planavimo proceso valstybės priežiūros informacinėje svetainėje (TPDRIS.lt) ir Vilniaus rajono savivaldybės interneto svetainėje (vrsa.lt). Pasiūlymus dėl pagrindinės žemės naudojimo paskirties ir žemės naudojimo būdo keitimo galima teikti iki 2024-08-28 Vilniaus rajono savivaldybės administracijai (Rinktinės g. 50, Vilnius) raštu ir Lietuvos Respublikos teritorijų planavimo dokumentų rengimo ir teritorijų planavimo proceso valstybinės priežiūros informacinėje sistemoje.

Ištrauka iš Vilniaus rajono savivaldybės teritorijos dalies („U“ žemės naudojimo funkcinės zonos Avižienių, Juodšilių, Nemėžio, Pagirių, Riešės, Rudaminos ir Zujūnų seniūnijose) bendrojo plano

Prašymas

2024-08-14

Informuojame apie pateiktą nagrinėti prašymą dėl žemės sklypo (kad. Nr.4174/0100:2135), esančio Vilniaus r. sav., Avižienių sen., Riešės k., Beržų g. 43A, (toliau – Žemės sklypas)  naudojimo būdo keitimo. Prašymo tikslas: 0,1140 ha ploto ienbučių ir dvibučių gyvenamųjų pastatų teritorijos žemės naudojimo būdo keitimas į kitos – komercinė paskirties teritorijos. Su prašymu galima susipažinti nuo 2024-08-14 iki 2024-08-28 Lietuvos Respublikos teritorijų planavimo dokumentų rengimo ir teritorijų planavimo proceso valstybės priežiūros informacinėje svetainėje (TPDRIS.lt) ir Vilniaus rajono savivaldybės interneto svetainėje (vrsa.lt). Pasiūlymus dėl pagrindinės žemės naudojimo paskirties ir žemės naudojimo būdo keitimo galima teikti iki 2024-08-28 Vilniaus rajono savivaldybės administracijai (Rinktinės g. 50, Vilnius) raštu ir Lietuvos Respublikos teritorijų planavimo dokumentų rengimo ir teritorijų planavimo proceso valstybinės priežiūros informacinėje sistemoje.

Ištrauka iš Vilniaus rajono savivaldybės teritorijos dalies („U“ žemės naudojimo funkcinės zonos Avižienių, Juodšilių, Nemėžio, Pagirių, Riešės, Rudaminos ir Zujūnų seniūnijose) bendrojo plano

Prašymas

2024-08-14

Informuojame apie pateiktą nagrinėti prašymą dėl žemės sklypo (kad. Nr.110/0600:139), esančio Vilniaus r. sav., Zujūnų sen., Gudelių k. (toliau – Žemės sklypas) pagrindinės žemės naudojimo paskirties ir žemės naudojimo būdo keitimą. Prašymo tikslas: 0.0811 ha ploto žemės ūkio paskirties Žemės sklypo pagrindinės žemės naudojimo paskirties ir žemės naudojimo būdo keitimas į kitos – rekreacinės objektų teritorijos. Su prašymu galima susipažinti nuo 2024-08-14 iki 2024-08-28 Lietuvos Respublikos teritorijų planavimo dokumentų rengimo ir teritorijų planavimo proceso valstybės priežiūros informacinėje svetainėje (TPDRIS.lt) ir Vilniaus rajono savivaldybės interneto svetainėje (vrsa.lt). Pasiūlymus dėl pagrindinės žemės naudojimo paskirties ir žemės naudojimo būdo keitimo galima teikti iki 2024-08-28 Vilniaus rajono savivaldybės administracijai (Rinktinės g. 50, Vilnius) raštu ir Lietuvos Respublikos teritorijų planavimo dokumentų rengimo ir teritorijų planavimo proceso valstybinės priežiūros informacinėje sistemoje.

Ištrauka iš Kraštovaizdžio spec. plano

Prašymas

2024-08-14

Informuojame apie pateiktą nagrinėti prašymą dėl žemės sklypo (kad. Nr.4124/0100:451), esančio Vilniaus r. sav., Dūkštų sen., Karmazinų k. 5A (toliau – Žemės sklypas) pagrindinės žemės naudojimo paskirties ir žemės naudojimo būdo keitimą. Prašymo tikslas: 1,6965 ha ploto žemės ūkio paskirties Žemės sklypo pagrindinės žemės naudojimo paskirties ir žemės naudojimo būdo keitimas į kitos – vienbučių ir dvibučių gyvenamųjų pastatų teritorijos. Su prašymu galima susipažinti nuo 2024-08-14 iki 2024-08-28 Lietuvos Respublikos teritorijų planavimo dokumentų rengimo ir teritorijų planavimo proceso valstybės priežiūros informacinėje svetainėje (TPDRIS.lt) ir Vilniaus rajono savivaldybės interneto svetainėje (vrsa.lt). Pasiūlymus dėl pagrindinės žemės naudojimo paskirties ir žemės naudojimo būdo keitimo galima teikti iki 2024-08-28 Vilniaus rajono savivaldybės administracijai (Rinktinės g. 50, Vilnius) raštu ir Lietuvos Respublikos teritorijų planavimo dokumentų rengimo ir teritorijų planavimo proceso valstybinės priežiūros informacinėje sistemoje.

Ištrauka iš Kraštovaizdžio spec. plano

Prašymas

2024-08-14

Informuojame apie pateiktą nagrinėti prašymą dėl žemės sklypo (kad. Nr.4117/0600:695), esančio Vilniaus r. sav., Riešės sen., Didžiosios Riešės k, (toliau – Žemės sklypas) pagrindinės žemės naudojimo paskirties ir žemės naudojimo būdo keitimą. Prašymo tikslas: 0,0987 ha ploto žemės ūkio paskirties Žemės sklypo pagrindinės žemės naudojimo paskirties ir žemės naudojimo būdo keitimas į kitos – vienbučių ir dvibučių gyvenamųjų pastatų teritorijos. Su prašymu galima susipažinti nuo 2024-08-14 iki 2024-08-28 Lietuvos Respublikos teritorijų planavimo dokumentų rengimo ir teritorijų planavimo proceso valstybės priežiūros informacinėje svetainėje (TPDRIS.lt) ir Vilniaus rajono savivaldybės interneto svetainėje (vrsa.lt). Pasiūlymus dėl pagrindinės žemės naudojimo paskirties ir žemės naudojimo būdo keitimo galima teikti iki 2024-08-28 Vilniaus rajono savivaldybės administracijai (Rinktinės g. 50, Vilnius) raštu ir Lietuvos Respublikos teritorijų planavimo dokumentų rengimo ir teritorijų planavimo proceso valstybinės priežiūros informacinėje sistemoje.

Ištrauka iš Vilniaus rajono savivaldybės teritorijos dalies („U“ žemės naudojimo funkcinės zonos Avižienių, Juodšilių, Nemėžio, Pagirių, Riešės, Rudaminos ir Zujūnų seniūnijose) bendrojo plano

Prašymas

2024-08-14

Informuojame apie pateiktą nagrinėti prašymą dėl žemės sklypo (kad. Nr.4122/0100:1005), esančio Vilniaus r. sav., Pagirių sen., Juodbalių k. (toliau – Žemės sklypas) pagrindinės žemės naudojimo paskirties ir žemės naudojimo būdo keitimą. Prašymo tikslas: 0,1200 ha ploto žemės ūkio paskirties Žemės sklypo pagrindinės žemės naudojimo paskirties ir žemės naudojimo būdo keitimas į kitos – vienbučių ir dvibučių gyvenamųjų pastatų teritorijos. Su prašymu galima susipažinti nuo 2024-08-13 iki 2024-08-27 Lietuvos Respublikos teritorijų planavimo dokumentų rengimo ir teritorijų planavimo proceso valstybės priežiūros informacinėje svetainėje (TPDRIS.lt) ir Vilniaus rajono savivaldybės interneto svetainėje (vrsa.lt). Pasiūlymus dėl pagrindinės žemės naudojimo paskirties ir žemės naudojimo būdo keitimo galima teikti iki 2024-08-27 Vilniaus rajono savivaldybės administracijai (Rinktinės g. 50, Vilnius) raštu ir Lietuvos Respublikos teritorijų planavimo dokumentų rengimo ir teritorijų planavimo proceso valstybinės priežiūros informacinėje sistemoje.

Ištrauka iš Kraštovaizdžio spec. plano

Prašymas

2024-08-13

Informuojame apie pateiktą nagrinėti prašymą dėl žemės sklypo (kad. Nr.4122/0100:1006), esančio Vilniaus r. sav., Pagirių sen., Juodbalių k. (toliau – Žemės sklypas) pagrindinės žemės naudojimo paskirties ir žemės naudojimo būdo keitimą. Prašymo tikslas: 0,1232 ha ploto žemės ūkio paskirties Žemės sklypo pagrindinės žemės naudojimo paskirties ir žemės naudojimo būdo keitimas į kitos – vienbučių ir dvibučių gyvenamųjų pastatų teritorijos. Su prašymu galima susipažinti nuo 2024-08-13 iki 2024-08-27 Lietuvos Respublikos teritorijų planavimo dokumentų rengimo ir teritorijų planavimo proceso valstybės priežiūros informacinėje svetainėje (TPDRIS.lt) ir Vilniaus rajono savivaldybės interneto svetainėje (vrsa.lt). Pasiūlymus dėl pagrindinės žemės naudojimo paskirties ir žemės naudojimo būdo keitimo galima teikti iki 2024-08-27 Vilniaus rajono savivaldybės administracijai (Rinktinės g. 50, Vilnius) raštu ir Lietuvos Respublikos teritorijų planavimo dokumentų rengimo ir teritorijų planavimo proceso valstybinės priežiūros informacinėje sistemoje.

Ištrauka iš Kraštovaizdžio spec. plano

Prašymas

2024-08-13

Informuojame apie pateiktą nagrinėti prašymą dėl žemės sklypo (kad. Nr.4122/0100:1007), esančio Vilniaus r. sav., Pagirių sen., Juodbalių k. (toliau – Žemės sklypas) pagrindinės žemės naudojimo paskirties ir žemės naudojimo būdo keitimą. Prašymo tikslas: 0,1200 ha ploto žemės ūkio paskirties Žemės sklypo pagrindinės žemės naudojimo paskirties ir žemės naudojimo būdo keitimas į kitos – vienbučių ir dvibučių gyvenamųjų pastatų teritorijos. Su prašymu galima susipažinti nuo 2024-08-13 iki 2024-08-27 Lietuvos Respublikos teritorijų planavimo dokumentų rengimo ir teritorijų planavimo proceso valstybės priežiūros informacinėje svetainėje (TPDRIS.lt) ir Vilniaus rajono savivaldybės interneto svetainėje (vrsa.lt). Pasiūlymus dėl pagrindinės žemės naudojimo paskirties ir žemės naudojimo būdo keitimo galima teikti iki 2024-08-27 Vilniaus rajono savivaldybės administracijai (Rinktinės g. 50, Vilnius) raštu ir Lietuvos Respublikos teritorijų planavimo dokumentų rengimo ir teritorijų planavimo proceso valstybinės priežiūros informacinėje sistemoje.

Ištrauka iš Kraštovaizdžio spec. plano

Prašymas

2024-08-13

Informuojame apie pateiktą nagrinėti prašymą dėl žemės sklypo (kad. Nr.4122/0100:1008), esančio Vilniaus r. sav., Pagirių sen., Juodbalių k. (toliau – Žemės sklypas) pagrindinės žemės naudojimo paskirties ir žemės naudojimo būdo keitimą. Prašymo tikslas: 0,1121 ha ploto žemės ūkio paskirties Žemės sklypo pagrindinės žemės naudojimo paskirties ir žemės naudojimo būdo keitimas į kitos – vienbučių ir dvibučių gyvenamųjų pastatų teritorijos. Su prašymu galima susipažinti nuo 2024-08-13 iki 2024-08-27 Lietuvos Respublikos teritorijų planavimo dokumentų rengimo ir teritorijų planavimo proceso valstybės priežiūros informacinėje svetainėje (TPDRIS.lt) ir Vilniaus rajono savivaldybės interneto svetainėje (vrsa.lt). Pasiūlymus dėl pagrindinės žemės naudojimo paskirties ir žemės naudojimo būdo keitimo galima teikti iki 2024-08-27 Vilniaus rajono savivaldybės administracijai (Rinktinės g. 50, Vilnius) raštu ir Lietuvos Respublikos teritorijų planavimo dokumentų rengimo ir teritorijų planavimo proceso valstybinės priežiūros informacinėje sistemoje.

Ištrauka iš Kraštovaizdžio spec. plano

Prašymas

2024-08-13

Informuojame apie pateiktą nagrinėti prašymą dėl žemės sklypo (kad. Nr.4162/0100:3127), esančio Vilniaus r. sav., Nemėžio sen., Kuprioniškių k., Ilgoji g. 45, (toliau – Žemės sklypas) pagrindinės žemės naudojimo paskirties ir žemės naudojimo būdo keitimą. Prašymo tikslas: 0,1914 ha ploto žemės ūkio paskirties Žemės sklypo pagrindinės žemės naudojimo paskirties ir žemės naudojimo būdo keitimas į kitos – vienbučių ir dvibučių gyvenamųjų pastatų teritorijos. Su prašymu galima susipažinti nuo 2024-08-13 iki 2024-08-27 Lietuvos Respublikos teritorijų planavimo dokumentų rengimo ir teritorijų planavimo proceso valstybės priežiūros informacinėje svetainėje (TPDRIS.lt) ir Vilniaus rajono savivaldybės interneto svetainėje (vrsa.lt). Pasiūlymus dėl pagrindinės žemės naudojimo paskirties ir žemės naudojimo būdo keitimo galima teikti iki 2024-08-27 Vilniaus rajono savivaldybės administracijai (Rinktinės g. 50, Vilnius) raštu ir Lietuvos Respublikos teritorijų planavimo dokumentų rengimo ir teritorijų planavimo proceso valstybinės priežiūros informacinėje sistemoje.

Ištrauka iš Vilniaus rajono savivaldybės teritorijos dalies („U“ žemės naudojimo funkcinės zonos Avižienių, Juodšilių, Nemėžio, Pagirių, Riešės, Rudaminos ir Zujūnų seniūnijose) bendrojo plano

Prašymas

2024-08-13

Informuojame apie pateiktą nagrinėti prašymą dėl žemės sklypo (kad. Nr.4162/0100:3164), esančio Vilniaus r. sav., Nemėžio sen., Kuprioniškių k., (toliau – Žemės sklypas) pagrindinės žemės naudojimo paskirties ir žemės naudojimo būdo keitimą. Prašymo tikslas: 0,1581 ha ploto žemės ūkio paskirties Žemės sklypo pagrindinės žemės naudojimo paskirties ir žemės naudojimo būdo keitimas į kitos – vienbučių ir dvibučių gyvenamųjų pastatų teritorijos. Su prašymu galima susipažinti nuo 2024-08-13 iki 2024-08-27 Lietuvos Respublikos teritorijų planavimo dokumentų rengimo ir teritorijų planavimo proceso valstybės priežiūros informacinėje svetainėje (TPDRIS.lt) ir Vilniaus rajono savivaldybės interneto svetainėje (vrsa.lt). Pasiūlymus dėl pagrindinės žemės naudojimo paskirties ir žemės naudojimo būdo keitimo galima teikti iki 2024-08-27 Vilniaus rajono savivaldybės administracijai (Rinktinės g. 50, Vilnius) raštu ir Lietuvos Respublikos teritorijų planavimo dokumentų rengimo ir teritorijų planavimo proceso valstybinės priežiūros informacinėje sistemoje.

Ištrauka iš Vilniaus rajono savivaldybės teritorijos dalies („U“ žemės naudojimo funkcinės zonos Avižienių, Juodšilių, Nemėžio, Pagirių, Riešės, Rudaminos ir Zujūnų seniūnijose) bendrojo plano

Prašymas

2024-08-13

Informuojame apie pateiktą nagrinėti prašymą dėl žemės sklypo (kad. Nr.4117/0700:206), esančio Vilniaus r. sav., Riešės sen., Didžiosios Riešės k., (toliau – Žemės sklypas)  žemės naudojimo būdo keitimą. Prašymo tikslas: 0,2601 ha ploto žemės ūkio paskirties Žemės sklypo pagrindinės žemės naudojimo paskirties ir žemės naudojimo būdo keitimas į kitos – bendro naudojimo teritorijos. Su prašymu galima susipažinti nuo 2024-08-09 iki 2024-08-23 Lietuvos Respublikos teritorijų planavimo dokumentų rengimo ir teritorijų planavimo proceso valstybės priežiūros informacinėje svetainėje (TPDRIS.lt) ir Vilniaus rajono savivaldybės interneto svetainėje (vrsa.lt). Pasiūlymus dėl pagrindinės žemės naudojimo paskirties ir žemės naudojimo būdo keitimo galima teikti iki 2024-08-23 Vilniaus rajono savivaldybės administracijai (Rinktinės g. 50, Vilnius) raštu ir Lietuvos Respublikos teritorijų planavimo dokumentų rengimo ir teritorijų planavimo proceso valstybinės priežiūros informacinėje sistemoje.

Ištrauka iš Vilniaus rajono savivaldybės teritorijos dalies („U“ žemės naudojimo funkcinės zonos Avižienių, Juodšilių, Nemėžio, Pagirių, Riešės, Rudaminos ir Zujūnų seniūnijose) bendrojo plano

Prašymas

2024-08-09

 

Informuojame apie pateiktą nagrinėti prašymą dėl žemės sklypo (kad. Nr.4154/2000:783), esančio Vilniaus r. sav., Marijampolio sen., Marijampolio k., (toliau – Žemės sklypas)  žemės naudojimo būdo keitimą. Prašymo tikslas: 0,4787 ha ploto kitos paskirties Žemės sklypo žemės naudojimo būdo keitimas į  – pramonės ir sandėliavimo objektų teritorijos. Su prašymu galima susipažinti nuo 2024-08-08 iki 2024-08-22 Lietuvos Respublikos teritorijų planavimo dokumentų rengimo ir teritorijų planavimo proceso valstybės priežiūros informacinėje svetainėje (TPDRIS.lt) ir Vilniaus rajono savivaldybės interneto svetainėje (vrsa.lt). Pasiūlymus dėl pagrindinės žemės naudojimo paskirties ir žemės naudojimo būdo keitimo galima teikti iki 2024-08-22 Vilniaus rajono savivaldybės administracijai (Rinktinės g. 50, Vilnius) raštu ir Lietuvos Respublikos teritorijų planavimo dokumentų rengimo ir teritorijų planavimo proceso valstybinės priežiūros informacinėje sistemoje.

Ištrauka iš Kraštovaizdžio spec. plano

Prašymas

2024-08-08

Informuojame apie pateiktą nagrinėti prašymą dėl žemės sklypo (kad. Nr.4107/0600:91), esančio Vilniaus r. sav., Bezdonių sen., Bilkiškių k., Bilkiškių g. 3, (toliau – Žemės sklypas) pagrindinės žemės naudojimo paskirties ir žemės naudojimo būdo keitimą. Prašymo tikslas: 0,1600 ha ploto miškų ūkio paskirties Žemės sklypo pagrindinės žemės naudojimo paskirties ir žemės naudojimo būdo keitimas į kitos – vienbučių ir dvibučių gyvenamųjų pastatų teritorijos. Su prašymu galima susipažinti nuo 2024-08-08 iki 2024-08-22 Lietuvos Respublikos teritorijų planavimo dokumentų rengimo ir teritorijų planavimo proceso valstybės priežiūros informacinėje svetainėje (TPDRIS.lt) ir Vilniaus rajono savivaldybės interneto svetainėje (vrsa.lt). Pasiūlymus dėl pagrindinės žemės naudojimo paskirties ir žemės naudojimo būdo keitimo galima teikti iki 2024-08-22 Vilniaus rajono savivaldybės administracijai (Rinktinės g. 50, Vilnius) raštu ir Lietuvos Respublikos teritorijų planavimo dokumentų rengimo ir teritorijų planavimo proceso valstybinės priežiūros informacinėje sistemoje.

Ištrauka iš Kraštovaizdžio spec. plano

Prašymas

2024-08-08

 

Informuojame apie pateiktą nagrinėti prašymą dėl žemės sklypo (kad. Nr.4150/0700:246), esančio Vilniaus r. sav., Medininkų sen., Klinkų k., (toliau – Žemės sklypas) pagrindinės žemės naudojimo paskirties ir žemės naudojimo būdo keitimą. Prašymo tikslas: 0,2000 ha ploto žemės ūkio paskirties Žemės sklypo pagrindinės žemės naudojimo paskirties ir žemės naudojimo būdo keitimas į kitos – vienbučių ir dvibučių gyvenamųjų pastatų teritorijos. Su prašymu galima susipažinti nuo 2024-08-08 iki 2024-08-22 Lietuvos Respublikos teritorijų planavimo dokumentų rengimo ir teritorijų planavimo proceso valstybės priežiūros informacinėje svetainėje (TPDRIS.lt) ir Vilniaus rajono savivaldybės interneto svetainėje (vrsa.lt). Pasiūlymus dėl pagrindinės žemės naudojimo paskirties ir žemės naudojimo būdo keitimo galima teikti iki 2024-08-22 Vilniaus rajono savivaldybės administracijai (Rinktinės g. 50, Vilnius) raštu ir Lietuvos Respublikos teritorijų planavimo dokumentų rengimo ir teritorijų planavimo proceso valstybinės priežiūros informacinėje sistemoje.

Ištrauka iš Kraštovaizdžio spec. plano

Prašymas

2024-08-08

 

Informuojame apie pateiktą nagrinėti prašymą dėl žemės sklypo (kad. Nr.4147/0100:314), esančio Vilniaus r. sav., Maišiagaloje, (toliau – Žemės sklypas) pagrindinės žemės naudojimo paskirties ir žemės naudojimo būdo keitimą. Prašymo tikslas: 0,7792 ha ploto žemės ūkio paskirties Žemės sklypo pagrindinės žemės naudojimo paskirties ir žemės naudojimo būdo keitimas į kitos – vienbučių ir dvibučių gyvenamųjų pastatų teritorijos. Su prašymu galima susipažinti nuo 2024-08-08 iki 2024-08-22 Lietuvos Respublikos teritorijų planavimo dokumentų rengimo ir teritorijų planavimo proceso valstybės priežiūros informacinėje svetainėje (TPDRIS.lt) ir Vilniaus rajono savivaldybės interneto svetainėje (vrsa.lt). Pasiūlymus dėl pagrindinės žemės naudojimo paskirties ir žemės naudojimo būdo keitimo galima teikti iki 2024-08-22 Vilniaus rajono savivaldybės administracijai (Rinktinės g. 50, Vilnius) raštu ir Lietuvos Respublikos teritorijų planavimo dokumentų rengimo ir teritorijų planavimo proceso valstybinės priežiūros informacinėje sistemoje.

 

Ištrauka iš Kraštovaizdžio spec. plano

Prašymas

2024-08-08

 

Informuojame apie pateiktą nagrinėti prašymą dėl žemės sklypo (kad. Nr.4110/0700:4967), esančio Vilniaus r. sav., Zujūnų sen., Geležių k., (toliau – Žemės sklypas) pagrindinės žemės naudojimo paskirties ir žemės naudojimo būdo keitimą. Prašymo tikslas: 0,5000 ha ploto žemės ūkio paskirties Žemės sklypo pagrindinės žemės naudojimo paskirties ir žemės naudojimo būdo keitimas į kitos – vienbučių ir dvibučių gyvenamųjų pastatų teritorijos. Su prašymu galima susipažinti nuo 2024-08-08 iki 2024-08-22 Lietuvos Respublikos teritorijų planavimo dokumentų rengimo ir teritorijų planavimo proceso valstybės priežiūros informacinėje svetainėje (TPDRIS.lt) ir Vilniaus rajono savivaldybės interneto svetainėje (vrsa.lt). Pasiūlymus dėl pagrindinės žemės naudojimo paskirties ir žemės naudojimo būdo keitimo galima teikti iki 2024-08-22 Vilniaus rajono savivaldybės administracijai (Rinktinės g. 50, Vilnius) raštu ir Lietuvos Respublikos teritorijų planavimo dokumentų rengimo ir teritorijų planavimo proceso valstybinės priežiūros informacinėje sistemoje.

Ištrauka iš Vilniaus rajono savivaldybės teritorijos dalies („U“ žemės naudojimo funkcinės zonos Avižienių, Juodšilių, Nemėžio, Pagirių, Riešės, Rudaminos ir Zujūnų seniūnijose) bendrojo plano

Prašymas

2024-08-08

 

Informuojame apie pateiktą nagrinėti prašymą dėl žemės sklypo (kad. Nr.4110/0300:1344), esančio Vilniaus r. sav., Zujūnų sen., Medžiakalnio k., (toliau – Žemės sklypas) pagrindinės žemės naudojimo paskirties ir žemės naudojimo būdo keitimą. Prašymo tikslas: 0,2242 ha ploto žemės ūkio paskirties Žemės sklypo pagrindinės žemės naudojimo paskirties ir žemės naudojimo būdo keitimas į kitos – vienbučių ir dvibučių gyvenamųjų pastatų teritorijos. Su prašymu galima susipažinti nuo 2024-08-08 iki 2024-08-22 Lietuvos Respublikos teritorijų planavimo dokumentų rengimo ir teritorijų planavimo proceso valstybės priežiūros informacinėje svetainėje (TPDRIS.lt) ir Vilniaus rajono savivaldybės interneto svetainėje (vrsa.lt). Pasiūlymus dėl pagrindinės žemės naudojimo paskirties ir žemės naudojimo būdo keitimo galima teikti iki 2024-08-22 Vilniaus rajono savivaldybės administracijai (Rinktinės g. 50, Vilnius) raštu ir Lietuvos Respublikos teritorijų planavimo dokumentų rengimo ir teritorijų planavimo proceso valstybinės priežiūros informacinėje sistemoje.

 

Ištrauka iš Vilniaus rajono savivaldybės teritorijos dalies („U“ žemės naudojimo funkcinės zonos Avižienių, Juodšilių, Nemėžio, Pagirių, Riešės, Rudaminos ir Zujūnų seniūnijose) bendrojo plano

Prašymas

2024-08-08

 

Informuojame apie pateiktą nagrinėti prašymą dėl žemės sklypo (kad. Nr.4110/0100:235), esančio Vilniaus r. sav., Zujūnų sen., Čekoniškių k., (toliau – Žemės sklypas) pagrindinės žemės naudojimo paskirties ir žemės naudojimo būdo keitimą. Prašymo tikslas: 0,1017 ha ploto žemės ūkio paskirties Žemės sklypo pagrindinės žemės naudojimo paskirties ir žemės naudojimo būdo keitimas į kitos – vienbučių ir dvibučių gyvenamųjų pastatų teritorijos. Su prašymu galima susipažinti nuo 2024-08-08 iki 2024-08-22 Lietuvos Respublikos teritorijų planavimo dokumentų rengimo ir teritorijų planavimo proceso valstybės priežiūros informacinėje svetainėje (TPDRIS.lt) ir Vilniaus rajono savivaldybės interneto svetainėje (vrsa.lt). Pasiūlymus dėl pagrindinės žemės naudojimo paskirties ir žemės naudojimo būdo keitimo galima teikti iki 2024-08-22 Vilniaus rajono savivaldybės administracijai (Rinktinės g. 50, Vilnius) raštu ir Lietuvos Respublikos teritorijų planavimo dokumentų rengimo ir teritorijų planavimo proceso valstybinės priežiūros informacinėje sistemoje.

Ištrauka iš Kraštovaizdžio spec. plano

Prašymas

2024-08-08

 

Informuojame apie pateiktą nagrinėti prašymą dėl žemės sklypo (kad. Nr.4110/0300:1345), esančio Vilniaus r. sav., Zujūnų sen., Vaivadiškių k., (toliau – Žemės sklypas) pagrindinės žemės naudojimo paskirties ir žemės naudojimo būdo keitimą. Prašymo tikslas: 0,9020 ha ploto žemės ūkio paskirties Žemės sklypo pagrindinės žemės naudojimo paskirties ir žemės naudojimo būdo keitimas į kitos – vienbučių ir dvibučių gyvenamųjų pastatų teritorijos. Su prašymu galima susipažinti nuo 2024-08-08 iki 2024-08-22 Lietuvos Respublikos teritorijų planavimo dokumentų rengimo ir teritorijų planavimo proceso valstybės priežiūros informacinėje svetainėje (TPDRIS.lt) ir Vilniaus rajono savivaldybės interneto svetainėje (vrsa.lt). Pasiūlymus dėl pagrindinės žemės naudojimo paskirties ir žemės naudojimo būdo keitimo galima teikti iki 2024-08-22 Vilniaus rajono savivaldybės administracijai (Rinktinės g. 50, Vilnius) raštu ir Lietuvos Respublikos teritorijų planavimo dokumentų rengimo ir teritorijų planavimo proceso valstybinės priežiūros informacinėje sistemoje.

Ištrauka iš Kraštovaizdžio spec. plano

Prašymas

2024-08-08

 

Informuojame apie pateiktą nagrinėti prašymą dėl žemės sklypo (kad. Nr.4103/0300:569), esančio Vilniaus r. sav., Avižienių sen., Bukiškių k., (toliau – Žemės sklypas) pagrindinės žemės naudojimo paskirties ir žemės naudojimo būdo keitimą. Prašymo tikslas: 0,1893 ha ploto žemės ūkio paskirties Žemės sklypo pagrindinės žemės naudojimo paskirties ir žemės naudojimo būdo keitimas į kitos – komercinės paskirties objektų teritorijos. Su prašymu galima susipažinti nuo 2024-08-06 iki 2024-08-20 Lietuvos Respublikos teritorijų planavimo dokumentų rengimo ir teritorijų planavimo proceso valstybės priežiūros informacinėje svetainėje (TPDRIS.lt) ir Vilniaus rajono savivaldybės interneto svetainėje (vrsa.lt). Pasiūlymus dėl pagrindinės žemės naudojimo paskirties ir žemės naudojimo būdo keitimo galima teikti iki 2024-08-20 Vilniaus rajono savivaldybės administracijai (Rinktinės g. 50, Vilnius) raštu ir Lietuvos Respublikos teritorijų planavimo dokumentų rengimo ir teritorijų planavimo proceso valstybinės priežiūros informacinėje sistemoje.

Ištrauka iš Vilniaus rajono savivaldybės teritorijos dalies („U“ žemės naudojimo funkcinės zonos Avižienių, Juodšilių, Nemėžio, Pagirių, Riešės, Rudaminos ir Zujūnų seniūnijose) bendrojo plano

Prašymas

2024-08-06

Priimtas sprendimas dėl žemės sklypo (kad. Nr. 4142/0300:1719), esančio Vilniaus r. sav., Šatrininkų sen., Grigaičių k., pagrindinės žemės naudojimo paskirties ir žemės naudojimo būdo keitimo.

Sprendimas

2024-08-06

Priimtas sprendimas dėl žemės sklypo (kad. Nr. 4142/0300:1718), esančio Vilniaus r. sav., Šatrininkų sen., Grigaičių k., pagrindinės žemės naudojimo paskirties ir žemės naudojimo būdo keitimo.

Sprendimas

2024-08-06

 

Informuojame apie pateiktą nagrinėti prašymą dėl žemės sklypo (kad. Nr. 4162/0200:2092), esančio Vilniaus r. sav., Nemėžio sen., Didžiasalio k., (toliau – Žemės sklypas) pagrindinės žemės naudojimo paskirties ir žemės naudojimo būdo keitimą. Prašymo tikslas: 0,0875 ha ploto žemės ūkio paskirties Žemės sklypo pagrindinės žemės naudojimo paskirties ir žemės naudojimo būdo keitimas į kitos – susisiekimo ir inžinierinių komunikacijų aptarnavimo objektų teritorijos. Su prašymu galima susipažinti nuo 2024-08-06 iki 2024-08-20 Lietuvos Respublikos teritorijų planavimo dokumentų rengimo ir teritorijų planavimo proceso valstybės priežiūros informacinėje svetainėje (TPDRIS.lt) ir Vilniaus rajono savivaldybės interneto svetainėje (vrsa.lt). Pasiūlymus dėl pagrindinės žemės naudojimo paskirties ir žemės naudojimo būdo keitimo galima teikti iki 2024-08-20 Vilniaus rajono savivaldybės administracijai (Rinktinės g. 50, Vilnius) raštu ir Lietuvos Respublikos teritorijų planavimo dokumentų rengimo ir teritorijų planavimo proceso valstybinės priežiūros informacinėje sistemoje.

Ištrauka iš Vilniaus rajono savivaldybės teritorijos dalies („U“ žemės naudojimo funkcinės zonos Avižienių, Juodšilių, Nemėžio, Pagirių, Riešės, Rudaminos ir Zujūnų seniūnijose) bendrojo plano

Prašymas

2024-08-06

 

Informuojame apie pateiktą nagrinėti prašymą dėl žemės sklypo (kad. Nr. 4152/1300:26), esančio Vilniaus r. sav., Mickūnų sen., Uosininkų I k., (toliau – Žemės sklypas) pagrindinės žemės naudojimo paskirties ir žemės naudojimo būdo keitimą. Prašymo tikslas: 0,3200 ha ploto žemės ūkio paskirties Žemės sklypo pagrindinės žemės naudojimo paskirties ir žemės naudojimo būdo keitimas į kitos – vienbučių ir dvibučių gyvenamųjų pastatų teritorijos. Su prašymu galima susipažinti nuo 2024-08-06 iki 2024-08-20 Lietuvos Respublikos teritorijų planavimo dokumentų rengimo ir teritorijų planavimo proceso valstybės priežiūros informacinėje svetainėje (TPDRIS.lt) ir Vilniaus rajono savivaldybės interneto svetainėje (vrsa.lt). Pasiūlymus dėl pagrindinės žemės naudojimo paskirties ir žemės naudojimo būdo keitimo galima teikti iki 2024-08-20 Vilniaus rajono savivaldybės administracijai (Rinktinės g. 50, Vilnius) raštu ir Lietuvos Respublikos teritorijų planavimo dokumentų rengimo ir teritorijų planavimo proceso valstybinės priežiūros informacinėje sistemoje.

Ištrauka iš Kraštovaizžio spec. plano

Prašymas

2024-08-06

Informuojame apie pateiktą nagrinėti prašymą dėl žemės sklypo (kad. Nr. 4127/0400:91), esančio Vilniaus r. sav., Nemenčinės sen., Kabelių k., (toliau – Žemės sklypas) pagrindinės žemės naudojimo paskirties ir žemės naudojimo būdo keitimą. Prašymo tikslas: 0,5000 ha ploto žemės ūkio paskirties Žemės sklypo pagrindinės žemės naudojimo paskirties ir žemės naudojimo būdo keitimas į kitos – vienbučių ir dvibučių gyvenamųjų pastatų teritorijos. Su prašymu galima susipažinti nuo 2024-08-06 iki 2024-08-20 Lietuvos Respublikos teritorijų planavimo dokumentų rengimo ir teritorijų planavimo proceso valstybės priežiūros informacinėje svetainėje (TPDRIS.lt) ir Vilniaus rajono savivaldybės interneto svetainėje (vrsa.lt). Pasiūlymus dėl pagrindinės žemės naudojimo paskirties ir žemės naudojimo būdo keitimo galima teikti iki 2024-08-20 Vilniaus rajono savivaldybės administracijai (Rinktinės g. 50, Vilnius) raštu ir Lietuvos Respublikos teritorijų planavimo dokumentų rengimo ir teritorijų planavimo proceso valstybinės priežiūros informacinėje sistemoje.

Ištrauka iš Kraštovaizdžio spec. plano

Prašymas

2024-08-06

 

 

Informuojame apie pateiktą nagrinėti prašymą dėl žemės sklypo (kad. Nr. 4117/0200:5222), esančio Vilniaus r. sav., Riešės sen., Paežerių k.,Molėtų pl. 199E, (toliau – Žemės sklypas)  žemės naudojimo būdo keitimą. Prašymo tikslas: 0,4748 ha ploto kitos paskirties Žemės sklypo žemės naudojimo būdo keitimas į  – pramonės ir sandėliavimo objektų teritorijos. Su prašymu galima susipažinti nuo 2024-08-02 iki 2024-08-16 Lietuvos Respublikos teritorijų planavimo dokumentų rengimo ir teritorijų planavimo proceso valstybės priežiūros informacinėje svetainėje (TPDRIS.lt) ir Vilniaus rajono savivaldybės interneto svetainėje (vrsa.lt). Pasiūlymus dėl pagrindinės žemės naudojimo paskirties ir žemės naudojimo būdo keitimo galima teikti iki 2024-08-16 Vilniaus rajono savivaldybės administracijai (Rinktinės g. 50, Vilnius) raštu ir Lietuvos Respublikos teritorijų planavimo dokumentų rengimo ir teritorijų planavimo proceso valstybinės priežiūros informacinėje sistemoje.

Ištrauka iš Kraštovaizdžio spec. plano

Prašymas

2024-08-02

Informuojame apie pateiktą nagrinėti prašymą dėl žemės sklypo (kad. Nr. 4142/0400:606), esančio Vilniaus r. sav., Šatrininkų sen., Vėliučionių k., (toliau – Žemės sklypas) pagrindinės žemės naudojimo paskirties ir žemės naudojimo būdo keitimą. Prašymo tikslas: 0,1862 ha ploto žemės ūkio paskirties Žemės sklypo pagrindinės žemės naudojimo paskirties ir žemės naudojimo būdo keitimas į kitos – vienbučių ir dvibučių gyvenamųjų pastatų teritorijos. Su prašymu galima susipažinti nuo 2024-08-02 iki 2024-08-16 Lietuvos Respublikos teritorijų planavimo dokumentų rengimo ir teritorijų planavimo proceso valstybės priežiūros informacinėje svetainėje (TPDRIS.lt) ir Vilniaus rajono savivaldybės interneto svetainėje (vrsa.lt). Pasiūlymus dėl pagrindinės žemės naudojimo paskirties ir žemės naudojimo būdo keitimo galima teikti iki 2024-08-16 Vilniaus rajono savivaldybės administracijai (Rinktinės g. 50, Vilnius) raštu ir Lietuvos Respublikos teritorijų planavimo dokumentų rengimo ir teritorijų planavimo proceso valstybinės priežiūros informacinėje sistemoje.

Ištrauka iš Kraštovaizdžio spec. plano

Prašymas

2024-08-02

Informuojame apie pateiktą nagrinėti prašymą dėl žemės sklypo (kad. Nr. 4142/0300:1725), esančio Vilniaus r. sav., Šatrininkų sen., Grigaičių k., (toliau – Žemės sklypas) pagrindinės žemės naudojimo paskirties ir žemės naudojimo būdo keitimą. Prašymo tikslas: 0,7500 ha ploto žemės ūkio paskirties Žemės sklypo pagrindinės žemės naudojimo paskirties ir žemės naudojimo būdo keitimas į kitos – vienbučių ir dvibučių gyvenamųjų pastatų teritorijos. Su prašymu galima susipažinti nuo 2024-08-02 iki 2024-08-16 Lietuvos Respublikos teritorijų planavimo dokumentų rengimo ir teritorijų planavimo proceso valstybės priežiūros informacinėje svetainėje (TPDRIS.lt) ir Vilniaus rajono savivaldybės interneto svetainėje (vrsa.lt). Pasiūlymus dėl pagrindinės žemės naudojimo paskirties ir žemės naudojimo būdo keitimo galima teikti iki 2024-08-16 Vilniaus rajono savivaldybės administracijai (Rinktinės g. 50, Vilnius) raštu ir Lietuvos Respublikos teritorijų planavimo dokumentų rengimo ir teritorijų planavimo proceso valstybinės priežiūros informacinėje sistemoje.

Ištrauka iš Kraštovaizdžio spec. plano

Prašymas

2024-08-02

 

Priimtas sprendimas dėl žemės sklypo (kad. Nr. 4107/1803:473), esančio Vilniaus r. sav., Bezdonių sen., Vilkiškių k., Sodo g. 14, pagrindinės žemės naudojimo paskirties ir žemės naudojimo būdo keitimo.

Sprendimas

2024-07-29

 

Informuojame apie pateiktą nagrinėti prašymą dėl žemės sklypo (kad. Nr. 4160/0100:762), esančio Vilniaus r. sav., Nemenčoinės m., Švenčionių g. 114G, (toliau – Žemės sklypas)  žemės naudojimo būdo keitimą. Prašymo tikslas: 0,5818 ha ploto kitos paskirties Žemės sklypo žemės naudojimo būdo keitimas į  – pramonės ir sandėliavimo objektų teritorijos. Su prašymu galima susipažinti nuo 2024-07-31 iki 2024-08-13 Lietuvos Respublikos teritorijų planavimo dokumentų rengimo ir teritorijų planavimo proceso valstybės priežiūros informacinėje svetainėje (TPDRIS.lt) ir Vilniaus rajono savivaldybės interneto svetainėje (vrsa.lt). Pasiūlymus dėl pagrindinės žemės naudojimo paskirties ir žemės naudojimo būdo keitimo galima teikti iki 2024-08-13 Vilniaus rajono savivaldybės administracijai (Rinktinės g. 50, Vilnius) raštu ir Lietuvos Respublikos teritorijų planavimo dokumentų rengimo ir teritorijų planavimo proceso valstybinės priežiūros informacinėje sistemoje.

 

Ištrauka iš Kraštovaizdžio spec. plano

Prašymas

2024-07-31

Informuojame apie pateiktą nagrinėti prašymą dėl žemės sklypo (kad. Nr. 4160/0100:758), esančio Vilniaus r. sav., Nemenčoinės m., Švenčionių g. 114D, (toliau – Žemės sklypas)  žemės naudojimo būdo keitimą. Prašymo tikslas: 0,5400 ha ploto kitos paskirties Žemės sklypo žemės naudojimo būdo keitimas į  – pramonės ir sandėliavimo objektų teritorijos. Su prašymu galima susipažinti nuo 2024-07-31 iki 2024-08-13 Lietuvos Respublikos teritorijų planavimo dokumentų rengimo ir teritorijų planavimo proceso valstybės priežiūros informacinėje svetainėje (TPDRIS.lt) ir Vilniaus rajono savivaldybės interneto svetainėje (vrsa.lt). Pasiūlymus dėl pagrindinės žemės naudojimo paskirties ir žemės naudojimo būdo keitimo galima teikti iki 2024-08-13 Vilniaus rajono savivaldybės administracijai (Rinktinės g. 50, Vilnius) raštu ir Lietuvos Respublikos teritorijų planavimo dokumentų rengimo ir teritorijų planavimo proceso valstybinės priežiūros informacinėje sistemoje.

Ištrauka ikš Kraštovaizdžio spec. plano

Prašymas

2024-07-31

Informuojame apie pateiktą nagrinėti prašymą dėl žemės sklypo (kad. Nr. 4182/0600:858), esančio Vilniaus r. sav., Rukainių sen., Tribilų k., (toliau – Žemės sklypas) pagrindinės žemės naudojimo paskirties ir žemės naudojimo būdo keitimą. Prašymo tikslas: 0,1370 ha ploto žemės ūkio paskirties Žemės sklypo pagrindinės žemės naudojimo paskirties ir žemės naudojimo būdo keitimas į kitos – vienbučių ir dvibučių gyvenamųjų pastatų teritorijos. Su prašymu galima susipažinti nuo 2024-07-31 iki 2024-08-13 Lietuvos Respublikos teritorijų planavimo dokumentų rengimo ir teritorijų planavimo proceso valstybės priežiūros informacinėje svetainėje (TPDRIS.lt) ir Vilniaus rajono savivaldybės interneto svetainėje (vrsa.lt). Pasiūlymus dėl pagrindinės žemės naudojimo paskirties ir žemės naudojimo būdo keitimo galima teikti iki 2024-08-13 Vilniaus rajono savivaldybės administracijai (Rinktinės g. 50, Vilnius) raštu ir Lietuvos Respublikos teritorijų planavimo dokumentų rengimo ir teritorijų planavimo proceso valstybinės priežiūros informacinėje sistemoje.

Ištrauka iš Kraštovaizdžio spec. plano

Prašymas

2024-07-31

Informuojame apie pateiktą nagrinėti prašymą dėl žemės sklypo (kad. Nr. 4103/0200:1931), esančio Vilniaus r. sav., Avižienių sen., Avižienių k., (toliau – Žemės sklypas) pagrindinės žemės naudojimo paskirties ir žemės naudojimo būdo keitimą. Prašymo tikslas: 0,1200 ha ploto žemės ūkio paskirties Žemės sklypo pagrindinės žemės naudojimo paskirties ir žemės naudojimo būdo keitimas į kitos – vienbučių ir dvibučių gyvenamųjų pastatų teritorijos. Su prašymu galima susipažinti nuo 2024-07-31 iki 2024-08-13 Lietuvos Respublikos teritorijų planavimo dokumentų rengimo ir teritorijų planavimo proceso valstybės priežiūros informacinėje svetainėje (TPDRIS.lt) ir Vilniaus rajono savivaldybės interneto svetainėje (vrsa.lt). Pasiūlymus dėl pagrindinės žemės naudojimo paskirties ir žemės naudojimo būdo keitimo galima teikti iki 2024-08-13 Vilniaus rajono savivaldybės administracijai (Rinktinės g. 50, Vilnius) raštu ir Lietuvos Respublikos teritorijų planavimo dokumentų rengimo ir teritorijų planavimo proceso valstybinės priežiūros informacinėje sistemoje.

Ištrauka iš Vilniaus rajono savivaldybės teritorijos dalies („U“ žemės naudojimo funkcinės zonos Avižienių, Juodšilių, Nemėžio, Pagirių, Riešės, Rudaminos ir Zujūnų seniūnijose) bendrojo plano

Prašymas

2024-07-31

 

Informuojame apie pateiktą nagrinėti prašymą dėl žemės sklypo (kad. Nr. 4152/0800:769), esančio Vilniaus r. sav., Mickūnų sen., Gaidūnų k., (toliau – Žemės sklypas) pagrindinės žemės naudojimo paskirties ir žemės naudojimo būdo keitimą. Prašymo tikslas: 0,1742 ha ploto žemės ūkio paskirties Žemės sklypo pagrindinės žemės naudojimo paskirties ir žemės naudojimo būdo keitimas į kitos – vienbučių ir dvibučių gyvenamųjų pastatų teritorijos. Su prašymu galima susipažinti nuo 2024-07-30 iki 2024-08-12 Lietuvos Respublikos teritorijų planavimo dokumentų rengimo ir teritorijų planavimo proceso valstybės priežiūros informacinėje svetainėje (TPDRIS.lt) ir Vilniaus rajono savivaldybės interneto svetainėje (vrsa.lt). Pasiūlymus dėl pagrindinės žemės naudojimo paskirties ir žemės naudojimo būdo keitimo galima teikti iki 2024-08-12 Vilniaus rajono savivaldybės administracijai (Rinktinės g. 50, Vilnius) raštu ir Lietuvos Respublikos teritorijų planavimo dokumentų rengimo ir teritorijų planavimo proceso valstybinės priežiūros informacinėje sistemoje.

Ištrauka iš Kraštovaizdžio spec. plano

Prašymas

2024-07-30

Informuojame apie pateiktą nagrinėti prašymą dėl žemės sklypo (kad. Nr. 4110/0400:600), esančio Vilniaus r. sav., Zujūnų sen., Platiniškių k., (toliau – Žemės sklypas) pagrindinės žemės naudojimo paskirties ir žemės naudojimo būdo keitimą. Prašymo tikslas: 0,1172 ha ploto žemės ūkio paskirties Žemės sklypo pagrindinės žemės naudojimo paskirties ir žemės naudojimo būdo keitimas į kitos – vienbučių ir dvibučių gyvenamųjų pastatų teritorijos. Su prašymu galima susipažinti nuo 2024-07-30 iki 2024-08-12 Lietuvos Respublikos teritorijų planavimo dokumentų rengimo ir teritorijų planavimo proceso valstybės priežiūros informacinėje svetainėje (TPDRIS.lt) ir Vilniaus rajono savivaldybės interneto svetainėje (vrsa.lt). Pasiūlymus dėl pagrindinės žemės naudojimo paskirties ir žemės naudojimo būdo keitimo galima teikti iki 2024-08-12 Vilniaus rajono savivaldybės administracijai (Rinktinės g. 50, Vilnius) raštu ir Lietuvos Respublikos teritorijų planavimo dokumentų rengimo ir teritorijų planavimo proceso valstybinės priežiūros informacinėje sistemoje.

Ištrauka iš Kraštovaizdžio spec. plano

Prašymas

2024-07-30

Informuojame apie pateiktą nagrinėti prašymą dėl žemės sklypo (kad. Nr. 4107/0600:90), esančio Vilniaus r. sav., Bezdonių sen., Bilkiškių k., (toliau – Žemės sklypas) pagrindinės žemės naudojimo paskirties ir žemės naudojimo būdo keitimą. Prašymo tikslas: 0,1209 ha ploto žemės ūkio paskirties Žemės sklypo pagrindinės žemės naudojimo paskirties ir žemės naudojimo būdo keitimas į kitos – vienbučių ir dvibučių gyvenamųjų pastatų teritorijos. Su prašymu galima susipažinti nuo 2024-07-30 iki 2024-08-12 Lietuvos Respublikos teritorijų planavimo dokumentų rengimo ir teritorijų planavimo proceso valstybės priežiūros informacinėje svetainėje (TPDRIS.lt) ir Vilniaus rajono savivaldybės interneto svetainėje (vrsa.lt). Pasiūlymus dėl pagrindinės žemės naudojimo paskirties ir žemės naudojimo būdo keitimo galima teikti iki 2024-08-12 Vilniaus rajono savivaldybės administracijai (Rinktinės g. 50, Vilnius) raštu ir Lietuvos Respublikos teritorijų planavimo dokumentų rengimo ir teritorijų planavimo proceso valstybinės priežiūros informacinėje sistemoje.

Ištrauka iš Kraštovaizdžio spec. plano

Prašymas

2024-07-30

Informuojame apie pateiktą nagrinėti prašymą dėl žemės sklypo (kad. Nr. 4124/0100:32), esančio Vilniaus r. sav., Dūkštų sen., Adomčiškių k., (toliau – Žemės sklypas) pagrindinės žemės naudojimo paskirties ir žemės naudojimo būdo keitimą. Prašymo tikslas: 0,3803 ha ploto žemės ūkio paskirties Žemės sklypo pagrindinės žemės naudojimo paskirties ir žemės naudojimo būdo keitimas į kitos – vienbučių ir dvibučių gyvenamųjų pastatų teritorijos. Su prašymu galima susipažinti nuo 2024-07-23 iki 2024-08-05 Lietuvos Respublikos teritorijų planavimo dokumentų rengimo ir teritorijų planavimo proceso valstybės priežiūros informacinėje svetainėje (TPDRIS.lt) ir Vilniaus rajono savivaldybės interneto svetainėje (vrsa.lt). Pasiūlymus dėl pagrindinės žemės naudojimo paskirties ir žemės naudojimo būdo keitimo galima teikti iki 2024-08-05 Vilniaus rajono savivaldybės administracijai (Rinktinės g. 50, Vilnius) raštu ir Lietuvos Respublikos teritorijų planavimo dokumentų rengimo ir teritorijų planavimo proceso valstybinės priežiūros informacinėje sistemoje.

Ištrauka iš Kraštovaizdžio spec. plano

Prašymas

2024-07-23

 

 

Informuojame apie pateiktą nagrinėti prašymą dėl žemės sklypo (kad. Nr. 4142/0300:1719), esančio Vilniaus r. sav., Šatrininkų sen., Grigaičių k., (toliau – Žemės sklypas) pagrindinės žemės naudojimo paskirties ir žemės naudojimo būdo keitimą. Prašymo tikslas: 0,1300 ha ploto žemės ūkio paskirties Žemės sklypo pagrindinės žemės naudojimo paskirties ir žemės naudojimo būdo keitimas į kitos – vienbučių ir dvibučių gyvenamųjų pastatų teritorijos. Su prašymu galima susipažinti nuo 2024-07-23 iki 2024-08-05 Lietuvos Respublikos teritorijų planavimo dokumentų rengimo ir teritorijų planavimo proceso valstybės priežiūros informacinėje svetainėje (TPDRIS.lt) ir Vilniaus rajono savivaldybės interneto svetainėje (vrsa.lt). Pasiūlymus dėl pagrindinės žemės naudojimo paskirties ir žemės naudojimo būdo keitimo galima teikti iki 2024-08-05 Vilniaus rajono savivaldybės administracijai (Rinktinės g. 50, Vilnius) raštu ir Lietuvos Respublikos teritorijų planavimo dokumentų rengimo ir teritorijų planavimo proceso valstybinės priežiūros informacinėje sistemoje.

Ištrauka iš Kraštovaizdžio spec. plano

Prašymas

2024-07-23

 

Informuojame apie pateiktą nagrinėti prašymą dėl žemės sklypo (kad. Nr. 4142/0300:1718), esančio Vilniaus r. sav., Šatrininkų sen., Grigaičių k., (toliau – Žemės sklypas) pagrindinės žemės naudojimo paskirties ir žemės naudojimo būdo keitimą. Prašymo tikslas: 0,1569 ha ploto žemės ūkio paskirties Žemės sklypo pagrindinės žemės naudojimo paskirties ir žemės naudojimo būdo keitimas į kitos – vienbučių ir dvibučių gyvenamųjų pastatų teritorijos. Su prašymu galima susipažinti nuo 2024-07-23 iki 2024-08-05 Lietuvos Respublikos teritorijų planavimo dokumentų rengimo ir teritorijų planavimo proceso valstybės priežiūros informacinėje svetainėje (TPDRIS.lt) ir Vilniaus rajono savivaldybės interneto svetainėje (vrsa.lt). Pasiūlymus dėl pagrindinės žemės naudojimo paskirties ir žemės naudojimo būdo keitimo galima teikti iki 2024-08-05 Vilniaus rajono savivaldybės administracijai (Rinktinės g. 50, Vilnius) raštu ir Lietuvos Respublikos teritorijų planavimo dokumentų rengimo ir teritorijų planavimo proceso valstybinės priežiūros informacinėje sistemoje.

Ištrauka iš Kraštovaizdžio spec. plano

Prašymas

2024-07-23

 

Informuojame apie pateiktą nagrinėti prašymą dėl žemės sklypo (kad. Nr. 4103/0300:2001), esančio Vilniaus r. sav., Avižienių sen., Bukiškio k., Mokyklos g. 1,  (toliau – Žemės sklypas) pagrindinės žemės naudojimo paskirties ir žemės naudojimo būdo keitimą. Prašymo tikslas: 6,8988 ha ploto žemės ūkio paskirties Žemės sklypo pagrindinės žemės naudojimo paskirties ir žemės naudojimo būdo keitimas į kitos – visuomeninės paskirties teritorijos. Su prašymu galima susipažinti nuo 2024-07-23 iki 2024-08-05 Lietuvos Respublikos teritorijų planavimo dokumentų rengimo ir teritorijų planavimo proceso valstybės priežiūros informacinėje svetainėje (TPDRIS.lt) ir Vilniaus rajono savivaldybės interneto svetainėje (vrsa.lt). Pasiūlymus dėl pagrindinės žemės naudojimo paskirties ir žemės naudojimo būdo keitimo galima teikti iki 2024-08-05 Vilniaus rajono savivaldybės administracijai (Rinktinės g. 50, Vilnius) raštu ir Lietuvos Respublikos teritorijų planavimo dokumentų rengimo ir teritorijų planavimo proceso valstybinės priežiūros informacinėje sistemoje.

Ištrauka iš Vilniaus rajono savivaldybės teritorijos dalies („U“ žemės naudojimo funkcinės zonos Avižienių, Juodšilių, Nemėžio, Pagirių, Riešės, Rudaminos ir Zujūnų seniūnijose) bendrojo plano

Prašymas

2024-07-23

Informuojame apie pateiktą nagrinėti prašymą dėl žemės sklypo (kad. Nr. 4101/0200:296), esančio Vilniaus r. sav., Bezdonių sen., Arvydų k., (toliau – Žemės sklypas) pagrindinės žemės naudojimo paskirties ir žemės naudojimo būdo keitimą. Prašymo tikslas: 0,1387 ha ploto žemės ūkio paskirties Žemės sklypo pagrindinės žemės naudojimo paskirties ir žemės naudojimo būdo keitimas į kitos – komercinės paskirties objektų teritorijos. Su prašymu galima susipažinti nuo 2024-07-23 iki 2024-08-05 Lietuvos Respublikos teritorijų planavimo dokumentų rengimo ir teritorijų planavimo proceso valstybės priežiūros informacinėje svetainėje (TPDRIS.lt) ir Vilniaus rajono savivaldybės interneto svetainėje (vrsa.lt). Pasiūlymus dėl pagrindinės žemės naudojimo paskirties ir žemės naudojimo būdo keitimo galima teikti iki 2024-08-05 Vilniaus rajono savivaldybės administracijai (Rinktinės g. 50, Vilnius) raštu ir Lietuvos Respublikos teritorijų planavimo dokumentų rengimo ir teritorijų planavimo proceso valstybinės priežiūros informacinėje sistemoje.

Ištrauka iš Kraštovaizdžio spec. plano

Prašymas

2024-07-23

Informuojame apie pateiktą nagrinėti prašymą dėl žemės sklypo (kad. Nr. 4144/0400:83), esančio Vilniaus r. sav., Lavoriškių sen., Slabados k., (toliau – Žemės sklypas) pagrindinės žemės naudojimo paskirties ir žemės naudojimo būdo keitimą. Prašymo tikslas: 0,1038 ha ploto žemės ūkio paskirties Žemės sklypo pagrindinės žemės naudojimo paskirties ir žemės naudojimo būdo keitimas į kitos – vienbučių ir dvibučių gyvenamųjų pastatų teritorijos. Su prašymu galima susipažinti nuo 2024-07-23 iki 2024-08-05 Lietuvos Respublikos teritorijų planavimo dokumentų rengimo ir teritorijų planavimo proceso valstybės priežiūros informacinėje svetainėje (TPDRIS.lt) ir Vilniaus rajono savivaldybės interneto svetainėje (vrsa.lt). Pasiūlymus dėl pagrindinės žemės naudojimo paskirties ir žemės naudojimo būdo keitimo galima teikti iki 2024-08-05 Vilniaus rajono savivaldybės administracijai (Rinktinės g. 50, Vilnius) raštu ir Lietuvos Respublikos teritorijų planavimo dokumentų rengimo ir teritorijų planavimo proceso valstybinės priežiūros informacinėje sistemoje.

Ištrauka iš Kraštovaizdžio spec. plano

Prašymas

2024-07-23

  •  

 

 

Priimtas sprendimas dėl žemės sklypo (kad. Nr. 4182/0400:492), esančio Vilniaus r. sav., Rukainių sen., Mūrininkų k., pagrindinės žemės naudojimo paskirties ir žemės naudojimo būdo keitimo.

Sprendimas

2024-07-22

Informuojame apie pateiktą nagrinėti prašymą dėl žemės sklypo (kad. Nr. 4120/0100:965), esančio Vilniaus r. sav., Nemenčinės m.,  Švenčionių g. 106, (toliau – Žemės sklypas) pagrindinės žemės naudojimo paskirties ir žemės naudojimo būdo keitimą. Prašymo tikslas: 0,5695 ha ploto kitos paskirties Žemės sklypo  žemės naudojimo būdo keitimas į daugiabučių gyvenamųjų pastatų ir bendrabučių teritorijos. Su prašymu galima susipažinti nuo 2024-07-22 iki 2024-08-02 Lietuvos Respublikos teritorijų planavimo dokumentų rengimo ir teritorijų planavimo proceso valstybės priežiūros informacinėje svetainėje (TPDRIS.lt) ir Vilniaus rajono savivaldybės interneto svetainėje (vrsa.lt). Pasiūlymus dėl pagrindinės žemės naudojimo paskirties ir žemės naudojimo būdo keitimo galima teikti iki 2024-08-02 Vilniaus rajono savivaldybės administracijai (Rinktinės g. 50, Vilnius) raštu ir Lietuvos Respublikos teritorijų planavimo dokumentų rengimo ir teritorijų planavimo proceso valstybinės priežiūros informacinėje sistemoje.

 

Ištrauka iš Kraštovaizdžio spec. plano

Prašymas

2024-07-22

Informuojame apie pateiktą nagrinėti prašymą dėl žemės sklypo (kad. Nr. 4107/0600:24), esančio Vilniaus r. sav., Bezdonių sen., Sakiškių k., (toliau – Žemės sklypas) pagrindinės žemės naudojimo paskirties ir žemės naudojimo būdo keitimą. Prašymo tikslas: 0,1526 ha ploto žemės ūkio paskirties Žemės sklypo pagrindinės žemės naudojimo paskirties ir žemės naudojimo būdo keitimas į kitos – vienbučių ir dvibučių gyvenamųjų pastatų teritorijos. Su prašymu galima susipažinti nuo 2024-07-22 iki 2024-08-02 Lietuvos Respublikos teritorijų planavimo dokumentų rengimo ir teritorijų planavimo proceso valstybės priežiūros informacinėje svetainėje (TPDRIS.lt) ir Vilniaus rajono savivaldybės interneto svetainėje (vrsa.lt). Pasiūlymus dėl pagrindinės žemės naudojimo paskirties ir žemės naudojimo būdo keitimo galima teikti iki 2024-08-02 Vilniaus rajono savivaldybės administracijai (Rinktinės g. 50, Vilnius) raštu ir Lietuvos Respublikos teritorijų planavimo dokumentų rengimo ir teritorijų planavimo proceso valstybinės priežiūros informacinėje sistemoje.

Ištrauka iš Kraštovaizdžio spec. plano

Prašymas

2024-07-22

Informuojame apie pateiktą nagrinėti prašymą dėl žemės sklypo (kad. Nr. 4162/0200:2283), esančio Vilniaus r. sav., Nemėžio sen., Didžiasalio k., (toliau – Žemės sklypas) pagrindinės žemės naudojimo paskirties ir žemės naudojimo būdo keitimą. Prašymo tikslas: 0,2000 ha ploto žemės ūkio paskirties Žemės sklypo pagrindinės žemės naudojimo paskirties ir žemės naudojimo būdo keitimas į kitos – vienbučių ir dvibučių gyvenamųjų pastatų teritorijos. Su prašymu galima susipažinti nuo 2024-07-22 iki 2024-08-02 Lietuvos Respublikos teritorijų planavimo dokumentų rengimo ir teritorijų planavimo proceso valstybės priežiūros informacinėje svetainėje (TPDRIS.lt) ir Vilniaus rajono savivaldybės interneto svetainėje (vrsa.lt). Pasiūlymus dėl pagrindinės žemės naudojimo paskirties ir žemės naudojimo būdo keitimo galima teikti iki 2024-08-02 Vilniaus rajono savivaldybės administracijai (Rinktinės g. 50, Vilnius) raštu ir Lietuvos Respublikos teritorijų planavimo dokumentų rengimo ir teritorijų planavimo proceso valstybinės priežiūros informacinėje sistemoje.

Ištrauka iš Kraštovaizdžio spec. plano

Prašymas

2024-07-22

Informuojame apie pateiktą nagrinėti prašymą dėl žemės sklypo (kad. Nr. 4184/0400:758), esančio Vilniaus r. sav., Sudervės sen., Izabelinės k., Vilniaus g. 9, (toliau – Žemės sklypas)  žemės naudojimo būdo keitimą. Prašymo tikslas: 2,0385 ha ploto kitos paskirties Žemės sklypo žemės naudojimo būdo keitimas į  – pramonės ir sadėliavbimo objektųteritorijos. Su prašymu galima susipažinti nuo 2024-07-18 iki 2024-07-31 Lietuvos Respublikos teritorijų planavimo dokumentų rengimo ir teritorijų planavimo proceso valstybės priežiūros informacinėje svetainėje (TPDRIS.lt) ir Vilniaus rajono savivaldybės interneto svetainėje (vrsa.lt). Pasiūlymus dėl pagrindinės žemės naudojimo paskirties ir žemės naudojimo būdo keitimo galima teikti iki 2024-07-31 Vilniaus rajono savivaldybės administracijai (Rinktinės g. 50, Vilnius) raštu ir Lietuvos Respublikos teritorijų planavimo dokumentų rengimo ir teritorijų planavimo proceso valstybinės priežiūros informacinėje sistemoje.

Ištrauka iš Kraštovaizdžio spec. plano

Prašymas

2024-07-18

Informuojame apie pateiktą nagrinėti prašymą dėl žemės sklypo (kad. Nr. 4162/0100:3126), esančio Vilniaus r. sav., Nemėžio sen., Kuprioniškių k., (toliau – Žemės sklypas) pagrindinės žemės naudojimo paskirties ir žemės naudojimo būdo keitimą. Prašymo tikslas: 0,1500 ha ploto žemės ūkio paskirties Žemės sklypo pagrindinės žemės naudojimo paskirties ir žemės naudojimo būdo keitimas į kitos – vienbučių ir dvibučių gyvenamųjų pastatų teritorijos. Su prašymu galima susipažinti nuo 2024-07-18 iki 2024-07-31 Lietuvos Respublikos teritorijų planavimo dokumentų rengimo ir teritorijų planavimo proceso valstybės priežiūros informacinėje svetainėje (TPDRIS.lt) ir Vilniaus rajono savivaldybės interneto svetainėje (vrsa.lt). Pasiūlymus dėl pagrindinės žemės naudojimo paskirties ir žemės naudojimo būdo keitimo galima teikti iki 2024-07-31 Vilniaus rajono savivaldybės administracijai (Rinktinės g. 50, Vilnius) raštu ir Lietuvos Respublikos teritorijų planavimo dokumentų rengimo ir teritorijų planavimo proceso valstybinės priežiūros informacinėje sistemoje.

Ištrauka iš Vilniaus rajono savivaldybės teritorijos dalies („U“ žemės naudojimo funkcinės zonos Avižienių, Juodšilių, Nemėžio, Pagirių, Riešės, Rudaminos ir Zujūnų seniūnijose) bendrojo plano

Prašymas

2024-07-18

 

Informuojame apie pateiktą nagrinėti prašymą dėl žemės sklypo (kad. Nr. 4110/0400:723), esančio Vilniaus r. sav., Zujūnų sen., Koplyčninkų k.,Koplyčninkų g. 32A, (toliau – Žemės sklypas) pagrindinės žemės būdo keitimą. Prašymo tikslas: 0,2633 ha ploto kitos paskirties Žemės sklypo žemės naudojimo būdo keitimas į kitos – vienbučių ir dvibučių gyvenamųjų pastatų teritorijos. Su prašymu galima susipažinti nuo 2024-07-18 iki 2024-07-31 Lietuvos Respublikos teritorijų planavimo dokumentų rengimo ir teritorijų planavimo proceso valstybės priežiūros informacinėje svetainėje (TPDRIS.lt) ir Vilniaus rajono savivaldybės interneto svetainėje (vrsa.lt). Pasiūlymus dėl pagrindinės žemės naudojimo paskirties ir žemės naudojimo būdo keitimo galima teikti iki 2024-07-31 Vilniaus rajono savivaldybės administracijai (Rinktinės g. 50, Vilnius) raštu ir Lietuvos Respublikos teritorijų planavimo dokumentų rengimo ir teritorijų planavimo proceso valstybinės priežiūros informacinėje sistemoje.

 

Ištrauka iš Kraštovaizdžio spec. plano

Prašymas

2024-07-18

Informuojame apie pateiktą nagrinėti prašymą dėl žemės sklypo (kad. Nr. 4117/0300:1087), esančio Vilniaus r. sav., Riešės sen., Pašilių k., Pašilių g. 20, (toliau – Žemės sklypas) pagrindinės žemės naudojimo paskirties ir žemės naudojimo būdo keitimą. Prašymo tikslas: 0,3430 ha ploto žemės ūkio paskirties Žemės sklypo pagrindinės žemės naudojimo paskirties ir žemės naudojimo būdo keitimas įkitos – vienbučių ir dvibučių gyvenamųjų pastatų teritorijos. Su prašymu galima susipažinti nuo 2024-07-18 iki 2024-07-31 Lietuvos Respublikos teritorijų planavimo dokumentų rengimo ir teritorijų planavimo proceso valstybės priežiūros informacinėje svetainėje (TPDRIS.lt) ir Vilniaus rajono savivaldybės interneto svetainėje (vrsa.lt). Pasiūlymus dėl pagrindinės žemės naudojimo paskirties ir žemės naudojimo būdo keitimo galima teikti iki 2024-07-31 Vilniaus rajono savivaldybės administracijai (Rinktinės g. 50, Vilnius) raštu ir Lietuvos Respublikos teritorijų planavimo dokumentų rengimo ir teritorijų planavimo proceso valstybinės priežiūros informacinėje sistemoje.

Ištrauka iš Kraštovaizdžio spec. plano

Prašymas

2024-07-18

Informuojame apie pateiktą nagrinėti prašymą dėl žemės sklypo (kad. Nr. 4103/0300:2001 ), esančio Vilniaus r. sav., Avižienių sen., Bukiškio k., Mokyklos g. 1, (toliau – Žemės sklypas) pagrindinės žemės naudojimo paskirties ir žemės naudojimo būdo keitimą. Prašymo tikslas: 6,8988 ha ploto žemės ūkio paskirties Žemės sklypo pagrindinės žemės naudojimo paskirties ir žemės naudojimo būdo keitimas į kitos – visuomeninės paskirties teritorijos. Su prašymu galima susipažinti nuo 2024-07-18 iki 2024-07-31 Lietuvos Respublikos teritorijų planavimo dokumentų rengimo ir teritorijų planavimo proceso valstybės priežiūros informacinėje svetainėje (TPDRIS.lt) ir Vilniaus rajono savivaldybės interneto svetainėje (vrsa.lt). Pasiūlymus dėl pagrindinės žemės naudojimo paskirties ir žemės naudojimo būdo keitimo galima teikti iki 2024-07-31 Vilniaus rajono savivaldybės administracijai (Rinktinės g. 50, Vilnius) raštu ir Lietuvos Respublikos teritorijų planavimo dokumentų rengimo ir teritorijų planavimo proceso valstybinės priežiūros informacinėje sistemoje.

Ištrauka iš Vilniaus rajono savivaldybės teritorijos dalies („U“ žemės naudojimo funkcinės zonos Avižienių, Juodšilių, Nemėžio, Pagirių, Riešės, Rudaminos ir Zujūnų seniūnijose) bendrojo plano

Prašymas

2024-07-18

Informuojame apie pateiktą nagrinėti prašymą dėl žemės sklypo (kad. Nr. 4172/0200:717), esančio Vilniaus r. sav., Nemenčinė sen., Kukutiškių k., (toliau – Žemės sklypas) pagrindinės žemės naudojimo paskirties ir žemės naudojimo būdo keitimą. Prašymo tikslas: 0,1603 ha ploto žemės ūkio paskirties Žemės sklypo pagrindinės žemės naudojimo paskirties ir žemės naudojimo būdo keitimas įkitos – vienbučių ir dvibučių gyvenamųjų pastatų teritorijos. Su prašymu galima susipažinti nuo 2024-07-18 iki 2024-07-31 Lietuvos Respublikos teritorijų planavimo dokumentų rengimo ir teritorijų planavimo proceso valstybės priežiūros informacinėje svetainėje (TPDRIS.lt) ir Vilniaus rajono savivaldybės interneto svetainėje (vrsa.lt). Pasiūlymus dėl pagrindinės žemės naudojimo paskirties ir žemės naudojimo būdo keitimo galima teikti iki 2024-07-31 Vilniaus rajono savivaldybės administracijai (Rinktinės g. 50, Vilnius) raštu ir Lietuvos Respublikos teritorijų planavimo dokumentų rengimo ir teritorijų planavimo proceso valstybinės priežiūros informacinėje sistemoje.

Ištrauka iš Kraštovaizdžio spec. plano

Prašymas

2024-07-18

 

 

Informuojame apie pateiktą nagrinėti prašymą dėl žemės sklypo (kad. Nr. 4172/0200:719), esančio Vilniaus r. sav., Nemenčinė sen., Kukutiškių k., (toliau – Žemės sklypas) pagrindinės žemės naudojimo paskirties ir žemės naudojimo būdo keitimą. Prašymo tikslas: 0,4348 ha ploto žemės ūkio paskirties Žemės sklypo pagrindinės žemės naudojimo paskirties ir žemės naudojimo būdo keitimas įkitos – vienbučių ir dvibučių gyvenamųjų pastatų teritorijos. Su prašymu galima susipažinti nuo 2024-07-18 iki 2024-07-31 Lietuvos Respublikos teritorijų planavimo dokumentų rengimo ir teritorijų planavimo proceso valstybės priežiūros informacinėje svetainėje (TPDRIS.lt) ir Vilniaus rajono savivaldybės interneto svetainėje (vrsa.lt). Pasiūlymus dėl pagrindinės žemės naudojimo paskirties ir žemės naudojimo būdo keitimo galima teikti iki 2024-07-31 Vilniaus rajono savivaldybės administracijai (Rinktinės g. 50, Vilnius) raštu ir Lietuvos Respublikos teritorijų planavimo dokumentų rengimo ir teritorijų planavimo proceso valstybinės priežiūros informacinėje sistemoje.

Ištrauka iš Kraštovaizdžio spec. plano

Prašymas

2024-07-18

 

Informuojame apie pateiktą nagrinėti prašymą dėl žemės sklypo (kad. Nr. 4172/0200:718), esančio Vilniaus r. sav., Nemenčinė sen., Kukutiškių k., (toliau – Žemės sklypas) pagrindinės žemės naudojimo paskirties ir žemės naudojimo būdo keitimą. Prašymo tikslas: 0,1600 ha ploto žemės ūkio paskirties Žemės sklypo pagrindinės žemės naudojimo paskirties ir žemės naudojimo būdo keitimas įkitos – vienbučių ir dvibučių gyvenamųjų pastatų teritorijos. Su prašymu galima susipažinti nuo 2024-07-18 iki 2024-07-31 Lietuvos Respublikos teritorijų planavimo dokumentų rengimo ir teritorijų planavimo proceso valstybės priežiūros informacinėje svetainėje (TPDRIS.lt) ir Vilniaus rajono savivaldybės interneto svetainėje (vrsa.lt). Pasiūlymus dėl pagrindinės žemės naudojimo paskirties ir žemės naudojimo būdo keitimo galima teikti iki 2024-07-31 Vilniaus rajono savivaldybės administracijai (Rinktinės g. 50, Vilnius) raštu ir Lietuvos Respublikos teritorijų planavimo dokumentų rengimo ir teritorijų planavimo proceso valstybinės priežiūros informacinėje sistemoje.

Ištrauka iš Kraštovaizdžio spec. plano

Prašymas

2024-07-18

 

Informuojame apie pateiktą nagrinėti prašymą dėl žemės sklypo (kad. Nr. 4172/0300:658), esančio Vilniaus r. sav., Nemenčinė sen., Pakrauglės vs. 9 (toliau – Žemės sklypas) pagrindinės žemės naudojimo paskirties ir žemės naudojimo būdo keitimą. Prašymo tikslas: 0,3200 ha ploto žemės ūkio paskirties Žemės sklypo pagrindinės žemės naudojimo paskirties ir žemės naudojimo būdo keitimas įkitos – vienbučių ir dvibučių gyvenamųjų pastatų teritorijos. Su prašymu galima susipažinti nuo 2024-07-18 iki 2024-07-31 Lietuvos Respublikos teritorijų planavimo dokumentų rengimo ir teritorijų planavimo proceso valstybės priežiūros informacinėje svetainėje (TPDRIS.lt) ir Vilniaus rajono savivaldybės interneto svetainėje (vrsa.lt). Pasiūlymus dėl pagrindinės žemės naudojimo paskirties ir žemės naudojimo būdo keitimo galima teikti iki 2024-07-31 Vilniaus rajono savivaldybės administracijai (Rinktinės g. 50, Vilnius) raštu ir Lietuvos Respublikos teritorijų planavimo dokumentų rengimo ir teritorijų planavimo proceso valstybinės priežiūros informacinėje sistemoje.

Ištrauka iš Kraštovaizdžio spec. plano

Prašymas

2024-07-18

 

 

Informuojame apie pateiktą nagrinėti prašymą dėl žemės sklypo (kad. Nr. 4147/0400:226), esančio Vilniaus r. sav., Maišiagalos sen., Maišiagalos mstl. (toliau – Žemės sklypas) pagrindinės žemės naudojimo paskirties ir žemės naudojimo būdo keitimą. Prašymo tikslas: 0,1502 ha ploto žemės ūkio paskirties Žemės sklypo pagrindinės žemės naudojimo paskirties ir žemės naudojimo būdo keitimas įkitos – vienbučių ir dvibučių gyvenamųjų pastatų teritorijos. Su prašymu galima susipažinti nuo 2024-07-17 iki 2024-07-30 Lietuvos Respublikos teritorijų planavimo dokumentų rengimo ir teritorijų planavimo proceso valstybės priežiūros informacinėje svetainėje (TPDRIS.lt) ir Vilniaus rajono savivaldybės interneto svetainėje (vrsa.lt). Pasiūlymus dėl pagrindinės žemės naudojimo paskirties ir žemės naudojimo būdo keitimo galima teikti iki 2024-07-30 Vilniaus rajono savivaldybės administracijai (Rinktinės g. 50, Vilnius) raštu ir Lietuvos Respublikos teritorijų planavimo dokumentų rengimo ir teritorijų planavimo proceso valstybinės priežiūros informacinėje sistemoje.

Ištrauka iš Kraštovaizdžio spec. plano

Prašymas

2024-07-17

Informuojame apie pateiktą nagrinėti prašymą dėl žemės sklypo (kad. Nr. 4103/0200:1319 ), esančio Vilniaus r. sav., Avižienių sen., Naujasodžių vs. (toliau – Žemės sklypas) pagrindinės žemės naudojimo paskirties ir žemės naudojimo būdo keitimą. Prašymo tikslas: 0,1194 ha ploto žemės ūkio paskirties Žemės sklypo pagrindinės žemės naudojimo paskirties ir žemės naudojimo būdo keitimas įkitos – vienbučių ir dvibučių gyvenamųjų pastatų teritorijos. Su prašymu galima susipažinti nuo 2024-07-17 iki 2024-07-30 Lietuvos Respublikos teritorijų planavimo dokumentų rengimo ir teritorijų planavimo proceso valstybės priežiūros informacinėje svetainėje (TPDRIS.lt) ir Vilniaus rajono savivaldybės interneto svetainėje (vrsa.lt). Pasiūlymus dėl pagrindinės žemės naudojimo paskirties ir žemės naudojimo būdo keitimo galima teikti iki 2024-07-30 Vilniaus rajono savivaldybės administracijai (Rinktinės g. 50, Vilnius) raštu ir Lietuvos Respublikos teritorijų planavimo dokumentų rengimo ir teritorijų planavimo proceso valstybinės priežiūros informacinėje sistemoje.

Ištrauka iš Vilniaus rajono savivaldybės teritorijos dalies („U“ žemės naudojimo funkcinės zonos Avižienių, Juodšilių, Nemėžio, Pagirių, Riešės, Rudaminos ir Zujūnų seniūnijose) bendrojo plano

Prašymas

2024-07-17

Informuojame apie pateiktą nagrinėti prašymą dėl žemės sklypo (kad. Nr. 4152/0400:690), esančio Vilniaus r. sav., Mickūnų sen., Egliškių k. (toliau – Žemės sklypas) pagrindinės žemės naudojimo paskirties ir žemės naudojimo būdo keitimą. Prašymo tikslas: 0,2224 ha ploto žemės ūkio paskirties Žemės sklypo pagrindinės žemės naudojimo paskirties ir žemės naudojimo būdo keitimas įkitos – vienbučių ir dvibučių gyvenamųjų pastatų teritorijos. Su prašymu galima susipažinti nuo 2024-07-12 iki 2024-07-25 Lietuvos Respublikos teritorijų planavimo dokumentų rengimo ir teritorijų planavimo proceso valstybės priežiūros informacinėje svetainėje (TPDRIS.lt) ir Vilniaus rajono savivaldybės interneto svetainėje (vrsa.lt). Pasiūlymus dėl pagrindinės žemės naudojimo paskirties ir žemės naudojimo būdo keitimo galima teikti iki 2024-07-25 Vilniaus rajono savivaldybės administracijai (Rinktinės g. 50, Vilnius) raštu ir Lietuvos Respublikos teritorijų planavimo dokumentų rengimo ir teritorijų planavimo proceso valstybinės priežiūros informacinėje sistemoje.

Ištrauka iš Kraštovaizdžio spec. plano

Prašymas

2024-07-12

Informuojame apie pateiktą nagrinėti prašymą dėl žemės sklypo (kad. Nr. 4152/0400:691), esančio Vilniaus r. sav., Mickūnų sen., Dievoniškių k. (toliau – Žemės sklypas) pagrindinės žemės naudojimo paskirties ir žemės naudojimo būdo keitimą. Prašymo tikslas: 0,4255 ha ploto žemės ūkio paskirties Žemės sklypo pagrindinės žemės naudojimo paskirties ir žemės naudojimo būdo keitimas įkitos – vienbučių ir dvibučių gyvenamųjų pastatų teritorijos. Su prašymu galima susipažinti nuo 2024-07-12 iki 2024-07-25 Lietuvos Respublikos teritorijų planavimo dokumentų rengimo ir teritorijų planavimo proceso valstybės priežiūros informacinėje svetainėje (TPDRIS.lt) ir Vilniaus rajono savivaldybės interneto svetainėje (vrsa.lt). Pasiūlymus dėl pagrindinės žemės naudojimo paskirties ir žemės naudojimo būdo keitimo galima teikti iki 2024-07-25 Vilniaus rajono savivaldybės administracijai (Rinktinės g. 50, Vilnius) raštu ir Lietuvos Respublikos teritorijų planavimo dokumentų rengimo ir teritorijų planavimo proceso valstybinės priežiūros informacinėje sistemoje.

Ištrauka iš Kraštovaizdžio spec. plano

Prašymas

2024-07-12

Informuojame apie pateiktą nagrinėti prašymą dėl žemės sklypo (kad. Nr. 4152/0400:689), esančio Vilniaus r. sav., Mickūnų sen., Egliškių k. (toliau – Žemės sklypas) pagrindinės žemės naudojimo paskirties ir žemės naudojimo būdo keitimą. Prašymo tikslas: 0,3975 ha ploto žemės ūkio paskirties Žemės sklypo pagrindinės žemės naudojimo paskirties ir žemės naudojimo būdo keitimas įkitos – vienbučių ir dvibučių gyvenamųjų pastatų teritorijos. Su prašymu galima susipažinti nuo 2024-07-12 iki 2024-07-25 Lietuvos Respublikos teritorijų planavimo dokumentų rengimo ir teritorijų planavimo proceso valstybės priežiūros informacinėje svetainėje (TPDRIS.lt) ir Vilniaus rajono savivaldybės interneto svetainėje (vrsa.lt). Pasiūlymus dėl pagrindinės žemės naudojimo paskirties ir žemės naudojimo būdo keitimo galima teikti iki 2024-07-25 Vilniaus rajono savivaldybės administracijai (Rinktinės g. 50, Vilnius) raštu ir Lietuvos Respublikos teritorijų planavimo dokumentų rengimo ir teritorijų planavimo proceso valstybinės priežiūros informacinėje sistemoje.

Ištrauka iš Kraštovaizdžio spec. plano

Prašymas

2024-07-12

Informuojame apie pateiktą nagrinėti prašymą dėl žemės sklypo (kad. Nr. 4152/2400:224), esančio Vilniaus r. sav., Mickūnų sen., Vališkių k. (toliau – Žemės sklypas) pagrindinės žemės naudojimo paskirties ir žemės naudojimo būdo keitimą. Prašymo tikslas: 0,2468 ha ploto žemės ūkio paskirties Žemės sklypo pagrindinės žemės naudojimo paskirties ir žemės naudojimo būdo keitimas įkitos – vienbučių ir dvibučių gyvenamųjų pastatų teritorijos. Su prašymu galima susipažinti nuo 2024-07-11 iki 2024-07-24 Lietuvos Respublikos teritorijų planavimo dokumentų rengimo ir teritorijų planavimo proceso valstybės priežiūros informacinėje svetainėje (TPDRIS.lt) ir Vilniaus rajono savivaldybės interneto svetainėje (vrsa.lt). Pasiūlymus dėl pagrindinės žemės naudojimo paskirties ir žemės naudojimo būdo keitimo galima teikti iki 2024-07-24 Vilniaus rajono savivaldybės administracijai (Rinktinės g. 50, Vilnius) raštu ir Lietuvos Respublikos teritorijų planavimo dokumentų rengimo ir teritorijų planavimo proceso valstybinės priežiūros informacinėje sistemoje.

Ištrauka iš Kraštovaizdžio spec. plano

Prašymas

2024-07-11

Informuojame apie pateiktą nagrinėti prašymą dėl žemės sklypo (kad. Nr. 4130/0100:414), esančio Vilniaus r. sav., Dūkštų sen., Rokiškių k. (toliau – Žemės sklypas) pagrindinės žemės naudojimo paskirties ir žemės naudojimo būdo keitimą. Prašymo tikslas: 0,1662 ha ploto žemės ūkio paskirties Žemės sklypo pagrindinės žemės naudojimo paskirties ir žemės naudojimo būdo keitimas įkitos – vienbučių ir dvibučių gyvenamųjų pastatų teritorijos. Su prašymu galima susipažinti nuo 2024-07-11 iki 2024-07-24 Lietuvos Respublikos teritorijų planavimo dokumentų rengimo ir teritorijų planavimo proceso valstybės priežiūros informacinėje svetainėje (TPDRIS.lt) ir Vilniaus rajono savivaldybės interneto svetainėje (vrsa.lt). Pasiūlymus dėl pagrindinės žemės naudojimo paskirties ir žemės naudojimo būdo keitimo galima teikti iki 2024-07-24 Vilniaus rajono savivaldybės administracijai (Rinktinės g. 50, Vilnius) raštu ir Lietuvos Respublikos teritorijų planavimo dokumentų rengimo ir teritorijų planavimo proceso valstybinės priežiūros informacinėje sistemoje.

Ištrauka iš Kraštovaizdžio spec. plano

Prašymas

2024-07-11

Informuojame apie pateiktą nagrinėti prašymą dėl žemės sklypo (kad. Nr. 4103/0200:2277), esančio Vilniaus r. sav., Avižienių sen., Avižienių k., (toliau – Žemės sklypas) pagrindinės žemės naudojimo paskirties ir žemės naudojimo būdo keitimą. Prašymo tikslas: 0,2000 ha ploto žemės ūkio paskirties Žemės sklypo pagrindinės žemės naudojimo paskirties ir žemės naudojimo būdo keitimas į kitos – Susisiekimo ir inžinerinių tinklų koridorių teritorijos. Su prašymu galima susipažinti nuo 2024-07-11 iki 2024-07-24 Lietuvos Respublikos teritorijų planavimo dokumentų rengimo ir teritorijų planavimo proceso valstybės priežiūros informacinėje svetainėje (TPDRIS.lt) ir Vilniaus rajono savivaldybės interneto svetainėje (vrsa.lt). Pasiūlymus dėl pagrindinės žemės naudojimo paskirties ir žemės naudojimo būdo keitimo galima teikti iki 2024-07-24 Vilniaus rajono savivaldybės administracijai (Rinktinės g. 50, Vilnius) raštu ir Lietuvos Respublikos teritorijų planavimo dokumentų rengimo ir teritorijų planavimo proceso valstybinės priežiūros informacinėje sistemoje.

Ištrauka iš Vilniaus rajono savivaldybės teritorijos dalies („U“ žemės naudojimo funkcinės zonos Avižienių, Juodšilių, Nemėžio, Pagirių, Riešės, Rudaminos ir Zujūnų seniūnijose) bendrojo plano

Prašymas

2024-07-11

Informuojame apie pateiktą nagrinėti prašymą dėl žemės sklypo (kad. Nr. 4103/0200:708), esančio Vilniaus r. sav., Avižienių sen., Avižienių k., Ąžuolų g. 2B, (toliau – Žemės sklypas)  žemės naudojimo būdo keitimą. Prašymo tikslas: 0,1500 ha ploto vienbučių ir dvibučių gyvenamųjų pastatų teritorijos į kitos – komercinės paskirties objektų teritorijos žemės naudojimo būdo keitimas. Su prašymu galima susipažinti nuo 2024-07-11 iki 2024-07-24 Lietuvos Respublikos teritorijų planavimo dokumentų rengimo ir teritorijų planavimo proceso valstybės priežiūros informacinėje svetainėje (TPDRIS.lt) ir Vilniaus rajono savivaldybės interneto svetainėje (vrsa.lt). Pasiūlymus dėl pagrindinės žemės naudojimo paskirties ir žemės naudojimo būdo keitimo galima teikti iki 2024-07-24 Vilniaus rajono savivaldybės administracijai (Rinktinės g. 50, Vilnius) raštu ir Lietuvos Respublikos teritorijų planavimo dokumentų rengimo ir teritorijų planavimo proceso valstybinės priežiūros informacinėje sistemoje.

Ištrauka iš Vilniaus rajono savivaldybės teritorijos dalies („U“ žemės naudojimo funkcinės zonos Avižienių, Juodšilių, Nemėžio, Pagirių, Riešės, Rudaminos ir Zujūnų seniūnijose) bendrojo plano

Prašymas

2024-07-11

Informuojame apie pateiktą nagrinėti prašymą dėl žemės sklypo (kad. Nr. 4152/0100:204), esančio Vilniaus r. sav., Mickūnų sen., Galgių k., Vakarinė g. 4 (toliau – Žemės sklypas) pagrindinės žemės naudojimo paskirties ir žemės naudojimo būdo keitimą. Prašymo tikslas: 0,5700 ha ploto žemės ūkio paskirties Žemės sklypo pagrindinės žemės naudojimo paskirties ir žemės naudojimo būdo keitimas įkitos – vienbučių ir dvibučių gyvenamųjų pastatų teritorijos. Su prašymu galima susipažinti nuo 2024-07-11 iki 2024-07-24 Lietuvos Respublikos teritorijų planavimo dokumentų rengimo ir teritorijų planavimo proceso valstybės priežiūros informacinėje svetainėje (TPDRIS.lt) ir Vilniaus rajono savivaldybės interneto svetainėje (vrsa.lt). Pasiūlymus dėl pagrindinės žemės naudojimo paskirties ir žemės naudojimo būdo keitimo galima teikti iki 2024-07-24 Vilniaus rajono savivaldybės administracijai (Rinktinės g. 50, Vilnius) raštu ir Lietuvos Respublikos teritorijų planavimo dokumentų rengimo ir teritorijų planavimo proceso valstybinės priežiūros informacinėje sistemoje.

Ištrauka iš Kraštovaizdžio spec. plano

Prašymas

2024-07-11

Informuojame apie pateiktą nagrinėti prašymą dėl žemės sklypo (kad. Nr. 4147/0400:214), esančio Vilniaus r. sav., Maišiagalos sen., Maišiagalos mstl. (toliau – Žemės sklypas) pagrindinės žemės naudojimo paskirties ir žemės naudojimo būdo keitimą. Prašymo tikslas: 0,5000 ha ploto žemės ūkio paskirties Žemės sklypo pagrindinės žemės naudojimo paskirties ir žemės naudojimo būdo keitimas įkitos – vienbučių ir dvibučių gyvenamųjų pastatų teritorijos. Su prašymu galima susipažinti nuo 2024-07-04 iki 2024-07-17 Lietuvos Respublikos teritorijų planavimo dokumentų rengimo ir teritorijų planavimo proceso valstybės priežiūros informacinėje svetainėje (TPDRIS.lt) ir Vilniaus rajono savivaldybės interneto svetainėje (vrsa.lt). Pasiūlymus dėl pagrindinės žemės naudojimo paskirties ir žemės naudojimo būdo keitimo galima teikti iki 2024-07-17 Vilniaus rajono savivaldybės administracijai (Rinktinės g. 50, Vilnius) raštu ir Lietuvos Respublikos teritorijų planavimo dokumentų rengimo ir teritorijų planavimo proceso valstybinės priežiūros informacinėje sistemoje.

Ištrauka iš Kraštovaizdžio spec. plano

Prašymas

2024-07-04

Informuojame apie pateiktą nagrinėti prašymą dėl žemės sklypo (kad. Nr. 4184/0500:903), esančio Vilniaus r. sav., Sudervės sen., Vydautiškių k. (toliau – Žemės sklypas) pagrindinės žemės naudojimo paskirties ir žemės naudojimo būdo keitimą. Prašymo tikslas: 0,0865 ha ploto žemės ūkio paskirties Žemės sklypo pagrindinės žemės naudojimo paskirties ir žemės naudojimo būdo keitimas įkitos – vienbučių ir dvibučių gyvenamųjų pastatų teritorijos. Su prašymu galima susipažinti nuo 2024-07-04 iki 2024-07-17 Lietuvos Respublikos teritorijų planavimo dokumentų rengimo ir teritorijų planavimo proceso valstybės priežiūros informacinėje svetainėje (TPDRIS.lt) ir Vilniaus rajono savivaldybės interneto svetainėje (vrsa.lt). Pasiūlymus dėl pagrindinės žemės naudojimo paskirties ir žemės naudojimo būdo keitimo galima teikti iki 2024-07-17 Vilniaus rajono savivaldybės administracijai (Rinktinės g. 50, Vilnius) raštu ir Lietuvos Respublikos teritorijų planavimo dokumentų rengimo ir teritorijų planavimo proceso valstybinės priežiūros informacinėje sistemoje.

Ištrauka iš Kraštovaizdžio spec. plano

Prašymas

2024-07-04

Informuojame apie pateiktą nagrinėti prašymą dėl žemės sklypo (kad. Nr. 4152/0800:926), esančio Vilniaus r. sav., Mickūnų sen., Mickūnų mstl. (toliau – Žemės sklypas) pagrindinės žemės naudojimo paskirties ir žemės naudojimo būdo keitimą. Prašymo tikslas: 0,4068 ha ploto žemės ūkio paskirties Žemės sklypo pagrindinės žemės naudojimo paskirties ir žemės naudojimo būdo keitimas įkitos – vienbučių ir dvibučių gyvenamųjų pastatų teritorijos. Su prašymu galima susipažinti nuo 2024-07-04 iki 2024-07-17 Lietuvos Respublikos teritorijų planavimo dokumentų rengimo ir teritorijų planavimo proceso valstybės priežiūros informacinėje svetainėje (TPDRIS.lt) ir Vilniaus rajono savivaldybės interneto svetainėje (vrsa.lt). Pasiūlymus dėl pagrindinės žemės naudojimo paskirties ir žemės naudojimo būdo keitimo galima teikti iki 2024-07-17 Vilniaus rajono savivaldybės administracijai (Rinktinės g. 50, Vilnius) raštu ir Lietuvos Respublikos teritorijų planavimo dokumentų rengimo ir teritorijų planavimo proceso valstybinės priežiūros informacinėje sistemoje.

Ištrauka iš Kraštovaizdžio spec. plano

Prašymas

2024-07-04

Informuojame apie pateiktą nagrinėti prašymą dėl žemės sklypo (kad. Nr. 4192/0100:363), esančio Vilniaus r. sav., Sužionių sen., Veriškių k. (toliau – Žemės sklypas) pagrindinės žemės naudojimo paskirties ir žemės naudojimo būdo keitimą. Prašymo tikslas: 0,2500 ha ploto žemės ūkio paskirties Žemės sklypo pagrindinės žemės naudojimo paskirties ir žemės naudojimo būdo keitimas įkitos – vienbučių ir dvibučių gyvenamųjų pastatų teritorijos. Su prašymu galima susipažinti nuo 2024-07-04 iki 2024-07-17 Lietuvos Respublikos teritorijų planavimo dokumentų rengimo ir teritorijų planavimo proceso valstybės priežiūros informacinėje svetainėje (TPDRIS.lt) ir Vilniaus rajono savivaldybės interneto svetainėje (vrsa.lt). Pasiūlymus dėl pagrindinės žemės naudojimo paskirties ir žemės naudojimo būdo keitimo galima teikti iki 2024-07-17 Vilniaus rajono savivaldybės administracijai (Rinktinės g. 50, Vilnius) raštu ir Lietuvos Respublikos teritorijų planavimo dokumentų rengimo ir teritorijų planavimo proceso valstybinės priežiūros informacinėje sistemoje.

Ištrauka iš Kraštovaizdžio spec. plano

Prašymas

2024-07-04

Priimtas sprendimas dėl žemės sklypo (kad. Nr. 4103/0100:1093), esančio Vilniaus r. sav., Avižienių sen., Pikutiškių k., Šalnų g. 4,  žemės naudojimo būdo keitimo.

Sprendimas

2024-06-18

Informuojame apie pateiktą nagrinėti prašymą dėl žemės sklypo (kad. Nr.4122/0200:149), esančio Vilniaus r. sav., Pagirių sen., Mažųjų Lygainių k, (toliau – Žemės sklypas) pagrindinės žemės naudojimo paskirties ir žemės naudojimo būdo keitimą. Prašymo tikslas: 0,3500 ha ploto žemės ūkio paskirties Žemės sklypo pagrindinės žemės naudojimo paskirties ir žemės naudojimo būdo keitimas į miško ūkio paskirties - ūkinių miškų sklypai. Su prašymu galima susipažinti nuo 2024-06-13 iki 2024-06-26 Lietuvos Respublikos teritorijų planavimo dokumentų rengimo ir teritorijų planavimo proceso valstybės priežiūros informacinėje svetainėje (TPDRIS.lt) ir Vilniaus rajono savivaldybės interneto svetainėje (vrsa.lt). Pasiūlymus dėl pagrindinės žemės naudojimo paskirties ir žemės naudojimo būdo keitimo galima teikti iki 2024-06-26 Vilniaus rajono savivaldybės administracijai (Rinktinės g. 50, Vilnius) raštu ir Lietuvos Respublikos teritorijų planavimo dokumentų rengimo ir teritorijų planavimo proceso valstybinės priežiūros informacinėje sistemoje.

Ištrauka iš Kraštovaizdžio spec. plano

Prašymas

2024-06-13

Informuojame apie pateiktą nagrinėti prašymą dėl žemės sklypo (kad. Nr.4107/0600:0703), esančio Vilniaus r. sav., Bezdonių sen., Sakiškių k., (toliau – Žemės sklypas) pagrindinės žemės naudojimo paskirties ir žemės naudojimo būdo keitimą. Prašymo tikslas: 0,8200 ha ploto žemės ūkio paskirties Žemės sklypo pagrindinės žemės naudojimo paskirties ir žemės naudojimo būdo keitimas į miško ūkio paskirties - ūkinių miškų sklypai. Su prašymu galima susipažinti nuo 2024-06-13 iki 2024-06-26 Lietuvos Respublikos teritorijų planavimo dokumentų rengimo ir teritorijų planavimo proceso valstybės priežiūros informacinėje svetainėje (TPDRIS.lt) ir Vilniaus rajono savivaldybės interneto svetainėje (vrsa.lt). Pasiūlymus dėl pagrindinės žemės naudojimo paskirties ir žemės naudojimo būdo keitimo galima teikti iki 2024-06-26 Vilniaus rajono savivaldybės administracijai (Rinktinės g. 50, Vilnius) raštu ir Lietuvos Respublikos teritorijų planavimo dokumentų rengimo ir teritorijų planavimo proceso valstybinės priežiūros informacinėje sistemoje.

Ištrauka iš Kraštovaizdžio spec. plano

Prašymas

2024-06-13

Informuojame apie pateiktą nagrinėti prašymą dėl žemės sklypo (kad. Nr.4112/0200:234), esančio Vilniaus r. sav., Buivydžių sen., Buivydžių II k., (toliau – Žemės sklypas) pagrindinės žemės naudojimo paskirties ir žemės naudojimo būdo keitimą. Prašymo tikslas: 7,1400 ha ploto žemės ūkio paskirties Žemės sklypo pagrindinės žemės naudojimo paskirties ir žemės naudojimo būdo keitimas į miško ūkio paskirties - ūkinių miškų sklypai. Su prašymu galima susipažinti nuo 2024-06-13 iki 2024-06-26 Lietuvos Respublikos teritorijų planavimo dokumentų rengimo ir teritorijų planavimo proceso valstybės priežiūros informacinėje svetainėje (TPDRIS.lt) ir Vilniaus rajono savivaldybės interneto svetainėje (vrsa.lt). Pasiūlymus dėl pagrindinės žemės naudojimo paskirties ir žemės naudojimo būdo keitimo galima teikti iki 2024-06-26 Vilniaus rajono savivaldybės administracijai (Rinktinės g. 50, Vilnius) raštu ir Lietuvos Respublikos teritorijų planavimo dokumentų rengimo ir teritorijų planavimo proceso valstybinės priežiūros informacinėje sistemoje.

Ištrauka iš Kraštovaizdžio spec. plano

Prašymas

2024-06-13

Informuojame apie pateiktą nagrinėti prašymą dėl žemės sklypo (kad. Nr.4107/0600:704), esančio Vilniaus r. sav., Bezdonių sen., Pasakiškių k, (toliau – Žemės sklypas) pagrindinės žemės naudojimo paskirties ir žemės naudojimo būdo keitimą. Prašymo tikslas: 1,7800 ha ploto žemės ūkio paskirties Žemės sklypo pagrindinės žemės naudojimo paskirties ir žemės naudojimo būdo keitimas į miško ūkio paskirties - ūkinių miškų sklypai. Su prašymu galima susipažinti nuo 2024-0613 iki 2024-06-26 Lietuvos Respublikos teritorijų planavimo dokumentų rengimo ir teritorijų planavimo proceso valstybės priežiūros informacinėje svetainėje (TPDRIS.lt) ir Vilniaus rajono savivaldybės interneto svetainėje (vrsa.lt). Pasiūlymus dėl pagrindinės žemės naudojimo paskirties ir žemės naudojimo būdo keitimo galima teikti iki 2024-06-26 Vilniaus rajono savivaldybės administracijai (Rinktinės g. 50, Vilnius) raštu ir Lietuvos Respublikos teritorijų planavimo dokumentų rengimo ir teritorijų planavimo proceso valstybinės priežiūros informacinėje sistemoje.

Ištrauka iš Kraštovaizdžio spec. plano

Prašymas

2024-06-13

Informuojame apie pateiktą nagrinėti prašymą dėl žemės sklypo (kad. Nr. 4107/0500:343), esančio Vilniaus r. sav., Bezdonių sen., Bezdonių k., (toliau – Žemės sklypas) pagrindinės žemės naudojimo paskirties ir žemės naudojimo būdo keitimą. Prašymo tikslas: 0,7300 ha ploto žemės ūkio paskirties Žemės sklypo pagrindinės žemės naudojimo paskirties ir žemės naudojimo būdo keitimas į miško ūkio paskirties - ūkinių miškų sklypai. Su prašymu galima susipažinti nuo 2024-0613 iki 2024-06-26 Lietuvos Respublikos teritorijų planavimo dokumentų rengimo ir teritorijų planavimo proceso valstybės priežiūros informacinėje svetainėje (TPDRIS.lt) ir Vilniaus rajono savivaldybės interneto svetainėje (vrsa.lt). Pasiūlymus dėl pagrindinės žemės naudojimo paskirties ir žemės naudojimo būdo keitimo galima teikti iki 2024-06-26 Vilniaus rajono savivaldybės administracijai (Rinktinės g. 50, Vilnius) raštu ir Lietuvos Respublikos teritorijų planavimo dokumentų rengimo ir teritorijų planavimo proceso valstybinės priežiūros informacinėje sistemoje.

Ištrauka iš Kraštovaizdžio spec. plano

Prašymas

2024-06-13

Informuojame apie pateiktą nagrinėti prašymą dėl žemės sklypo (kad. Nr. 4157/0300:159), esančio Vilniaus r. sav., Lavoriškių sen., Skynimų k. (toliau – Žemės sklypas) pagrindinės žemės naudojimo paskirties ir žemės naudojimo būdo keitimą. Prašymo tikslas: 0,3000 ha ploto žemės ūkio paskirties Žemės sklypo pagrindinės žemės naudojimo paskirties ir žemės naudojimo būdo keitimas įkitos – vienbučių ir dvibučių gyvenamųjų pastatų teritorijos. Su prašymu galima susipažinti nuo 2024-07-03 iki 2024-07-16 Lietuvos Respublikos teritorijų planavimo dokumentų rengimo ir teritorijų planavimo proceso valstybės priežiūros informacinėje svetainėje (TPDRIS.lt) ir Vilniaus rajono savivaldybės interneto svetainėje (vrsa.lt). Pasiūlymus dėl pagrindinės žemės naudojimo paskirties ir žemės naudojimo būdo keitimo galima teikti iki 2024-07-16 Vilniaus rajono savivaldybės administracijai (Rinktinės g. 50, Vilnius) raštu ir Lietuvos Respublikos teritorijų planavimo dokumentų rengimo ir teritorijų planavimo proceso valstybinės priežiūros informacinėje sistemoje.

Ištrauka iš Kraštovaizdžio spec. plano

Prašymas

2024-07-03

Informuojame apie pateiktą nagrinėti prašymą dėl žemės sklypo (kad. Nr. 4140/0400:578), esančio Vilniaus r. sav., Kalvelių sen., Kalvelių k. (toliau – Žemės sklypas) pagrindinės žemės naudojimo paskirties ir žemės naudojimo būdo keitimą. Prašymo tikslas: 0,1043 ha ploto žemės ūkio paskirties Žemės sklypo pagrindinės žemės naudojimo paskirties ir žemės naudojimo būdo keitimas įkitos – vienbučių ir dvibučių gyvenamųjų pastatų teritorijos. Su prašymu galima susipažinti nuo 2024-07-03 iki 2024-07-16 Lietuvos Respublikos teritorijų planavimo dokumentų rengimo ir teritorijų planavimo proceso valstybės priežiūros informacinėje svetainėje (TPDRIS.lt) ir Vilniaus rajono savivaldybės interneto svetainėje (vrsa.lt). Pasiūlymus dėl pagrindinės žemės naudojimo paskirties ir žemės naudojimo būdo keitimo galima teikti iki 2024-07-16 Vilniaus rajono savivaldybės administracijai (Rinktinės g. 50, Vilnius) raštu ir Lietuvos Respublikos teritorijų planavimo dokumentų rengimo ir teritorijų planavimo proceso valstybinės priežiūros informacinėje sistemoje.

Ištrauka iš Kraštovaizdžio spec. plano

Prašymas

2024-07-03

Informuojame apie pateiktą nagrinėti prašymą dėl žemės sklypo (kad. Nr. 4162/0200:2089), esančio Vilniaus r. sav., Nemėžio sen., Didžiasalio k., (toliau – Žemės sklypas) pagrindinės žemės naudojimo paskirties ir žemės naudojimo būdo keitimą. Prašymo tikslas: 0,0875 ha ploto žemės ūkio paskirties Žemės sklypo pagrindinės žemės naudojimo paskirties ir žemės naudojimo būdo keitimas į kitos – inžnerinės infrastruktūros teritorijos teritorijos žemės naudojimo būdo keitimas. Su prašymu galima susipažinti nuo 2024-07-03 iki 2024-07-16 Lietuvos Respublikos teritorijų planavimo dokumentų rengimo ir teritorijų planavimo proceso valstybės priežiūros informacinėje svetainėje (TPDRIS.lt) ir Vilniaus rajono savivaldybės interneto svetainėje (vrsa.lt). Pasiūlymus dėl pagrindinės žemės naudojimo paskirties ir žemės naudojimo būdo keitimo galima teikti iki 2024-07-16 Vilniaus rajono savivaldybės administracijai (Rinktinės g. 50, Vilnius) raštu ir Lietuvos Respublikos teritorijų planavimo dokumentų rengimo ir teritorijų planavimo proceso valstybinės priežiūros informacinėje sistemoje.

Ištrauka iš Vilniaus rajono savivaldybės teritorijos dalies („U“ žemės naudojimo funkcinės zonos Avižienių, Juodšilių, Nemėžio, Pagirių, Riešės, Rudaminos ir Zujūnų seniūnijose) bendrojo plano

Prašymas

2024-07-03

Informuojame apie pateiktą nagrinėti prašymą dėl žemės sklypo (kad. Nr. 4162/0200:2091), esančio Vilniaus r. sav., Nemėžio sen., Didžiasalio k., Filaretų g. 13A, (toliau – Žemės sklypas) pagrindinės žemės naudojimo paskirties ir žemės naudojimo būdo keitimą. Prašymo tikslas: 0,1825 ha ploto vienbučių ir dvibučių gyvenamųjų pastatų teritorijos į kitos – komercinės paskirties objektų teritorijos žemės naudojimo būdo keitimas. Su prašymu galima susipažinti nuo 2024-07-03 iki 2024-07-16Lietuvos Respublikos teritorijų planavimo dokumentų rengimo ir teritorijų planavimo proceso valstybės priežiūros informacinėje svetainėje (TPDRIS.lt) ir Vilniaus rajono savivaldybės interneto svetainėje (vrsa.lt). Pasiūlymus dėl pagrindinės žemės naudojimo paskirties ir žemės naudojimo būdo keitimo galima teikti iki 2024-07-16 Vilniaus rajono savivaldybės administracijai (Rinktinės g. 50, Vilnius) raštu ir Lietuvos Respublikos teritorijų planavimo dokumentų rengimo ir teritorijų planavimo proceso valstybinės priežiūros informacinėje sistemoje.

Ištrauka iš Vilniaus rajono savivaldybės teritorijos dalies („U“ žemės naudojimo funkcinės zonos Avižienių, Juodšilių, Nemėžio, Pagirių, Riešės, Rudaminos ir Zujūnų seniūnijose) bendrojo plano

Prašymas

2024-07-03

Informuojame apie pateiktą nagrinėti prašymą dėl žemės sklypo (kad. Nr. 4162/0200:2090), esančio Vilniaus r. sav., Nemėžio sen., Didžiasalio k., Filaretų g. 13, (toliau – Žemės sklypas) pagrindinės žemės naudojimo paskirties ir žemės naudojimo būdo keitimą. Prašymo tikslas: 0,1825 ha ploto vienbučių ir dvibučių gyvenamųjų pastatų teritorijos į kitos – komercinės paskirties objektų teritorijos žemės naudojimo būdo keitimas. Su prašymu galima susipažinti nuo 2024-07-03 iki 2024-07-16Lietuvos Respublikos teritorijų planavimo dokumentų rengimo ir teritorijų planavimo proceso valstybės priežiūros informacinėje svetainėje (TPDRIS.lt) ir Vilniaus rajono savivaldybės interneto svetainėje (vrsa.lt). Pasiūlymus dėl pagrindinės žemės naudojimo paskirties ir žemės naudojimo būdo keitimo galima teikti iki 2024-07-16 Vilniaus rajono savivaldybės administracijai (Rinktinės g. 50, Vilnius) raštu ir Lietuvos Respublikos teritorijų planavimo dokumentų rengimo ir teritorijų planavimo proceso valstybinės priežiūros informacinėje sistemoje.

Ištrauka iš Vilniaus rajono savivaldybės teritorijos dalies („U“ žemės naudojimo funkcinės zonos Avižienių, Juodšilių, Nemėžio, Pagirių, Riešės, Rudaminos ir Zujūnų seniūnijose) bendrojo plano

Prašymas

2024-07-03

Informuojame apie pateiktą nagrinėti prašymą dėl žemės sklypo (kad. Nr. 4162/0300:1097), esančio Vilniaus r. sav., Nemėžio sen., Liepiškių k. (toliau – Žemės sklypas) pagrindinės žemės naudojimo paskirties ir žemės naudojimo būdo keitimą. Prašymo tikslas: 0,2312 ha ploto žemės ūkio paskirties Žemės sklypo pagrindinės žemės naudojimo paskirties ir žemės naudojimo būdo keitimas įkitos – vienbučių ir dvibučių gyvenamųjų pastatų teritorijos. Su prašymu galima susipažinti nuo 2024-07-03 iki 2024-07-16 Lietuvos Respublikos teritorijų planavimo dokumentų rengimo ir teritorijų planavimo proceso valstybės priežiūros informacinėje svetainėje (TPDRIS.lt) ir Vilniaus rajono savivaldybės interneto svetainėje (vrsa.lt). Pasiūlymus dėl pagrindinės žemės naudojimo paskirties ir žemės naudojimo būdo keitimo galima teikti iki 2024-07-16 Vilniaus rajono savivaldybės administracijai (Rinktinės g. 50, Vilnius) raštu ir Lietuvos Respublikos teritorijų planavimo dokumentų rengimo ir teritorijų planavimo proceso valstybinės priežiūros informacinėje sistemoje.

Ištrauka iš Kraštovaizdžio spec. plano

Prašymas

2024-07-03

Informuojame apie pateiktą nagrinėti prašymą dėl žemės sklypo (kad. Nr.4103/0200:8698), esančio Vilniaus r. sav., Avižienių sen., Avižienių k. (toliau – Žemės sklypas) pagrindinės žemės naudojimo paskirties ir žemės naudojimo būdo keitimą. Prašymo tikslas: 0,2681 ha ploto kitos paskirties  bendro naudojimo (miestų, miestelių ir kaimų ar savivaldybių bendro naudojimo) teritorijos žemės naudojimo būdo keitimas į kitos – vienbučių ir dvibučių gyvenamųjų pastatų teritorijos. Su prašymu galima susipažinti nuo 2024-06-21 iki 2024-07-05 Lietuvos Respublikos teritorijų planavimo dokumentų rengimo ir teritorijų planavimo proceso valstybės priežiūros informacinėje svetainėje (TPDRIS.lt) ir Vilniaus rajono savivaldybės interneto svetainėje (vrsa.lt). Pasiūlymus dėl pagrindinės žemės naudojimo paskirties ir žemės naudojimo būdo keitimo galima teikti iki 2024-07-05 Vilniaus rajono savivaldybės administracijai (Rinktinės g. 50, Vilnius) raštu ir Lietuvos Respublikos teritorijų planavimo dokumentų rengimo ir teritorijų planavimo proceso valstybinės priežiūros informacinėje sistemoje.

Ištrauka iš Vilniaus rajono savivaldybės teritorijos dalies („U“ žemės naudojimo funkcinės zonos Avižienių, Juodšilių, Nemėžio, Pagirių, Riešės, Rudaminos ir Zujūnų seniūnijose) bendrojo plano

Prašymas

2024-06-21

Informuojame apie pateiktą nagrinėti prašymą dėl žemės sklypo (kad. Nr. 4124/0100:174), esančio Vilniaus r. sav., Dūkštų sen., Dūkštų k. (toliau – Žemės sklypas) pagrindinės žemės naudojimo paskirties ir žemės naudojimo būdo keitimą. Prašymo tikslas: 0,1370 ha ploto žemės ūkio paskirties Žemės sklypo pagrindinės žemės naudojimo paskirties ir žemės naudojimo būdo keitimas įkitos – vienbučių ir dvibučių gyvenamųjų pastatų teritorijos. Su prašymu galima susipažinti nuo 2024-06-21 iki 2024-07-05 Lietuvos Respublikos teritorijų planavimo dokumentų rengimo ir teritorijų planavimo proceso valstybės priežiūros informacinėje svetainėje (TPDRIS.lt) ir Vilniaus rajono savivaldybės interneto svetainėje (vrsa.lt). Pasiūlymus dėl pagrindinės žemės naudojimo paskirties ir žemės naudojimo būdo keitimo galima teikti iki 2024-07-05 Vilniaus rajono savivaldybės administracijai (Rinktinės g. 50, Vilnius) raštu ir Lietuvos Respublikos teritorijų planavimo dokumentų rengimo ir teritorijų planavimo proceso valstybinės priežiūros informacinėje sistemoje.

Ištrauka iš Kraštovaizdžio spec. plano

Prašymas

2024-06-21

Informuojame apie pateiktą nagrinėti prašymą dėl žemės sklypo (kad. Nr. 4117/0100:903 ), esančio Vilniaus r. sav., Riešės sen., Didžiosios Riešės k. (toliau – Žemės sklypas) pagrindinės žemės naudojimo paskirties ir žemės naudojimo būdo keitimą. Prašymo tikslas: 0,5659 ha ploto žemės ūkio paskirties Žemės sklypo pagrindinės žemės naudojimo paskirties ir žemės naudojimo būdo keitimas įkitos – vienbučių ir dvibučių gyvenamųjų pastatų teritorijos. Su prašymu galima susipažinti nuo 2024-06-21 iki 2024-07-05 Lietuvos Respublikos teritorijų planavimo dokumentų rengimo ir teritorijų planavimo proceso valstybės priežiūros informacinėje svetainėje (TPDRIS.lt) ir Vilniaus rajono savivaldybės interneto svetainėje (vrsa.lt). Pasiūlymus dėl pagrindinės žemės naudojimo paskirties ir žemės naudojimo būdo keitimo galima teikti iki 2024-07-05 Vilniaus rajono savivaldybės administracijai (Rinktinės g. 50, Vilnius) raštu ir Lietuvos Respublikos teritorijų planavimo dokumentų rengimo ir teritorijų planavimo proceso valstybinės priežiūros informacinėje sistemoje.

Ištrauka iš Kraštovaizdžio spec. plano

Prašymas

2024-06-21

Informuojame apie pateiktą nagrinėti prašymą dėl žemės sklypo (kad. Nr. 4101/0200:296 ), esančio Vilniaus r. sav., Bezdonių sen., Arvydų k. (toliau – Žemės sklypas) pagrindinės žemės naudojimo paskirties ir žemės naudojimo būdo keitimą. Prašymo tikslas: 0,1387 ha ploto žemės ūkio paskirties Žemės sklypo pagrindinės žemės naudojimo paskirties ir žemės naudojimo būdo keitimas įkitos – vienbučių ir dvibučių gyvenamųjų pastatų teritorijos. Su prašymu galima susipažinti nuo 2024-06-21 iki 2024-07-05 Lietuvos Respublikos teritorijų planavimo dokumentų rengimo ir teritorijų planavimo proceso valstybės priežiūros informacinėje svetainėje (TPDRIS.lt) ir Vilniaus rajono savivaldybės interneto svetainėje (vrsa.lt). Pasiūlymus dėl pagrindinės žemės naudojimo paskirties ir žemės naudojimo būdo keitimo galima teikti iki 2024-07-05 Vilniaus rajono savivaldybės administracijai (Rinktinės g. 50, Vilnius) raštu ir Lietuvos Respublikos teritorijų planavimo dokumentų rengimo ir teritorijų planavimo proceso valstybinės priežiūros informacinėje sistemoje.

Ištrauka iš Vilniaus rajono savivaldybės teritorijos dalies („U“ žemės naudojimo funkcinės zonos Avižienių, Juodšilių, Nemėžio, Pagirių, Riešės, Rudaminos ir Zujūnų seniūnijose) bendrojo plano

Prašymas

2024-06-21

Informuojame apie pateiktą nagrinėti prašymą dėl žemės sklypo (kad. Nr.4107/0400:702 ), esančio Vilniaus r. sav., Bezdonių k., (toliau – Žemės sklypas) pagrindinės žemės naudojimo paskirties ir žemės naudojimo būdo keitimą. Prašymo tikslas: 1,2763 ha ploto žemės ūkio paskirties žemės sklypo pagrindinės žemės naudojimo paskirties ir žemės naudojimo būdo keitimas į kitos paskirties – visuomeninės paskirties teritorijos. Su prašymu galima susipažinti nuo 2024-06-18 iki 2024-07-01 Lietuvos Respublikos teritorijų planavimo dokumentų rengimo ir teritorijų planavimo proceso valstybės priežiūros informacinėje svetainėje (TPDRIS.lt) ir Vilniaus rajono savivaldybės interneto svetainėje (vrsa.lt). Pasiūlymus dėl pagrindinės žemės naudojimo paskirties ir žemės naudojimo būdo keitimo galima teikti iki 2024-07-01, Vilniaus rajono savivaldybės administracijai (Rinktinės g. 50, Vilnius) raštu ir Lietuvos Respublikos teritorijų planavimo dokumentų rengimo ir teritorijų planavimo proceso valstybinės priežiūros informacinėje sistemoje.

Ištrauka iš Kraštovaizdžio spec. plano

Prašymas

2024-06-18

Informuojame apie pateiktą nagrinėti prašymą dėl žemės sklypo (kad. Nr. 4162/0300:1351 ), esančio Vilniaus r. sav., Nemėžio sen., Motiejiškių k., Medininkų g. 22 (toliau – Žemės sklypas) pagrindinės žemės naudojimo paskirties ir žemės naudojimo būdo keitimą. Prašymo tikslas: 0,2147 ha ploto žemės ūkio paskirties Žemės sklypo pagrindinės žemės naudojimo paskirties ir žemės naudojimo būdo keitimas įkitos – vienbučių ir dvibučių gyvenamųjų pastatų teritorijos. Su prašymu galima susipažinti nuo 2024-06-18 iki 2024-07-01 Lietuvos Respublikos teritorijų planavimo dokumentų rengimo ir teritorijų planavimo proceso valstybės priežiūros informacinėje svetainėje (TPDRIS.lt) ir Vilniaus rajono savivaldybės interneto svetainėje (vrsa.lt). Pasiūlymus dėl pagrindinės žemės naudojimo paskirties ir žemės naudojimo būdo keitimo galima teikti iki 2024-07-01 Vilniaus rajono savivaldybės administracijai (Rinktinės g. 50, Vilnius) raštu ir Lietuvos Respublikos teritorijų planavimo dokumentų rengimo ir teritorijų planavimo proceso valstybinės priežiūros informacinėje sistemoje.

Ištrauka iš Vilniaus rajono savivaldybės teritorijos dalies („U“ žemės naudojimo funkcinės zonos Avižienių, Juodšilių, Nemėžio, Pagirių, Riešės, Rudaminos ir Zujūnų seniūnijose) bendrojo plano

Prašymas

2024-06-18

Informuojame apie pateiktą nagrinėti prašymą dėl žemės sklypo (kad. Nr. 4174/0100:1907 ), esančio Vilniaus r. sav., Avižienių sen., Riešės k. (toliau – Žemės sklypas) pagrindinės žemės naudojimo paskirties ir žemės naudojimo būdo keitimą. Prašymo tikslas: 0,2390 ha ploto žemės ūkio paskirties Žemės sklypo pagrindinės žemės naudojimo paskirties ir žemės naudojimo būdo keitimas įkitos – vienbučių ir dvibučių gyvenamųjų pastatų teritorijos. Su prašymu galima susipažinti nuo 2024-06-18 iki 2024-07-01 Lietuvos Respublikos teritorijų planavimo dokumentų rengimo ir teritorijų planavimo proceso valstybės priežiūros informacinėje svetainėje (TPDRIS.lt) ir Vilniaus rajono savivaldybės interneto svetainėje (vrsa.lt). Pasiūlymus dėl pagrindinės žemės naudojimo paskirties ir žemės naudojimo būdo keitimo galima teikti iki 2024-07-01 Vilniaus rajono savivaldybės administracijai (Rinktinės g. 50, Vilnius) raštu ir Lietuvos Respublikos teritorijų planavimo dokumentų rengimo ir teritorijų planavimo proceso valstybinės priežiūros informacinėje sistemoje.

Ištrauka iš Vilniaus rajono savivaldybės teritorijos dalies („U“ žemės naudojimo funkcinės zonos Avižienių, Juodšilių, Nemėžio, Pagirių, Riešės, Rudaminos ir Zujūnų seniūnijose) bendrojo plano

Prašymas

2024-06-18

Informuojame apie pateiktą nagrinėti prašymą dėl žemės sklypo (kad. Nr.4142/0600:648 ), esančio Vilniaus r. sav., Šatrininkų sen., Kapitulščiznos k., (toliau – Žemės sklypas) pagrindinės žemės naudojimo paskirties ir žemės naudojimo būdo keitimą. Prašymo tikslas: 0,2306 ha ploto žemės ūkio paskirties žemės sklypo pagrindinės žemės naudojimo paskirties ir žemės naudojimo būdo keitimas į kitos – vienbučių ir dvibučių gyvenamųjų pastatų teritorijos. Su prašymu galima susipažinti nuo 2024-06-14 iki 2024-06-27 Lietuvos Respublikos teritorijų planavimo dokumentų rengimo ir teritorijų planavimo proceso valstybės priežiūros informacinėje svetainėje (TPDRIS.lt) ir Vilniaus rajono savivaldybės interneto svetainėje (vrsa.lt). Pasiūlymus dėl pagrindinės žemės naudojimo paskirties ir žemės naudojimo būdo keitimo galima teikti iki 2024-06-27, Vilniaus rajono savivaldybės administracijai (Rinktinės g. 50, Vilnius) raštu ir Lietuvos Respublikos teritorijų planavimo dokumentų rengimo ir teritorijų planavimo proceso valstybinės priežiūros informacinėje sistemoje.

Ištrauka iš Kraštovaizdžio spec. plano

Prašymas

2024-06-14

Informuojame apie pateiktą nagrinėti prašymą dėl žemės sklypo (kad. Nr.4132/0100:626 ), esančio Vilniaus r. sav., Maišiagalos sen., Karvio k., (toliau – Žemės sklypas) pagrindinės žemės naudojimo paskirties ir žemės naudojimo būdo keitimą. Prašymo tikslas: 0,0400 ha ploto žemės ūkio paskirties žemės sklypo pagrindinės žemės naudojimo paskirties ir žemės naudojimo būdo keitimas į kitos – vienbučių ir dvibučių gyvenamųjų pastatų teritorijos. Su prašymu galima susipažinti nuo 2024-06-14 iki 2024-06-27 Lietuvos Respublikos teritorijų planavimo dokumentų rengimo ir teritorijų planavimo proceso valstybės priežiūros informacinėje svetainėje (TPDRIS.lt) ir Vilniaus rajono savivaldybės interneto svetainėje (vrsa.lt). Pasiūlymus dėl pagrindinės žemės naudojimo paskirties ir žemės naudojimo būdo keitimo galima teikti iki 2024-06-27, Vilniaus rajono savivaldybės administracijai (Rinktinės g. 50, Vilnius) raštu ir Lietuvos Respublikos teritorijų planavimo dokumentų rengimo ir teritorijų planavimo proceso valstybinės priežiūros informacinėje sistemoje.

Ištrauka iš Kraštovaizdžio spec. plano

Prašymas

2024-06-14

Informuojame apie pateiktą nagrinėti prašymą dėl žemės sklypo (kad. Nr.4162/0300:718 ), esančio Vilniaus r. sav., Nemėžio sen., Motiejiškių k. (toliau – Žemės sklypas) pagrindinės žemės naudojimo paskirties ir žemės naudojimo būdo keitimą. Prašymo tikslas: 0,4500 ha ploto žemės ūkio paskirties žemės sklypo pagrindinės žemės naudojimo paskirties ir žemės naudojimo būdo keitimas į kitos – vienbučių ir dvibučių gyvenamųjų pastatų teritorijos. Su prašymu galima susipažinti nuo 2024-06-14 iki 2024-06-27 Lietuvos Respublikos teritorijų planavimo dokumentų rengimo ir teritorijų planavimo proceso valstybės priežiūros informacinėje svetainėje (TPDRIS.lt) ir Vilniaus rajono savivaldybės interneto svetainėje (vrsa.lt). Pasiūlymus dėl pagrindinės žemės naudojimo paskirties ir žemės naudojimo būdo keitimo galima teikti iki 2024-06-27, Vilniaus rajono savivaldybės administracijai (Rinktinės g. 50, Vilnius) raštu ir Lietuvos Respublikos teritorijų planavimo dokumentų rengimo ir teritorijų planavimo proceso valstybinės priežiūros informacinėje sistemoje.

Ištrauka iš Kraštovaizdžio spec. plano

Prašymas

2024-06-14

Informuojame apie pateiktą nagrinėti prašymą dėl žemės sklypo (kad. Nr.4184/0400:42 ), esančio Vilniaus r. sav., Sudervės sen., Vabalių k. (toliau – Žemės sklypas) pagrindinės žemės naudojimo paskirties ir žemės naudojimo būdo keitimą. Prašymo tikslas: 2,6300 ha ploto žemės ūkio paskirties žemės sklypo pagrindinės žemės naudojimo paskirties ir žemės naudojimo būdo keitimas į kitos – vienbučių ir dvibučių gyvenamųjų pastatų teritorijos. Su prašymu galima susipažinti nuo 2024-06-14 iki 2024-06-27 Lietuvos Respublikos teritorijų planavimo dokumentų rengimo ir teritorijų planavimo proceso valstybės priežiūros informacinėje svetainėje (TPDRIS.lt) ir Vilniaus rajono savivaldybės interneto svetainėje (vrsa.lt). Pasiūlymus dėl pagrindinės žemės naudojimo paskirties ir žemės naudojimo būdo keitimo galima teikti iki 2024-06-27, Vilniaus rajono savivaldybės administracijai (Rinktinės g. 50, Vilnius) raštu ir Lietuvos Respublikos teritorijų planavimo dokumentų rengimo ir teritorijų planavimo proceso valstybinės priežiūros informacinėje sistemoje.

Ištrauka iš Kraštovaizdžio spec. plano

Prašymas

2024-06-14

Informuojame apie pateiktą nagrinėti prašymą dėl žemės sklypo (kad. Nr.4142/0300:459), esančio Vilniaus r. sav., Šatrininkų sen., Grigaičių k. (toliau – Žemės sklypas) pagrindinės žemės naudojimo paskirties ir žemės naudojimo būdo keitimą. Prašymo tikslas: 0,1699 ha ploto žemės ūkio paskirties žemės sklypo pagrindinės žemės naudojimo paskirties ir žemės naudojimo būdo keitimas į kitos – vienbučių ir dvibučių gyvenamųjų pastatų teritorijos. Su prašymu galima susipažinti nuo 2024-06-14 iki 2024-06-27 Lietuvos Respublikos teritorijų planavimo dokumentų rengimo ir teritorijų planavimo proceso valstybės priežiūros informacinėje svetainėje (TPDRIS.lt) ir Vilniaus rajono savivaldybės interneto svetainėje (vrsa.lt). Pasiūlymus dėl pagrindinės žemės naudojimo paskirties ir žemės naudojimo būdo keitimo galima teikti iki 2024-06-27, Vilniaus rajono savivaldybės administracijai (Rinktinės g. 50, Vilnius) raštu ir Lietuvos Respublikos teritorijų planavimo dokumentų rengimo ir teritorijų planavimo proceso valstybinės priežiūros informacinėje sistemoje.

Ištrauka iš Kraštovaizdžio spec. plano

Prašymas

2024-06-14

Informuojame apie pateiktą nagrinėti prašymą dėl žemės sklypo (kad. Nr.4177/0500:510), esančio Vilniaus r. sav., Rudaminos sen., Sakalninkų k.(toliau – Žemės sklypas) pagrindinės žemės naudojimo paskirties ir žemės naudojimo būdo keitimą. Prašymo tikslas: 0,7881 ha ploto žemės ūkio paskirties žemės sklypo pagrindinės žemės naudojimo paskirties ir žemės naudojimo būdo keitimas į kitos – vienbučių ir dvibučių gyvenamųjų pastatų teritorijos. Su prašymu galima susipažinti nuo 2024-06-14 iki 2024-06-27 Lietuvos Respublikos teritorijų planavimo dokumentų rengimo ir teritorijų planavimo proceso valstybės priežiūros informacinėje svetainėje (TPDRIS.lt) ir Vilniaus rajono savivaldybės interneto svetainėje (vrsa.lt). Pasiūlymus dėl pagrindinės žemės naudojimo paskirties ir žemės naudojimo būdo keitimo galima teikti iki 2024-06-27, Vilniaus rajono savivaldybės administracijai (Rinktinės g. 50, Vilnius) raštu ir Lietuvos Respublikos teritorijų planavimo dokumentų rengimo ir teritorijų planavimo proceso valstybinės priežiūros informacinėje sistemoje.

Ištrauka iš Kraštovaizdžio spec. plano

Prašymas

2024-06-14

Informuojame apie pateiktą nagrinėti prašymą dėl žemės sklypo (kad. Nr.4190/0200:378), esančio Vilniaus r. sav., Šumsko mstl. (toliau – Žemės sklypas) pagrindinės žemės naudojimo paskirties ir žemės naudojimo būdo keitimą. Prašymo tikslas: 0,2200 ha ploto žemės ūkio paskirties žemės sklypo pagrindinės žemės naudojimo paskirties ir žemės naudojimo būdo keitimas į kitos – vienbučių ir dvibučių gyvenamųjų pastatų teritorijos. Su prašymu galima susipažinti nuo 2024-06-14 iki 2024-06-27 Lietuvos Respublikos teritorijų planavimo dokumentų rengimo ir teritorijų planavimo proceso valstybės priežiūros informacinėje svetainėje (TPDRIS.lt) ir Vilniaus rajono savivaldybės interneto svetainėje (vrsa.lt). Pasiūlymus dėl pagrindinės žemės naudojimo paskirties ir žemės naudojimo būdo keitimo galima teikti iki 2024-06-27, Vilniaus rajono savivaldybės administracijai (Rinktinės g. 50, Vilnius) raštu ir Lietuvos Respublikos teritorijų planavimo dokumentų rengimo ir teritorijų planavimo proceso valstybinės priežiūros informacinėje sistemoje.

Ištrauka iš Šumsko bendrojo plano

Prašymas

2024-06-14

Informuojame apie pateiktą nagrinėti prašymą dėl žemės sklypo (kad. Nr. 4137/0200:1284 ), esančio Vilniaus r. sav., Juodšilių sen., Juodšilių k., (toliau – Žemės sklypas) pagrindinės žemės naudojimo paskirties ir žemės naudojimo būdo keitimą. Prašymo tikslas: 0,2100 ha ploto žemės ūkio paskirties Žemės sklypo pagrindinės žemės naudojimo paskirties ir žemės naudojimo būdo keitimas įkitos – vienbučių ir dvibučių gyvenamųjų pastatų teritorijos. Su prašymu galima susipažinti nuo 2024-06-07 iki 2024-06-20 Lietuvos Respublikos teritorijų planavimo dokumentų rengimo ir teritorijų planavimo proceso valstybės priežiūros informacinėje svetainėje (TPDRIS.lt) ir Vilniaus rajono savivaldybės interneto svetainėje (vrsa.lt). Pasiūlymus dėl pagrindinės žemės naudojimo paskirties ir žemės naudojimo būdo keitimo galima teikti iki 2024-06-20 Vilniaus rajono savivaldybės administracijai (Rinktinės g. 50, Vilnius) raštu ir Lietuvos Respublikos teritorijų planavimo dokumentų rengimo ir teritorijų planavimo proceso valstybinės priežiūros informacinėje sistemoje.

Ištrauka iš Vilniaus rajono savivaldybės teritorijos dalies („U" žemės naudojimo funkcinės zonos Avižienių, Juodšilių, Nemėžio, Pagirių, Riešės, Rudaminos ir Zujūnų seniūnijose) bendrojo plano

Prašymas

2024-06-07

Informuojame apie pateiktą nagrinėti prašymą dėl žemės sklypo (kad. Nr. 4137/0200:1285 ), esančio Vilniaus r. sav., Juodšilių sen., Juodšilių k., (toliau – Žemės sklypas) pagrindinės žemės naudojimo paskirties ir žemės naudojimo būdo keitimą. Prašymo tikslas: 0,3880 ha ploto žemės ūkio paskirties Žemės sklypo pagrindinės žemės naudojimo paskirties ir žemės naudojimo būdo keitimas į kitos – komercinė paskirties teritorijos. Su prašymu galima susipažinti nuo 2024-06-07 iki 2024-06-20 Lietuvos Respublikos teritorijų planavimo dokumentų rengimo ir teritorijų planavimo proceso valstybės priežiūros informacinėje svetainėje (TPDRIS.lt) ir Vilniaus rajono savivaldybės interneto svetainėje (vrsa.lt). Pasiūlymus dėl pagrindinės žemės naudojimo paskirties ir žemės naudojimo būdo keitimo galima teikti iki 2024-06-20 Vilniaus rajono savivaldybės administracijai (Rinktinės g. 50, Vilnius) raštu ir Lietuvos Respublikos teritorijų planavimo dokumentų rengimo ir teritorijų planavimo proceso valstybinės priežiūros informacinėje sistemoje.

Ištrauka iš Vilniaus rajono savivaldybės teritorijos dalies („U" žemės naudojimo funkcinės zonos Avižienių, Juodšilių, Nemėžio, Pagirių, Riešės, Rudaminos ir Zujūnų seniūnijose) bendrojo plano

Prašymas

2024-06-07

Informuojame apie pateiktą nagrinėti prašymą dėl žemės sklypo (kad. Nr.4132/0500:1251), esančio Vilniaus r. sav., Maišiagalos sen., Kalniškių k., Skauduliškių g. 62 (toliau – Žemės sklypas) pagrindinės žemės naudojimo paskirties ir žemės naudojimo būdo keitimą. Prašymo tikslas: 2.7000 ha ploto žemės ūkio paskirties žemės sklypo pagrindinės žemės naudojimo paskirties ir žemės naudojimo būdo keitimas į kitos – vienbučių ir dvibučių gyvenamųjų pastatų teritorijos. Su prašymu galima susipažinti nuo 2024-06-07 iki 2024-06-20 Lietuvos Respublikos teritorijų planavimo dokumentų rengimo ir teritorijų planavimo proceso valstybės priežiūros informacinėje svetainėje (TPDRIS.lt) ir Vilniaus rajono savivaldybės interneto svetainėje (vrsa.lt). Pasiūlymus dėl pagrindinės žemės naudojimo paskirties ir žemės naudojimo būdo keitimo galima teikti iki 2024-06-20, Vilniaus rajono savivaldybės administracijai (Rinktinės g. 50, Vilnius) raštu ir Lietuvos Respublikos teritorijų planavimo dokumentų rengimo ir teritorijų planavimo proceso valstybinės priežiūros informacinėje sistemoje.

Ištrauka iš Kraštovaizdžio spec. plano

Prašymas

2024-06-07

Informuojame apie pateiktą nagrinėti prašymą dėl žemės sklypo (kad. Nr.4107/1803:473), esančio Vilniaus r. sav., Bezdonių sen., Vilkiškių k., Sodo g. 14 (toliau – Žemės sklypas) pagrindinės žemės naudojimo paskirties ir žemės naudojimo būdo keitimą. Prašymo tikslas: 0,0840 ha ploto žemės ūkio paskirties žemės sklypo pagrindinės žemės naudojimo paskirties ir žemės naudojimo būdo keitimas į kitos – vienbučių ir dvibučių gyvenamųjų pastatų teritorijos. Su prašymu galima susipažinti nuo 2024-06-07 iki 2024-06-20 Lietuvos Respublikos teritorijų planavimo dokumentų rengimo ir teritorijų planavimo proceso valstybės priežiūros informacinėje svetainėje (TPDRIS.lt) ir Vilniaus rajono savivaldybės interneto svetainėje (vrsa.lt). Pasiūlymus dėl pagrindinės žemės naudojimo paskirties ir žemės naudojimo būdo keitimo galima teikti iki 2024-06-20, Vilniaus rajono savivaldybės administracijai (Rinktinės g. 50, Vilnius) raštu ir Lietuvos Respublikos teritorijų planavimo dokumentų rengimo ir teritorijų planavimo proceso valstybinės priežiūros informacinėje sistemoje.

Ištrauka iš Kraštovaizdžio spec. plano

Prašymas

2024-06-07

Informuojame apie pateiktą nagrinėti prašymą dėl žemės sklypo (kad. Nr.4142/0200:660), esančio Vilniaus r. sav., Šatrininkų sen., Karklėnų k., Aukštoji g. 25B (toliau – Žemės sklypas) pagrindinės žemės naudojimo paskirties ir žemės naudojimo būdo keitimą. Prašymo tikslas: 1,8000 ha ploto žemės ūkio paskirties žemės sklypo pagrindinės žemės naudojimo paskirties ir žemės naudojimo būdo keitimas į kitos – vienbučių ir dvibučių gyvenamųjų pastatų teritorijos. Su prašymu galima susipažinti nuo 2024-06-07 iki 2024-06-20 Lietuvos Respublikos teritorijų planavimo dokumentų rengimo ir teritorijų planavimo proceso valstybės priežiūros informacinėje svetainėje (TPDRIS.lt) ir Vilniaus rajono savivaldybės interneto svetainėje (vrsa.lt). Pasiūlymus dėl pagrindinės žemės naudojimo paskirties ir žemės naudojimo būdo keitimo galima teikti iki 2024-06-20, Vilniaus rajono savivaldybės administracijai (Rinktinės g. 50, Vilnius) raštu ir Lietuvos Respublikos teritorijų planavimo dokumentų rengimo ir teritorijų planavimo proceso valstybinės priežiūros informacinėje sistemoje.

Ištrauka iš Kraštovaizdžio spec. plano

Prašymas

2024-06-07

Informuojame apie pateiktą nagrinėti prašymą dėl žemės sklypo (kad. Nr. 4180/0500:181), esančio Vilniaus r. sav., Rukainių sen., Užukenės k. (toliau – Žemės sklypas) pagrindinės žemės naudojimo paskirties ir žemės naudojimo būdo keitimą. Prašymo tikslas: 5,4517 ha ploto žemės ūkio paskirties žemės sklypo pagrindinės žemės naudojimo paskirties ir žemės naudojimo būdo keitimas į kitos – vienbučių ir dvibučių gyvenamųjų pastatų teritorijos. Su prašymu galima susipažinti nuo 2024-06-07 iki 2024-06-20 Lietuvos Respublikos teritorijų planavimo dokumentų rengimo ir teritorijų planavimo proceso valstybės priežiūros informacinėje svetainėje (TPDRIS.lt) ir Vilniaus rajono savivaldybės interneto svetainėje (vrsa.lt). Pasiūlymus dėl pagrindinės žemės naudojimo paskirties ir žemės naudojimo būdo keitimo galima teikti iki 2024-06-20, Vilniaus rajono savivaldybės administracijai (Rinktinės g. 50, Vilnius) raštu ir Lietuvos Respublikos teritorijų planavimo dokumentų rengimo ir teritorijų planavimo proceso valstybinės priežiūros informacinėje sistemoje.

Ištrauka iš Kraštovaizdžio spec. plano

Prašymas

2024-06-07

Informuojame apie pateiktą nagrinėti prašymą dėl žemės sklypo (kad. Nr. 4167/0100:340 ), esančioVilniaus r. sav., Pagirių sen., Baltosios Vokės k., (toliau – Žemės sklypas) pagrindinės žemės naudojimo paskirties ir žemės naudojimo būdo keitimą. Prašymo tikslas: 0,0700 ha ploto žemės ūkio paskirties Žemės sklypo pagrindinės žemės naudojimo paskirties ir žemės naudojimo būdo keitimas į kitos – vienbučių ir dvibučių gyvenamųjų pastatų teritorijos. Su prašymu galima susipažinti nuo 2024-05-31 iki 2024-06-13 Lietuvos Respublikos teritorijų planavimo dokumentų rengimo ir teritorijų planavimo proceso valstybės priežiūros informacinėje svetainėje (TPDRIS.lt) ir Vilniaus rajono savivaldybės interneto svetainėje (vrsa.lt). Pasiūlymus dėl pagrindinės žemės naudojimo paskirties ir žemės naudojimo būdo keitimo galima teikti iki 2024-06-13 Vilniaus rajono savivaldybės administracijai (Rinktinės g. 50, Vilnius) raštu ir Lietuvos Respublikos teritorijų planavimo dokumentų rengimo ir teritorijų planavimo proceso valstybinės priežiūros informacinėje sistemoje.

Ištrauka iš Vilniaus rajono savivaldybės teritorijos dalies („U" žemės naudojimo funkcinės zonos Avižienių, Juodšilių, Nemėžio, Pagirių, Riešės, Rudaminos ir Zujūnų seniūnijose) bendrojo plano

Prašymas

2024-05-31

Informuojame apie pateiktą nagrinėti prašymą dėl žemės sklypo (kad. Nr. 4177/0100:877, esančio Vilniaus r. sav., Rudaminos sen., Nemėžėlės k., Užupio g. 7A, (toliau – Žemės sklypas) pagrindinės žemės naudojimo paskirties ir žemės naudojimo būdo keitimą. Prašymo tikslas: 0,6124 ha ploto komercinės paskirties objektų teritorijos žemės naudojimo būdo keitimas į kitos – pramonės ir sandėlaivimo objektų teritorijos. Su prašymu galima susipažinti nuo 2024-05-31 iki 2024-06-13 Lietuvos Respublikos teritorijų planavimo dokumentų rengimo ir teritorijų planavimo proceso valstybės priežiūros informacinėje svetainėje (TPDRIS.lt) ir Vilniaus rajono savivaldybės interneto svetainėje (vrsa.lt). Pasiūlymus dėl pagrindinės žemės naudojimo paskirties ir žemės naudojimo būdo keitimo galima teikti iki 2024-06-13 Vilniaus rajono savivaldybės administracijai (Rinktinės g. 50, Vilnius) raštu ir Lietuvos Respublikos teritorijų planavimo dokumentų rengimo ir teritorijų planavimo proceso valstybinės priežiūros informacinėje sistemoje.

Ištrauka iš Vilniaus rajono savivaldybės teritorijos dalies („U" žemės naudojimo funkcinės zonos Avižienių, Juodšilių, Nemėžio, Pagirių, Riešės, Rudaminos ir Zujūnų seniūnijose) bendrojo plano

Prašymas

2024-05-31

Informuojame apie pateiktą nagrinėti prašymą dėl žemės sklypo (kad. Nr. 4152/1700:30), esančio Vilniaus r. sav., Mickūnų sen., Parūdupių k. (toliau – Žemės sklypas) pagrindinės žemės naudojimo paskirties ir žemės naudojimo būdo keitimą. Prašymo tikslas: 0,1900 ha ploto žemės ūkio paskirties žemės sklypo pagrindinės žemės naudojimo paskirties ir žemės naudojimo būdo keitimas į kitos – vienbučių ir dvibučių gyvenamųjų pastatų teritorijos. Su prašymu galima susipažinti nuo 2024-05-30 iki 2024-06-12 Lietuvos Respublikos teritorijų planavimo dokumentų rengimo ir teritorijų planavimo proceso valstybės priežiūros informacinėje svetainėje (TPDRIS.lt) ir Vilniaus rajono savivaldybės interneto svetainėje (vrsa.lt). Pasiūlymus dėl pagrindinės žemės naudojimo paskirties ir žemės naudojimo būdo keitimo galima teikti iki 2024-06-12, Vilniaus rajono savivaldybės administracijai (Rinktinės g. 50, Vilnius) raštu ir Lietuvos Respublikos teritorijų planavimo dokumentų rengimo ir teritorijų planavimo proceso valstybinės priežiūros informacinėje sistemoje.

Ištrauka iš Kraštovaizdžio spec. plano

Prašymas

2024-05-30

Informuojame apie pateiktą nagrinėti prašymą dėl žemės sklypo (kad. Nr. 4147/0100:52), esančio Vilniaus r. sav., Maišiagala, Mokyklos g. 7, (toliau – Žemės sklypas) pagrindinės žemės naudojimo paskirties ir žemės naudojimo būdo keitimą. Prašymo tikslas: 0,2707 ha ploto Vienbučių ir dvibučių gyvenamųjų pastatų teritorijos Žemės sklypo pagrindinės žemės naudojimo paskirties ir žemės naudojimo būdo keitimas į kitos – komercinė paskirties teritorijos. Su prašymu galima susipažinti nuo 2024-05-24 iki 2024-06-06 Lietuvos Respublikos teritorijų planavimo dokumentų rengimo ir teritorijų planavimo proceso valstybės priežiūros informacinėje svetainėje (TPDRIS.lt) ir Vilniaus rajono savivaldybės interneto svetainėje (vrsa.lt). Pasiūlymus dėl pagrindinės žemės naudojimo paskirties ir žemės naudojimo būdo keitimo galima teikti iki 2024-06-06 Vilniaus rajono savivaldybės administracijai (Rinktinės g. 50, Vilnius) raštu ir Lietuvos Respublikos teritorijų planavimo dokumentų rengimo ir teritorijų planavimo proceso valstybinės priežiūros informacinėje sistemoje.

Ištrauka iš Kraštovaizdžio spec. plano

Prašymas

2024-05-24

Informuojame apie pateiktą nagrinėti prašymą dėl žemės sklypo (kad. Nr. 4177/0400:28), Vilniaus r. sav., Rudaminos sen., Katkų k., Ilgoji g. 24, (toliau – Žemės sklypas) pagrindinės žemės naudojimo paskirties ir žemės naudojimo būdo keitimą. Prašymo tikslas: 1.2999ha ploto žemės ūkio paskirties žemės sklypo pagrindinės žemės naudojimo paskirties ir žemės naudojimo būdo keitimas į kitos – vienbučių ir dvibučių gyvenamųjų pastatų teritorijos. Su prašymu galima susipažinti nuo 2024-05-24 iki 2024-06-06 Lietuvos Respublikos teritorijų planavimo dokumentų rengimo ir teritorijų planavimo proceso valstybės priežiūros informacinėje svetainėje (TPDRIS.lt) ir Vilniaus rajono savivaldybės interneto svetainėje (vrsa.lt). Pasiūlymus dėl pagrindinės žemės naudojimo paskirties ir žemės naudojimo būdo keitimo galima teikti iki 2024-06-06, Vilniaus rajono savivaldybės administracijai (Rinktinės g. 50, Vilnius) raštu ir Lietuvos Respublikos teritorijų planavimo dokumentų rengimo ir teritorijų planavimo proceso valstybinės priežiūros informacinėje sistemoje.

Ištrauka iš Kraštovaizdžio spec. plano

Prašymas

2024-05-24

Informuojame apie pateiktą nagrinėti prašymą dėl žemės sklypo (kad. Nr. 4120/0100:443), Vilniaus r. sav., Nemenčinės sen., Ragūnų k., (toliau – Žemės sklypas) pagrindinės žemės naudojimo paskirties ir žemės naudojimo būdo keitimą. Prašymo tikslas: 1.1588 ha ploto žemės ūkio paskirties žemės sklypo pagrindinės žemės naudojimo paskirties ir žemės naudojimo būdo keitimas į kitos – vienbučių ir dvibučių gyvenamųjų pastatų teritorijos. Su prašymu galima susipažinti nuo 2024-05-24 iki 2024-06-06 Lietuvos Respublikos teritorijų planavimo dokumentų rengimo ir teritorijų planavimo proceso valstybės priežiūros informacinėje svetainėje (TPDRIS.lt) ir Vilniaus rajono savivaldybės interneto svetainėje (vrsa.lt). Pasiūlymus dėl pagrindinės žemės naudojimo paskirties ir žemės naudojimo būdo keitimo galima teikti iki 2024-06-06, Vilniaus rajono savivaldybės administracijai (Rinktinės g. 50, Vilnius) raštu ir Lietuvos Respublikos teritorijų planavimo dokumentų rengimo ir teritorijų planavimo proceso valstybinės priežiūros informacinėje sistemoje.

Ištrauka iš Kraštovaizdžio spec. plano

Prašymas

2024-05-24

Informuojame apie pateiktą nagrinėti prašymą dėl žemės sklypo (kad. Nr. 4142/0200:495), esančio Vilniaus r. sav., Šatrininkų sen., Karklėnų k, (toliau – Žemės sklypas) pagrindinės žemės naudojimo paskirties ir žemės naudojimo būdo keitimą. Prašymo tikslas: 0,9264 ha ploto žemės ūkio paskirties žemės sklypo pagrindinės žemės naudojimo paskirties ir žemės naudojimo būdo keitimas į kitos – vienbučių ir dvibučių gyvenamųjų pastatų teritorijos. Su prašymu galima susipažinti nuo 2024-05-23 iki 2024-06-05 Lietuvos Respublikos teritorijų planavimo dokumentų rengimo ir teritorijų planavimo proceso valstybės priežiūros informacinėje svetainėje (TPDRIS.lt) ir Vilniaus rajono savivaldybės interneto svetainėje (vrsa.lt). Pasiūlymus dėl pagrindinės žemės naudojimo paskirties ir žemės naudojimo būdo keitimo galima teikti iki 2024-06-05, Vilniaus rajono savivaldybės administracijai (Rinktinės g. 50, Vilnius) raštu ir Lietuvos Respublikos teritorijų planavimo dokumentų rengimo ir teritorijų planavimo proceso valstybinės priežiūros informacinėje sistemoje.

Ištrauka iš Kraštovaizdžio spec. plano

Prašymas

2024-05-23

Informuojame apie pateiktą nagrinėti prašymą dėl žemės sklypo (kad. Nr. 4110/0400:458), esančioVilniaus r. sav., Zujūnų sen., Koplyčninkų k., (toliau – Žemės sklypas) pagrindinės žemės naudojimo paskirties ir žemės naudojimo būdo keitimą. Prašymo tikslas: 0,1027 ha ploto žemės ūkio paskirties žemės sklypo pagrindinės žemės naudojimo paskirties ir žemės naudojimo būdo keitimas į kitos – vienbučių ir dvibučių gyvenamųjų pastatų teritorijos. Su prašymu galima susipažinti nuo 2024-05-23 iki 2024-06-05 Lietuvos Respublikos teritorijų planavimo dokumentų rengimo ir teritorijų planavimo proceso valstybės priežiūros informacinėje svetainėje (TPDRIS.lt) ir Vilniaus rajono savivaldybės interneto svetainėje (vrsa.lt). Pasiūlymus dėl pagrindinės žemės naudojimo paskirties ir žemės naudojimo būdo keitimo galima teikti iki 2024-06-05, Vilniaus rajono savivaldybės administracijai (Rinktinės g. 50, Vilnius) raštu ir Lietuvos Respublikos teritorijų planavimo dokumentų rengimo ir teritorijų planavimo proceso valstybinės priežiūros informacinėje sistemoje.

Ištrauka iš Kraštovaizdžio spec. plano

Prašymas

2024-05-23

Informuojame apie pateiktą nagrinėti prašymą dėl žemės sklypo (kad. Nr. 4152/0700:308), esančio Vilniaus r. sav., Mickūnų sen., Viktariškių k., (toliau – Žemės sklypas) pagrindinės žemės naudojimo paskirties ir žemės naudojimo būdo keitimą. Prašymo tikslas: 0,1541 ha ploto žemės ūkio paskirties žemės sklypo pagrindinės žemės naudojimo paskirties ir žemės naudojimo būdo keitimas į kitos – vienbučių ir dvibučių gyvenamųjų pastatų teritorijos. Su prašymu galima susipažinti nuo 2024-05-23 iki 2024-06-05 Lietuvos Respublikos teritorijų planavimo dokumentų rengimo ir teritorijų planavimo proceso valstybės priežiūros informacinėje svetainėje (TPDRIS.lt) ir Vilniaus rajono savivaldybės interneto svetainėje (vrsa.lt). Pasiūlymus dėl pagrindinės žemės naudojimo paskirties ir žemės naudojimo būdo keitimo galima teikti iki 2024-06-05, Vilniaus rajono savivaldybės administracijai (Rinktinės g. 50, Vilnius) raštu ir Lietuvos Respublikos teritorijų planavimo dokumentų rengimo ir teritorijų planavimo proceso valstybinės priežiūros informacinėje sistemoje.

Ištrauka iš Kraštovaizdžio spec. plano

Prašymas

2024-05-23

Informuojame apie pateiktą nagrinėti prašymą dėl žemės sklypo (kad. Nr. 4120/0100:606), esančio Vilniaus r. sav., Nemenčinės sen., Piliakalnio k., (toliau – Žemės sklypas) pagrindinės žemės naudojimo paskirties ir žemės naudojimo būdo keitimą. Prašymo tikslas: 0,5743 ha ploto žemės ūkio paskirties žemės sklypo pagrindinės žemės naudojimo paskirties ir žemės naudojimo būdo keitimas į kitos – vienbučių ir dvibučių gyvenamųjų pastatų teritorijos. Su prašymu galima susipažinti nuo 2024-05-22 iki 2024-06-04 Lietuvos Respublikos teritorijų planavimo dokumentų rengimo ir teritorijų planavimo proceso valstybės priežiūros informacinėje svetainėje (TPDRIS.lt) ir Vilniaus rajono savivaldybės interneto svetainėje (vrsa.lt). Pasiūlymus dėl pagrindinės žemės naudojimo paskirties ir žemės naudojimo būdo keitimo galima teikti iki 2024-06-04, Vilniaus rajono savivaldybės administracijai (Rinktinės g. 50, Vilnius) raštu ir Lietuvos Respublikos teritorijų planavimo dokumentų rengimo ir teritorijų planavimo proceso valstybinės priežiūros informacinėje sistemoje.

Ištrauka iš Kraštovaizdžio spec. plano

Prašymas

2024-05-22

Informuojame apie pateiktą nagrinėti prašymą dėl žemės sklypo (kad. Nr. 4107/0400:60), esančio Vilniaus r. sav., Bezdonių sen., Bezdonių k., Pušų g. 4, (toliau – Žemės sklypas) pagrindinės žemės naudojimo paskirties ir žemės naudojimo būdo keitimą. Prašymo tikslas: 0,2491 ha ploto komercinės paskirties objektų teritorijos žemės naudojimo būdo keitimas į kitos – vienbučių ir dvibučių gyvenamųjų pastatų teritorijos. Su prašymu galima susipažinti nuo 2024-05-22 iki 2024-06-04 Lietuvos Respublikos teritorijų planavimo dokumentų rengimo ir teritorijų planavimo proceso valstybės priežiūros informacinėje svetainėje (TPDRIS.lt) ir Vilniaus rajono savivaldybės interneto svetainėje (vrsa.lt). Pasiūlymus dėl pagrindinės žemės naudojimo paskirties ir žemės naudojimo būdo keitimo galima teikti iki 2024-06-04 Vilniaus rajono savivaldybės administracijai (Rinktinės g. 50, Vilnius) raštu ir Lietuvos Respublikos teritorijų planavimo dokumentų rengimo ir teritorijų planavimo proceso valstybinės priežiūros informacinėje sistemoje.

Ištrauka iš Kraštovaizdžio spec. plano

Prašymas

2024-05-22

Informuojame apie pateiktą nagrinėti prašymą dėl žemės sklypo (kad. Nr. 4117/0400:338), esančio Vilniaus r. sav., Riešės sen., Jadvygiškių k., (toliau – Žemės sklypas) pagrindinės žemės naudojimo paskirties ir žemės naudojimo būdo keitimą. Prašymo tikslas: 0,1194 ha ploto žemės ūkio paskirties žemės sklypo pagrindinės žemės naudojimo paskirties ir žemės naudojimo būdo keitimas į kitos – vienbučių ir dvibučių gyvenamųjų pastatų teritorijos. Su prašymu galima susipažinti nuo 2024-05-21 iki 2024-06-03 Lietuvos Respublikos teritorijų planavimo dokumentų rengimo ir teritorijų planavimo proceso valstybės priežiūros informacinėje svetainėje (TPDRIS.lt) ir Vilniaus rajono savivaldybės interneto svetainėje (vrsa.lt). Pasiūlymus dėl pagrindinės žemės naudojimo paskirties ir žemės naudojimo būdo keitimo galima teikti iki 2024-06-03, Vilniaus rajono savivaldybės administracijai (Rinktinės g. 50, Vilnius) raštu ir Lietuvos Respublikos teritorijų planavimo dokumentų rengimo ir teritorijų planavimo proceso valstybinės priežiūros informacinėje sistemoje.

Ištrauka iš Kraštovaizdžio spec. plano

Prašymas

2024-05-21

Informuojame apie pateiktą nagrinėti prašymą dėl žemės sklypo (kad. Nr. 4103/0200:2812), esančio Vilniaus r. sav., Avižienių sen., Avižienių k., Sudervės g. 65D, (toliau – Žemės sklypas) pagrindinės žemės naudojimo paskirties ir žemės naudojimo būdo keitimą. Prašymo tikslas: 1,4877ha ploto Pramonės ir sandėliavimo objektų teritorijos Žemės sklypo  žemės naudojimo būdo keitimas į kitos – komercinė paskirties teritorijos ir pramonės ir sandėliavimo objektų teritorijos. Su prašymu galima susipažinti nuo 2024-05-21 iki 2024-06-03 Lietuvos Respublikos teritorijų planavimo dokumentų rengimo ir teritorijų planavimo proceso valstybės priežiūros informacinėje svetainėje (TPDRIS.lt) ir Vilniaus rajono savivaldybės interneto svetainėje (vrsa.lt). Pasiūlymus dėl pagrindinės žemės naudojimo paskirties ir žemės naudojimo būdo keitimo galima teikti iki 2024-06-03 Vilniaus rajono savivaldybės administracijai (Rinktinės g. 50, Vilnius) raštu ir Lietuvos Respublikos teritorijų planavimo dokumentų rengimo ir teritorijų planavimo proceso valstybinės priežiūros informacinėje sistemoje.

Ištrauka iš Vilniaus rajono savivaldybės teritorijos dalies („U" žemės naudojimo funkcinės zonos Avižienių, Juodšilių, Nemėžio, Pagirių, Riešės, Rudaminos ir Zujūnų seniūnijose) bendrojo plano

Prašymas

2024-05-21

Informuojame apie pateiktą nagrinėti prašymą dėl žemės sklypo (kad. Nr. 4162/0100:806 ), esančio Vilniaus r. sav., Nemėžio sen., Katiliškių vs., (toliau – Žemės sklypas) pagrindinės žemės naudojimo paskirties ir žemės naudojimo būdo keitimą. Prašymo tikslas: 0,2000 ha ploto žemės ūkio paskirties Žemės sklypo pagrindinės žemės naudojimo paskirties ir žemės naudojimo būdo keitimas į kitos – vienbučių ir dvibučių gyvenamųjų pastatų teritorijos. Su prašymu galima susipažinti nuo 2024-05-17 iki 2024-05-30 Lietuvos Respublikos teritorijų planavimo dokumentų rengimo ir teritorijų planavimo proceso valstybės priežiūros informacinėje svetainėje (TPDRIS.lt) ir Vilniaus rajono savivaldybės interneto svetainėje (vrsa.lt). Pasiūlymus dėl pagrindinės žemės naudojimo paskirties ir žemės naudojimo būdo keitimo galima teikti iki 2024-05-30 Vilniaus rajono savivaldybės administracijai (Rinktinės g. 50, Vilnius) raštu ir Lietuvos Respublikos teritorijų planavimo dokumentų rengimo ir teritorijų planavimo proceso valstybinės priežiūros informacinėje sistemoje.

Ištrauka iš Vilniaus rajono savivaldybės teritorijos dalies („U" žemės naudojimo funkcinės zonos Avižienių, Juodšilių, Nemėžio, Pagirių, Riešės, Rudaminos ir Zujūnų seniūnijose) bendrojo plano

Prašymas

Informuojame apie pateiktą nagrinėti prašymą dėl žemės sklypo (kad. Nr. 4103/0100:1093), esančio Vilniaus r. sav., Avižienių sen., Pikutiškių k., Šalnų g. 4, (toliau – Žemės sklypas) pagrindinės žemės naudojimo paskirties ir žemės naudojimo būdo keitimą. Prašymo tikslas: 0,4399 ha ploto Pramonės ir sandėliavimo objektų teritorijos Žemės sklypo pagrindinės žemės naudojimo paskirties ir žemės naudojimo būdo keitimas į kitos – komercinė paskirties teritorijos. Su prašymu galima susipažinti nuo 2024-05-17 iki 2024-05-30 Lietuvos Respublikos teritorijų planavimo dokumentų rengimo ir teritorijų planavimo proceso valstybės priežiūros informacinėje svetainėje (TPDRIS.lt) ir Vilniaus rajono savivaldybės interneto svetainėje (vrsa.lt). Pasiūlymus dėl pagrindinės žemės naudojimo paskirties ir žemės naudojimo būdo keitimo galima teikti iki 2024-05-30 Vilniaus rajono savivaldybės administracijai (Rinktinės g. 50, Vilnius) raštu ir Lietuvos Respublikos teritorijų planavimo dokumentų rengimo ir teritorijų planavimo proceso valstybinės priežiūros informacinėje sistemoje.

Ištrauka iš Vilniaus rajono savivaldybės teritorijos dalies („U“ žemės naudojimo funkcinės zonos Avižienių, Juodšilių, Nemėžio, Pagirių, Riešės, Rudaminos ir Zujūnų seniūnijose) bendrojo plano

Prašymas

2024-05-17

Informuojame apie pateiktą nagrinėti prašymą dėl žemės sklypo (kad. Nr. 4110/0400:190), esančio Vilniaus r. sav., Zujūnų sen., Platiniškių k., Viktoriškių g. 30, (toliau – Žemės sklypas) pagrindinės žemės naudojimo paskirties ir žemės naudojimo būdo keitimą. Prašymo tikslas: 0,5832 ha ploto žemės ūkio paskirties žemės sklypo pagrindinės žemės naudojimo paskirties ir žemės naudojimo būdo keitimas į kitos – vienbučių ir dvibučių gyvenamųjų pastatų teritorijos. Su prašymu galima susipažinti nuo 2024-05-17 iki 2024-05-30 Lietuvos Respublikos teritorijų planavimo dokumentų rengimo ir teritorijų planavimo proceso valstybės priežiūros informacinėje svetainėje (TPDRIS.lt) ir Vilniaus rajono savivaldybės interneto svetainėje (vrsa.lt). Pasiūlymus dėl pagrindinės žemės naudojimo paskirties ir žemės naudojimo būdo keitimo galima teikti iki 2024-05-30 Vilniaus rajono savivaldybės administracijai (Rinktinės g. 50, Vilnius) raštu ir Lietuvos Respublikos teritorijų planavimo dokumentų rengimo ir teritorijų planavimo proceso valstybinės priežiūros informacinėje sistemoje.

Ištrauka iš Kraštovaizdžio spec. plano

Prašymas

2024-05-17

Informuojame apie pateiktą nagrinėti prašymą dėl žemės sklypo (kad. Nr. 4160/0100:404, esančio Vilniaus r. sav., Nemenčinė, Švenčionių g. 112, (toliau – Žemės sklypas) pagrindinės žemės naudojimo paskirties ir žemės naudojimo būdo keitimą. Prašymo tikslas: 1,5348 ha ploto komercinės paskirties objektų teritorijos žemės naudojimo būdo keitimas į kitos – pramonės ir sandėlaivimo objektų teritorijos. Su prašymu galima susipažinti nuo 2024-05-17 iki 2024-05-30 Lietuvos Respublikos teritorijų planavimo dokumentų rengimo ir teritorijų planavimo proceso valstybės priežiūros informacinėje svetainėje (TPDRIS.lt) ir Vilniaus rajono savivaldybės interneto svetainėje (vrsa.lt). Pasiūlymus dėl pagrindinės žemės naudojimo paskirties ir žemės naudojimo būdo keitimo galima teikti iki 2024-05-30 Vilniaus rajono savivaldybės administracijai (Rinktinės g. 50, Vilnius) raštu ir Lietuvos Respublikos teritorijų planavimo dokumentų rengimo ir teritorijų planavimo proceso valstybinės priežiūros informacinėje sistemoje.

Ištrauka iš Kraštovaizdžio spec. plano

Prašymas

2024-05-17

Informuojame apie pateiktą nagrinėti prašymą dėl žemės sklypo (kad. Nr. 4167/0300:1289 ), esančio Vilniaus r. sav., Pagirių sen., Tarnėnų k., (toliau – Žemės sklypas) pagrindinės žemės naudojimo paskirties ir žemės naudojimo būdo keitimą. Prašymo tikslas: 0,1954 ha ploto žemės ūkio paskirties Žemės sklypo pagrindinės žemės naudojimo paskirties ir žemės naudojimo būdo keitimas į kitos – vienbučių ir dvibučių gyvenamųjų pastatų teritorijos. Su prašymu galima susipažinti nuo 2024-05-16 iki 2024-05-29 Lietuvos Respublikos teritorijų planavimo dokumentų rengimo ir teritorijų planavimo proceso valstybės priežiūros informacinėje svetainėje (TPDRIS.lt) ir Vilniaus rajono savivaldybės interneto svetainėje (vrsa.lt). Pasiūlymus dėl pagrindinės žemės naudojimo paskirties ir žemės naudojimo būdo keitimo galima teikti iki 2024-05-29 Vilniaus rajono savivaldybės administracijai (Rinktinės g. 50, Vilnius) raštu ir Lietuvos Respublikos teritorijų planavimo dokumentų rengimo ir teritorijų planavimo proceso valstybinės priežiūros informacinėje sistemoje.

Ištrauka iš Vilniaus rajono savivaldybės teritorijos dalies („U" žemės naudojimo funkcinės zonos Avižienių, Juodšilių, Nemėžio, Pagirių, Riešės, Rudaminos ir Zujūnų seniūnijose) bendrojo plano

Prašymas

204-05-16

Informuojame apie pateiktą nagrinėti prašymą dėl žemės sklypo (kad. Nr. 4167/0100:453), esančio Vilniaus r. sav., Pagirių sen., Vaidotų k., (toliau – Žemės sklypas) pagrindinės žemės naudojimo paskirties ir žemės naudojimo būdo keitimą. Prašymo tikslas: 0,0600 ha ploto žemės ūkio paskirties Žemės sklypo pagrindinės žemės naudojimo paskirties ir žemės naudojimo būdo keitimas į kitos – vienbučių ir dvibučių gyvenamųjų pastatų teritorijos. Su prašymu galima susipažinti nuo 2024-05-16 iki 2024-05-29 Lietuvos Respublikos teritorijų planavimo dokumentų rengimo ir teritorijų planavimo proceso valstybės priežiūros informacinėje svetainėje (TPDRIS.lt) ir Vilniaus rajono savivaldybės interneto svetainėje (vrsa.lt). Pasiūlymus dėl pagrindinės žemės naudojimo paskirties ir žemės naudojimo būdo keitimo galima teikti iki 2024-05-29 Vilniaus rajono savivaldybės administracijai (Rinktinės g. 50, Vilnius) raštu ir Lietuvos Respublikos teritorijų planavimo dokumentų rengimo ir teritorijų planavimo proceso valstybinės priežiūros informacinėje sistemoje.

Ištrauka iš Vilniaus rajono savivaldybės teritorijos dalies („U" žemės naudojimo funkcinės zonos Avižienių, Juodšilių, Nemėžio, Pagirių, Riešės, Rudaminos ir Zujūnų seniūnijose) bendrojo plano

Prašymas

204-05-16

Informuojame apie pateiktą nagrinėti prašymą dėl žemės sklypo (kad. Nr. 4196/0200:123), esančio Vilniaus r. sav., Paberžės sen., Sidabrių k., (toliau – Žemės sklypas) pagrindinės žemės naudojimo paskirties ir žemės naudojimo būdo keitimą. Prašymo tikslas: 0,6213 ha ploto žemės ūkio paskirties žemės sklypo pagrindinės žemės naudojimo paskirties ir žemės naudojimo būdo keitimas į kitos – vienbučių ir dvibučių gyvenamųjų pastatų teritorijos. Su prašymu galima susipažinti nuo 2024-05-16 iki 2024-05-29 Lietuvos Respublikos teritorijų planavimo dokumentų rengimo ir teritorijų planavimo proceso valstybės priežiūros informacinėje svetainėje (TPDRIS.lt) ir Vilniaus rajono savivaldybės interneto svetainėje (vrsa.lt). Pasiūlymus dėl pagrindinės žemės naudojimo paskirties ir žemės naudojimo būdo keitimo galima teikti iki 2024-05-29 Vilniaus rajono savivaldybės administracijai (Rinktinės g. 50, Vilnius) raštu ir Lietuvos Respublikos teritorijų planavimo dokumentų rengimo ir teritorijų planavimo proceso valstybinės priežiūros informacinėje sistemoje.

Ištrauka iš Kraštovaizdžio spec. plano

Prašymas

2024-05-16

Informuojame apie pateiktą nagrinėti prašymą dėl žemės sklypo (kad. Nr. 4167/0200:258), esančio Vilniaus r. sav., Pagirių sen., Pagirių k., (toliau – Žemės sklypas) pagrindinės žemės naudojimo paskirties ir žemės naudojimo būdo keitimą. Prašymo tikslas: 0,1978 ha ploto žemės ūkio paskirties Žemės sklypo pagrindinės žemės naudojimo paskirties ir žemės naudojimo būdo keitimas į kitos – vienbučių ir dvibučių gyvenamųjų pastatų teritorijos. Su prašymu galima susipažinti nuo 2024-05-16 iki 2024-05-29 Lietuvos Respublikos teritorijų planavimo dokumentų rengimo ir teritorijų planavimo proceso valstybės priežiūros informacinėje svetainėje (TPDRIS.lt) ir Vilniaus rajono savivaldybės interneto svetainėje (vrsa.lt). Pasiūlymus dėl pagrindinės žemės naudojimo paskirties ir žemės naudojimo būdo keitimo galima teikti iki 2024-05-29 Vilniaus rajono savivaldybės administracijai (Rinktinės g. 50, Vilnius) raštu ir Lietuvos Respublikos teritorijų planavimo dokumentų rengimo ir teritorijų planavimo proceso valstybinės priežiūros informacinėje sistemoje.

Ištrauka iš Vilniaus rajono savivaldybės teritorijos dalies („U" žemės naudojimo funkcinės zonos Avižienių, Juodšilių, Nemėžio, Pagirių, Riešės, Rudaminos ir Zujūnų seniūnijose) bendrojo plano

Prašymas

204-05-16

Informuojame apie pateiktą nagrinėti prašymą dėl žemės sklypo (kad. Nr.4152/1700:661 ), esančio Vilniaus r. sav., Mickūnai, Mickūnų g. 1, (toliau – Žemės sklypas)  žemės naudojimo būdo keitimą. Prašymo tikslas: 0,0278 ha ploto kitos – visuomeninės paskirties teritorijos Žemės sklypo žemės naudojimo būdo keitimas į susisiekimo ir inžinerinių komunikacijų aptarnavimo objektų teritorijos. Su prašymu galima susipažinti nuo 2024-05-16 iki 2024-05-29 Lietuvos Respublikos teritorijų planavimo dokumentų rengimo ir teritorijų planavimo proceso valstybės priežiūros informacinėje svetainėje (TPDRIS.lt) ir Vilniaus rajono savivaldybės interneto svetainėje (vrsa.lt). Pasiūlymus dėl pagrindinės žemės naudojimo paskirties ir žemės naudojimo būdo keitimo galima teikti iki 2024-05-29 Vilniaus rajono savivaldybės administracijai (Rinktinės g. 50, Vilnius) raštu ir Lietuvos Respublikos teritorijų planavimo dokumentų rengimo ir teritorijų planavimo proceso valstybinės priežiūros informacinėje sistemoje.

Ištrauka iš Kraštovaizdžio spec. plano

Prašymas

2024-05-16

Informuojame apie pateiktą nagrinėti prašymą dėl žemės sklypo (kad. Nr. 4147/0200:1094), esančio Vilniaus r. sav., Maišiagalos sen., Kiemelių k., (toliau – Žemės sklypas) pagrindinės žemės naudojimo paskirties ir žemės naudojimo būdo keitimą. Prašymo tikslas: 5,7500 ha ploto žemės ūkio paskirties Žemės sklypo pagrindinės žemės naudojimo paskirties ir žemės naudojimo būdo keitimas į miškų ūkio. Su prašymu galima susipažinti nuo 2024-05-16 iki 2024-05-29 Lietuvos Respublikos teritorijų planavimo dokumentų rengimo ir teritorijų planavimo proceso valstybės priežiūros informacinėje svetainėje (TPDRIS.lt) ir Vilniaus rajono savivaldybės interneto svetainėje (vrsa.lt). Pasiūlymus dėl pagrindinės žemės naudojimo paskirties ir žemės naudojimo būdo keitimo galima teikti iki 2024-05-29 Vilniaus rajono savivaldybės administracijai (Rinktinės g. 50, Vilnius) raštu ir Lietuvos Respublikos teritorijų planavimo dokumentų rengimo ir teritorijų planavimo proceso valstybinės priežiūros informacinėje sistemoje.

Ištrauka iš Kraštovaizdžio spec. plano

Prašymas

2024-05-16

Informuojame apie pateiktą nagrinėti prašymą dėl žemės sklypo (kad. Nr. 4147/0200:1093), esančio Vilniaus r. sav., Maišiagalos sen., Kiemelių k., (toliau – Žemės sklypas) pagrindinės žemės naudojimo paskirties ir žemės naudojimo būdo keitimą. Prašymo tikslas: 5,7500 ha ploto žemės ūkio paskirties Žemės sklypo pagrindinės žemės naudojimo paskirties ir žemės naudojimo būdo keitimas į miškų ūkio. Su prašymu galima susipažinti nuo 2024-05-16 iki 2024-05-29 Lietuvos Respublikos teritorijų planavimo dokumentų rengimo ir teritorijų planavimo proceso valstybės priežiūros informacinėje svetainėje (TPDRIS.lt) ir Vilniaus rajono savivaldybės interneto svetainėje (vrsa.lt). Pasiūlymus dėl pagrindinės žemės naudojimo paskirties ir žemės naudojimo būdo keitimo galima teikti iki 2024-05-29 Vilniaus rajono savivaldybės administracijai (Rinktinės g. 50, Vilnius) raštu ir Lietuvos Respublikos teritorijų planavimo dokumentų rengimo ir teritorijų planavimo proceso valstybinės priežiūros informacinėje sistemoje.

Ištrauka iš Kraštovaizdžio spec. plano

Prašymas

2024-05-16

Informuojame apie pateiktą nagrinėti prašymą dėl žemės sklypo (kad. Nr. 4110/0400:149), esančio Vilniaus r. sav., Zujūnų sen., Mozūriškių k., (toliau – Žemės sklypas) pagrindinės žemės naudojimo paskirties ir žemės naudojimo būdo keitimą. Prašymo tikslas: 0,5502 ha ploto žemės ūkio paskirties žemės sklypo pagrindinės žemės naudojimo paskirties ir žemės naudojimo būdo keitimas į kitos – vienbučių ir dvibučių gyvenamųjų pastatų teritorijos. Su prašymu galima susipažinti nuo 2024-05-15 iki 2024-05-28 Lietuvos Respublikos teritorijų planavimo dokumentų rengimo ir teritorijų planavimo proceso valstybės priežiūros informacinėje svetainėje (TPDRIS.lt) ir Vilniaus rajono savivaldybės interneto svetainėje (vrsa.lt). Pasiūlymus dėl pagrindinės žemės naudojimo paskirties ir žemės naudojimo būdo keitimo galima teikti iki 2024-05-28 Vilniaus rajono savivaldybės administracijai (Rinktinės g. 50, Vilnius) raštu ir Lietuvos Respublikos teritorijų planavimo dokumentų rengimo ir teritorijų planavimo proceso valstybinės priežiūros informacinėje sistemoje.

Ištrauka iš Kraštovaizdžio spec. plano

Prašymas

2024-05-15

Informuojame apie pateiktą nagrinėti prašymą dėl žemės sklypo (kad. Nr. 4152/1700:747), esančio Vilniaus r. sav., Mickūnų sen., Parūdupių k., (toliau – Žemės sklypas) pagrindinės žemės naudojimo paskirties ir žemės naudojimo būdo keitimą. Prašymo tikslas: 0,1398 ha ploto žemės ūkio paskirties žemės sklypo pagrindinės žemės naudojimo paskirties ir žemės naudojimo būdo keitimas į kitos – vienbučių ir dvibučių gyvenamųjų pastatų teritorijos. Su prašymu galima susipažinti nuo 2024-05-15 iki 2024-05-28 Lietuvos Respublikos teritorijų planavimo dokumentų rengimo ir teritorijų planavimo proceso valstybės priežiūros informacinėje svetainėje (TPDRIS.lt) ir Vilniaus rajono savivaldybės interneto svetainėje (vrsa.lt). Pasiūlymus dėl pagrindinės žemės naudojimo paskirties ir žemės naudojimo būdo keitimo galima teikti iki 2024-05-28 Vilniaus rajono savivaldybės administracijai (Rinktinės g. 50, Vilnius) raštu ir Lietuvos Respublikos teritorijų planavimo dokumentų rengimo ir teritorijų planavimo proceso valstybinės priežiūros informacinėje sistemoje.

Ištrauka iš Kraštovaizdžio spec. plano

Prašymas

2024-05-15

Informuojame apie pateiktą nagrinėti prašymą dėl žemės sklypo (kad. Nr. 4117/0300:5170), esančio Vilniaus r. sav., Riešės sen., Pašilių k., (toliau – Žemės sklypas) pagrindinės žemės naudojimo paskirties ir žemės naudojimo būdo keitimą. Prašymo tikslas: 1,400ha ploto žemės ūkio paskirties žemės sklypo pagrindinės žemės naudojimo paskirties ir žemės naudojimo būdo keitimas į kitos – vienbučių ir dvibučių gyvenamųjų pastatų teritorijos. Su prašymu galima susipažinti nuo 2024-05-15 iki 2024-05-28 Lietuvos Respublikos teritorijų planavimo dokumentų rengimo ir teritorijų planavimo proceso valstybės priežiūros informacinėje svetainėje (TPDRIS.lt) ir Vilniaus rajono savivaldybės interneto svetainėje (vrsa.lt). Pasiūlymus dėl pagrindinės žemės naudojimo paskirties ir žemės naudojimo būdo keitimo galima teikti iki 2024-05-28 Vilniaus rajono savivaldybės administracijai (Rinktinės g. 50, Vilnius) raštu ir Lietuvos Respublikos teritorijų planavimo dokumentų rengimo ir teritorijų planavimo proceso valstybinės priežiūros informacinėje sistemoje.

Ištrauka iš Kraštovaizdžio spec. plano

Prašymas

2024-05-15

Informuojame apie pateiktą nagrinėti prašymą dėl žemės sklypo (kad. Nr. 4117/0300:5171), esančio Vilniaus r. sav., Riešės sen., Pašilių k., (toliau – Žemės sklypas) pagrindinės žemės naudojimo paskirties ir žemės naudojimo būdo keitimą. Prašymo tikslas: 4,1200 ha ploto žemės ūkio paskirties žemės sklypo pagrindinės žemės naudojimo paskirties ir žemės naudojimo būdo keitimas į kitos – vienbučių ir dvibučių gyvenamųjų pastatų teritorijos. Su prašymu galima susipažinti nuo 2024-05-15 iki 2024-05-28 Lietuvos Respublikos teritorijų planavimo dokumentų rengimo ir teritorijų planavimo proceso valstybės priežiūros informacinėje svetainėje (TPDRIS.lt) ir Vilniaus rajono savivaldybės interneto svetainėje (vrsa.lt). Pasiūlymus dėl pagrindinės žemės naudojimo paskirties ir žemės naudojimo būdo keitimo galima teikti iki 2024-05-28 Vilniaus rajono savivaldybės administracijai (Rinktinės g. 50, Vilnius) raštu ir Lietuvos Respublikos teritorijų planavimo dokumentų rengimo ir teritorijų planavimo proceso valstybinės priežiūros informacinėje sistemoje.

Ištrauka iš Kraštovaizdžio spec. plano

Prašymas

2024-05-15

Informuojame apie pateiktą nagrinėti prašymą dėl žemės sklypo (kad. Nr. 4177/0400:516), esančio Vilniaus r. sav., Rudaminos sen., Lokių k., (toliau – Žemės sklypas) pagrindinės žemės naudojimo paskirties ir žemės naudojimo būdo keitimą. Prašymo tikslas: 0,4251 ha ploto žemės ūkio paskirties žemės sklypo pagrindinės žemės naudojimo paskirties ir žemės naudojimo būdo keitimas į kitos – vienbučių ir dvibučių gyvenamųjų pastatų teritorijos. Su prašymu galima susipažinti nuo 2024-05-15 iki 2024-05-28 Lietuvos Respublikos teritorijų planavimo dokumentų rengimo ir teritorijų planavimo proceso valstybės priežiūros informacinėje svetainėje (TPDRIS.lt) ir Vilniaus rajono savivaldybės interneto svetainėje (vrsa.lt). Pasiūlymus dėl pagrindinės žemės naudojimo paskirties ir žemės naudojimo būdo keitimo galima teikti iki 2024-05-28 Vilniaus rajono savivaldybės administracijai (Rinktinės g. 50, Vilnius) raštu ir Lietuvos Respublikos teritorijų planavimo dokumentų rengimo ir teritorijų planavimo proceso valstybinės priežiūros informacinėje sistemoje.

Ištrauka iš Kraštovaizdžio spec. plano

Prašymas

2024-05-15

Informuojame apie pateiktą nagrinėti prašymą dėl žemės sklypo (kad. Nr. 4117/0400:5032), esančio Vilniaus r. sav., Riešės sen., Didžiųjų Gulbinų k., (toliau – Žemės sklypas) pagrindinės žemės naudojimo paskirties ir žemės naudojimo būdo keitimą. Prašymo tikslas: 0,1090 ha ploto žemės ūkio paskirties žemės sklypo pagrindinės žemės naudojimo paskirties ir žemės naudojimo būdo keitimas į kitos – vienbučių ir dvibučių gyvenamųjų pastatų teritorijos. Su prašymu galima susipažinti nuo 2024-05-15 iki 2024-05-28 Lietuvos Respublikos teritorijų planavimo dokumentų rengimo ir teritorijų planavimo proceso valstybės priežiūros informacinėje svetainėje (TPDRIS.lt) ir Vilniaus rajono savivaldybės interneto svetainėje (vrsa.lt). Pasiūlymus dėl pagrindinės žemės naudojimo paskirties ir žemės naudojimo būdo keitimo galima teikti iki 2024-05-28 Vilniaus rajono savivaldybės administracijai (Rinktinės g. 50, Vilnius) raštu ir Lietuvos Respublikos teritorijų planavimo dokumentų rengimo ir teritorijų planavimo proceso valstybinės priežiūros informacinėje sistemoje.

Ištrauka iš Kraštovaizdžio spec. plano

Prašymas

2024-05-15

Priimtas sprendimas dėl žemės sklypo (kad. Nr. 4174/0300:17), esančio Vilniaus r. sav., Avižienių sen., Galinės k., Kalno g. 92,  žemės naudojimo būdo nustatymo.

Sprendimas

2024-05-10

 

Informuojame apie pateiktą nagrinėti prašymą dėl žemės sklypo (kad. Nr. 4170/0400:0126), esančio Vilniaus r. sav., Riešės sen., Tarpežerės k., Šaltoniškių g. 66, (toliau – Žemės sklypas) pagrindinės žemės naudojimo paskirties ir žemės naudojimo būdo keitimą. Prašymo tikslas: 0,5123 ha ploto žemės ūkio paskirties žemės sklypo pagrindinės žemės naudojimo paskirties ir žemės naudojimo būdo keitimas į kitos – vienbučių ir dvibučių gyvenamųjų pastatų teritorijos. Su prašymu galima susipažinti nuo 2024-05-10 iki 2024-05-23 Lietuvos Respublikos teritorijų planavimo dokumentų rengimo ir teritorijų planavimo proceso valstybės priežiūros informacinėje svetainėje (TPDRIS.lt) ir Vilniaus rajono savivaldybės interneto svetainėje (vrsa.lt). Pasiūlymus dėl pagrindinės žemės naudojimo paskirties ir žemės naudojimo būdo keitimo galima teikti iki 2024-05-23 Vilniaus rajono savivaldybės administracijai (Rinktinės g. 50, Vilnius) raštu ir Lietuvos Respublikos teritorijų planavimo dokumentų rengimo ir teritorijų planavimo proceso valstybinės priežiūros informacinėje sistemoje.

Ištrauka iš Kraštovaizdžio spec. plano

Prašymas

2024-05-10

 

Informuojame apie pateiktą nagrinėti prašymą dėl žemės sklypo (kad. Nr. 4170/0400:0125), esančio Vilniaus r. sav., Riešės sen., Tarpežerės k., (toliau – Žemės sklypas) pagrindinės žemės naudojimo paskirties ir žemės naudojimo būdo keitimą. Prašymo tikslas: 0,2326 ha ploto žemės ūkio paskirties žemės sklypo pagrindinės žemės naudojimo paskirties ir žemės naudojimo būdo keitimas į kitos – vienbučių ir dvibučių gyvenamųjų pastatų teritorijos. Su prašymu galima susipažinti nuo 2024-05-10 iki 2024-05-23 Lietuvos Respublikos teritorijų planavimo dokumentų rengimo ir teritorijų planavimo proceso valstybės priežiūros informacinėje svetainėje (TPDRIS.lt) ir Vilniaus rajono savivaldybės interneto svetainėje (vrsa.lt). Pasiūlymus dėl pagrindinės žemės naudojimo paskirties ir žemės naudojimo būdo keitimo galima teikti iki 2024-05-23 Vilniaus rajono savivaldybės administracijai (Rinktinės g. 50, Vilnius) raštu ir Lietuvos Respublikos teritorijų planavimo dokumentų rengimo ir teritorijų planavimo proceso valstybinės priežiūros informacinėje sistemoje.

Ištrauka iš Kraštovaizdžio spec. plano

Prašymas

2024-05-10

Informuojame apie pateiktą nagrinėti prašymą dėl žemės sklypo (kad. Nr.4152/0800:231), esančio Vilniaus r. sav., Mickūnų sen., Lytos k., (toliau – Žemės sklypas) pagrindinės žemės naudojimo paskirties ir žemės naudojimo būdo keitimą. Prašymo tikslas: 1,1594 ha ploto žemės ūkio paskirties žemės sklypo pagrindinės žemės naudojimo paskirties ir žemės naudojimo būdo keitimas į kitos – vienbučių ir dvibučių gyvenamųjų pastatų teritorijos. Su prašymu galima susipažinti nuo 2024-05-10 iki 2024-05-23 Lietuvos Respublikos teritorijų planavimo dokumentų rengimo ir teritorijų planavimo proceso valstybės priežiūros informacinėje svetainėje (TPDRIS.lt) ir Vilniaus rajono savivaldybės interneto svetainėje (vrsa.lt). Pasiūlymus dėl pagrindinės žemės naudojimo paskirties ir žemės naudojimo būdo keitimo galima teikti iki 2024-05-23 Vilniaus rajono savivaldybės administracijai (Rinktinės g. 50, Vilnius) raštu ir Lietuvos Respublikos teritorijų planavimo dokumentų rengimo ir teritorijų planavimo proceso valstybinės priežiūros informacinėje sistemoje.

Ištrauka iš Kraštovaizdžio spec. plano

Prašymas

2024-05-10

 

Informuojame apie pateiktą nagrinėti prašymą dėl žemės sklypo (kad. Nr.4110/0700:953), esančio Vilniaus r. sav., Zujūnų sen., Zujūnų k., (toliau – Žemės sklypas) pagrindinės žemės naudojimo paskirties ir žemės naudojimo būdo keitimą. Prašymo tikslas: 0,3500 ha ploto žemės ūkio paskirties žemės sklypo pagrindinės žemės naudojimo paskirties ir žemės naudojimo būdo keitimas į kitos – vienbučių ir dvibučių gyvenamųjų pastatų teritorijos. Su prašymu galima susipažinti nuo 2024-05-07 iki 2024-05-20 Lietuvos Respublikos teritorijų planavimo dokumentų rengimo ir teritorijų planavimo proceso valstybės priežiūros informacinėje svetainėje (TPDRIS.lt) ir Vilniaus rajono savivaldybės interneto svetainėje (vrsa.lt). Pasiūlymus dėl pagrindinės žemės naudojimo paskirties ir žemės naudojimo būdo keitimo galima teikti iki 2024-05-20 Vilniaus rajono savivaldybės administracijai (Rinktinės g. 50, Vilnius) raštu ir Lietuvos Respublikos teritorijų planavimo dokumentų rengimo ir teritorijų planavimo proceso valstybinės priežiūros informacinėje sistemoje.

Ištrauka iš Vilniaus rajono savivaldybės teritorijos dalies („U" žemės naudojimo funkcinės zonos Avižienių, Juodšilių, Nemėžio, Pagirių, Riešės, Rudaminos ir Zujūnų seniūnijose) bendrojo plano

Prašymas

2024-05-07

Informuojame apie pateiktą nagrinėti prašymą dėl žemės sklypo (kad. Nr.4154/2000:785), esančio Vilniaus r. sav., Marijampolio sen., Marijampolio k., Savivaldybių g. 48, (toliau – Žemės sklypas) pagrindinės žemės naudojimo paskirties ir žemės naudojimo būdo keitimą. Prašymo tikslas: 0,5818 ha ploto žemės ūkio paskirties žemės sklypo pagrindinės žemės naudojimo paskirties ir žemės naudojimo būdo keitimas į kitos – komercinės paskirties teritorijos. Su prašymu galima susipažinti nuo 2024-05-07 iki 2024-05-20 Lietuvos Respublikos teritorijų planavimo dokumentų rengimo ir teritorijų planavimo proceso valstybės priežiūros informacinėje svetainėje (TPDRIS.lt) ir Vilniaus rajono savivaldybės interneto svetainėje (vrsa.lt). Pasiūlymus dėl pagrindinės žemės naudojimo paskirties ir žemės naudojimo būdo keitimo galima teikti iki 2024-05-20 Vilniaus rajono savivaldybės administracijai (Rinktinės g. 50, Vilnius) raštu ir Lietuvos Respublikos teritorijų planavimo dokumentų rengimo ir teritorijų planavimo proceso valstybinės priežiūros informacinėje sistemoje.

Ištrauka iš Kraštovaizdžio spec. plano

Prašymas

2024-05-07

Informuojame apie pateiktą nagrinėti prašymą dėl žemės sklypų (kad. Nr. 4174/0100:2137), esančių Vilniaus r. sav., Avižienių sen., Riešės k., Beržų g. 43C, (toliau – Žemės sklypas) pagrindinės žemės naudojimo paskirties ir žemės naudojimo būdo keitimą. Prašymo tikslas: 0,1190 ha ploto Vienbučių ir dvibučių gyvenamųjų pastatų teritorijos Žemės sklypo pagrindinės žemės naudojimo paskirties ir žemės naudojimo būdo keitimas į kitos – komercinė paskirties teritorijos. Su prašymu galima susipažinti nuo 2024-05-07 iki 2024-05-20 Lietuvos Respublikos teritorijų planavimo dokumentų rengimo ir teritorijų planavimo proceso valstybės priežiūros informacinėje svetainėje (TPDRIS.lt) ir Vilniaus rajono savivaldybės interneto svetainėje (vrsa.lt). Pasiūlymus dėl pagrindinės žemės naudojimo paskirties ir žemės naudojimo būdo keitimo galima teikti iki 2024-05-20 Vilniaus rajono savivaldybės administracijai (Rinktinės g. 50, Vilnius) raštu ir Lietuvos Respublikos teritorijų planavimo dokumentų rengimo ir teritorijų planavimo proceso valstybinės priežiūros informacinėje sistemoje.

Ištrauka iš Vilniaus rajono savivaldybės teritorijos dalies („U" žemės naudojimo funkcinės zonos Avižienių, Juodšilių, Nemėžio, Pagirių, Riešės, Rudaminos ir Zujūnų seniūnijose) bendrojo plano

Prašymas

2024-05-07

Informuojame apie pateiktą nagrinėti prašymą dėl žemės sklypų (kad. Nr. 4174/0100:2134), esančių Vilniaus r. sav., Avižienių sen., Riešės k., Beržų g. 43, (toliau – Žemės sklypas) pagrindinės žemės naudojimo paskirties ir žemės naudojimo būdo keitimą. Prašymo tikslas: 0,1200 ha ploto Vienbučių ir dvibučių gyvenamųjų pastatų teritorijos Žemės sklypo pagrindinės žemės naudojimo paskirties ir žemės naudojimo būdo keitimas į kitos – komercinė paskirties teritorijos. Su prašymu galima susipažinti nuo 2024-05-07 iki 2024-05-20 Lietuvos Respublikos teritorijų planavimo dokumentų rengimo ir teritorijų planavimo proceso valstybės priežiūros informacinėje svetainėje (TPDRIS.lt) ir Vilniaus rajono savivaldybės interneto svetainėje (vrsa.lt). Pasiūlymus dėl pagrindinės žemės naudojimo paskirties ir žemės naudojimo būdo keitimo galima teikti iki 2024-05-20 Vilniaus rajono savivaldybės administracijai (Rinktinės g. 50, Vilnius) raštu ir Lietuvos Respublikos teritorijų planavimo dokumentų rengimo ir teritorijų planavimo proceso valstybinės priežiūros informacinėje sistemoje.

Ištrauka iš Vilniaus rajono savivaldybės teritorijos dalies („U" žemės naudojimo funkcinės zonos Avižienių, Juodšilių, Nemėžio, Pagirių, Riešės, Rudaminos ir Zujūnų seniūnijose) bendrojo plano

Prašymas

2024-05-07

Informuojame apie pateiktą nagrinėti prašymą dėl žemės sklypo (kad. Nr.4142/0600:295), esančio Vilniaus r. sav., Šatrininkų sen., Kapitulščiznos k., (toliau – Žemės sklypas) pagrindinės žemės naudojimo paskirties ir žemės naudojimo būdo keitimą. Prašymo tikslas: 0,9909 ha ploto žemės ūkio paskirties žemės sklypo pagrindinės žemės naudojimo paskirties ir žemės naudojimo būdo keitimas į kitos – vienbučių ir dvibučių gyvenamųjų pastatų teritorijos. Su prašymu galima susipažinti nuo 2024-04-25 iki 2024-05-09 Lietuvos Respublikos teritorijų planavimo dokumentų rengimo ir teritorijų planavimo proceso valstybės priežiūros informacinėje svetainėje (TPDRIS.lt) ir Vilniaus rajono savivaldybės interneto svetainėje (vrsa.lt). Pasiūlymus dėl pagrindinės žemės naudojimo paskirties ir žemės naudojimo būdo keitimo galima teikti iki 2024-05-09 Vilniaus rajono savivaldybės administracijai (Rinktinės g. 50, Vilnius) raštu ir Lietuvos Respublikos teritorijų planavimo dokumentų rengimo ir teritorijų planavimo proceso valstybinės priežiūros informacinėje sistemoje.

Ištrauka iš Kraštovaizdžio spec. plano

Prašymas

2024-04-25

Informuojame apie pateiktą nagrinėti prašymą dėl žemės sklypo (kad. Nr.4107/0600:90), esančio Vilniaus r. sav., Bezdonių sen., Bilkiškių k,, (toliau – Žemės sklypas) pagrindinės žemės naudojimo paskirties ir žemės naudojimo būdo keitimą. Prašymo tikslas: 0,1209 ha ploto žemės ūkio paskirties žemės sklypo pagrindinės žemės naudojimo paskirties ir žemės naudojimo būdo keitimas į kitos – vienbučių ir dvibučių gyvenamųjų pastatų teritorijos. Su prašymu galima susipažinti nuo 2024-04-25 iki 2024-05-09 Lietuvos Respublikos teritorijų planavimo dokumentų rengimo ir teritorijų planavimo proceso valstybės priežiūros informacinėje svetainėje (TPDRIS.lt) ir Vilniaus rajono savivaldybės interneto svetainėje (vrsa.lt). Pasiūlymus dėl pagrindinės žemės naudojimo paskirties ir žemės naudojimo būdo keitimo galima teikti iki 2024-05-09 Vilniaus rajono savivaldybės administracijai (Rinktinės g. 50, Vilnius) raštu ir Lietuvos Respublikos teritorijų planavimo dokumentų rengimo ir teritorijų planavimo proceso valstybinės priežiūros informacinėje sistemoje.

Ištrauka iš Kraštovaizdžio spec. plano

Prašymas

2024-04-25

Informuojame apie pateiktą nagrinėti prašymą dėl žemės sklypo (kad. Nr.4134/0100:482), esančio Vilniaus r. sav., Paberžės sen., Glitiškių k., (toliau – Žemės sklypas) pagrindinės žemės naudojimo paskirties ir žemės naudojimo būdo keitimą. Prašymo tikslas: 0,2281 ha ploto žemės ūkio paskirties žemės sklypo pagrindinės žemės naudojimo paskirties ir žemės naudojimo būdo keitimas į kitos – vienbučių ir dvibučių gyvenamųjų pastatų teritorijos. Su prašymu galima susipažinti nuo 2024-04-23 iki 2024-05-05 Lietuvos Respublikos teritorijų planavimo dokumentų rengimo ir teritorijų planavimo proceso valstybės priežiūros informacinėje svetainėje (TPDRIS.lt) ir Vilniaus rajono savivaldybės interneto svetainėje (vrsa.lt). Pasiūlymus dėl pagrindinės žemės naudojimo paskirties ir žemės naudojimo būdo keitimo galima teikti iki 2024-05-05 Vilniaus rajono savivaldybės administracijai (Rinktinės g. 50, Vilnius) raštu ir Lietuvos Respublikos teritorijų planavimo dokumentų rengimo ir teritorijų planavimo proceso valstybinės priežiūros informacinėje sistemoje.

Ištrauka iš Kraštovaizdžio spec. plano

Prašymas

2024-04-23

 

Informuojame apie pateiktą nagrinėti prašymą dėl žemės sklypo (kad. Nr.4110/0400:678), esančio Vilniaus r. sav., Zujūnų sen., Koplyčninkų k., Koplyčninkų g. 30, (toliau – Žemės sklypas) pagrindinės žemės naudojimo paskirties ir žemės naudojimo būdo keitimą. Prašymo tikslas: 0,2123 ha ploto kitos – vienbučių ir dvibučių gyvenamųjų pastatų teritorijos paskirties žemės sklypo žemės naudojimo būdo keitimas į komercinės paskirties objektų teritorijos. Su prašymu galima susipažinti nuo 2024-04-23 iki 2024-05-05 Lietuvos Respublikos teritorijų planavimo dokumentų rengimo ir teritorijų planavimo proceso valstybės priežiūros informacinėje svetainėje (TPDRIS.lt) ir Vilniaus rajono savivaldybės interneto svetainėje (vrsa.lt). Pasiūlymus dėl pagrindinės žemės naudojimo paskirties ir žemės naudojimo būdo keitimo galima teikti iki 2024-05-05 Vilniaus rajono savivaldybės administracijai (Rinktinės g. 50, Vilnius) raštu ir Lietuvos Respublikos teritorijų planavimo dokumentų rengimo ir teritorijų planavimo proceso valstybinės priežiūros informacinėje sistemoje.

Ištrauka iš Kraštovaizdžio spec. plano

Prašymas

2024-04-23

Informuojame apie pateiktą nagrinėti prašymą dėl žemės sklypo (kad. Nr. 4162/0100:881, esančio Vilniaus r. sav., Nemėžio sen., Nemėžio k., (toliau – Žemės sklypas) pagrindinės žemės naudojimo paskirties ir žemės naudojimo būdo keitimą. Prašymo tikslas: 0,1600 ha ploto žemės ūkio paskirties Žemės sklypo pagrindinės žemės naudojimo paskirties ir žemės naudojimo būdo keitimas į kitos – pramonės ir sandėlaivimo objektų teritorijos. Su prašymu galima susipažinti nuo 2024-04-23 iki 2024-05-05 Lietuvos Respublikos teritorijų planavimo dokumentų rengimo ir teritorijų planavimo proceso valstybės priežiūros informacinėje svetainėje (TPDRIS.lt) ir Vilniaus rajono savivaldybės interneto svetainėje (vrsa.lt). Pasiūlymus dėl pagrindinės žemės naudojimo paskirties ir žemės naudojimo būdo keitimo galima teikti iki 2024-04-29 Vilniaus rajono savivaldybės administracijai (Rinktinės g. 50, Vilnius) raštu ir Lietuvos Respublikos teritorijų planavimo dokumentų rengimo ir teritorijų planavimo proceso valstybinės priežiūros informacinėje sistemoje.

Ištrauka iš Vilniaus rajono savivaldybės teritorijos dalies („U" žemės naudojimo funkcinės zonos Avižienių, Juodšilių, Nemėžio, Pagirių, Riešės, Rudaminos ir Zujūnų seniūnijose) bendrojo plano

Prašymas

2024-04-23

Informuojame apie pateiktą nagrinėti prašymą dėl žemės sklypo (kad. Nr. 4142/0300:483), esančio Vilniaus r. sav., Šatrininkų sen., Grigaičių k., (toliau – Žemės sklypas) pagrindinės žemės naudojimo paskirties ir žemės naudojimo būdo keitimą. Prašymo tikslas: 0,1192 ha ploto žemės ūkio paskirties Žemės sklypo pagrindinės žemės naudojimo paskirties ir žemės naudojimo būdo keitimas į kitos – vienbučių ir dvibučių gyvenamųjų pastatų teritorijos. Su prašymu galima susipažinti nuo 2024-04-23 iki 2024-05-05 Lietuvos Respublikos teritorijų planavimo dokumentų rengimo ir teritorijų planavimo proceso valstybės priežiūros informacinėje svetainėje (TPDRIS.lt) ir Vilniaus rajono savivaldybės interneto svetainėje (vrsa.lt). Pasiūlymus dėl pagrindinės žemės naudojimo paskirties ir žemės naudojimo būdo keitimo galima teikti iki 2024-05-05 Vilniaus rajono savivaldybės administracijai (Rinktinės g. 50, Vilnius) raštu ir Lietuvos Respublikos teritorijų planavimo dokumentų rengimo ir teritorijų planavimo proceso valstybinės priežiūros informacinėje sistemoje.

Ištrauka iš Kraštovaizdžio spec. plano

Prašymas

2024-04-23

Informuojame apie pateiktą nagrinėti prašymą dėl žemės sklypo (kad. Nr. 4187/0100:157), esančio Vilniaus r. sav., Sužionių sen., Sužionių k., (toliau – Žemės sklypas) pagrindinės žemės naudojimo paskirties ir žemės naudojimo būdo keitimą. Prašymo tikslas: 0,1498 ha ploto žemės ūkio paskirties Žemės sklypo pagrindinės žemės naudojimo paskirties ir žemės naudojimo būdo keitimas į kitos – vienbučių ir dvibučių gyvenamųjų pastatų teritorijos. Su prašymu galima susipažinti nuo 2024-04-19 iki 2024-05-03 Lietuvos Respublikos teritorijų planavimo dokumentų rengimo ir teritorijų planavimo proceso valstybės priežiūros informacinėje svetainėje (TPDRIS.lt) ir Vilniaus rajono savivaldybės interneto svetainėje (vrsa.lt). Pasiūlymus dėl pagrindinės žemės naudojimo paskirties ir žemės naudojimo būdo keitimo galima teikti iki 2024-05-03 Vilniaus rajono savivaldybės administracijai (Rinktinės g. 50, Vilnius) raštu ir Lietuvos Respublikos teritorijų planavimo dokumentų rengimo ir teritorijų planavimo proceso valstybinės priežiūros informacinėje sistemoje.

Ištrauka iš Kraštovaizdžio spec. plano

Prašymas

2024-04-19

Informujame apie pateiktą nagrinėti prašymą dėl žemės sklypo (kad. Nr. 4132/0600:39), esančio Vilniaus r. sav., Maišiagalos sen., Gudelių k., (toliau – Žemės sklypas) pagrindinės žemės naudojimo paskirties ir žemės naudojimo būdo keitimą. Prašymo tikslas: 1,1539 ha ploto žemės ūkio paskirties Žemės sklypo pagrindinės žemės naudojimo paskirties ir žemės naudojimo būdo keitimas į kitos – vienbučių ir dvibučių gyvenamųjų pastatų teritorijos. Su prašymu galima susipažinti nuo 2024-04-18 iki 2024-05-02 Lietuvos Respublikos teritorijų planavimo dokumentų rengimo ir teritorijų planavimo proceso valstybės priežiūros informacinėje svetainėje (TPDRIS.lt) ir Vilniaus rajono savivaldybės interneto svetainėje (vrsa.lt). Pasiūlymus dėl pagrindinės žemės naudojimo paskirties ir žemės naudojimo būdo keitimo galima teikti iki 2024-04-29 Vilniaus rajono savivaldybės administracijai (Rinktinės g. 50, Vilnius) raštu ir Lietuvos Respublikos teritorijų planavimo dokumentų rengimo ir teritorijų planavimo proceso valstybinės priežiūros informacinėje sistemoje.

Ištrauka iš Kraštovaizdžio spec. plano

Prašymas

2024-04-18

Informuojame apie pateiktą nagrinėti prašymą dėl žemės sklypo (kad. Nr. 4101/0700:103), esančio Vilniaus r. sav., Bezdonių sen., Kreivėnų vs., (toliau – Žemės sklypas) pagrindinės žemės naudojimo paskirties ir žemės naudojimo būdo keitimą. Prašymo tikslas: 0,3900 ha ploto žemės ūkio paskirties Žemės sklypo pagrindinės žemės naudojimo paskirties ir žemės naudojimo būdo keitimas į kitos – vienbučių ir dvibučių gyvenamųjų pastatų teritorijos. Su prašymu galima susipažinti nuo 2024-04-16 iki 2024-04-29 Lietuvos Respublikos teritorijų planavimo dokumentų rengimo ir teritorijų planavimo proceso valstybės priežiūros informacinėje svetainėje (TPDRIS.lt) ir Vilniaus rajono savivaldybės interneto svetainėje (vrsa.lt). Pasiūlymus dėl pagrindinės žemės naudojimo paskirties ir žemės naudojimo būdo keitimo galima teikti iki 2024-04-29 Vilniaus rajono savivaldybės administracijai (Rinktinės g. 50, Vilnius) raštu ir Lietuvos Respublikos teritorijų planavimo dokumentų rengimo ir teritorijų planavimo proceso valstybinės priežiūros informacinėje sistemoje.

Ištrauka iš Kraštovaizdžio spec. plano

Prašymas

2024-04-16

Informuojame apie pateiktą nagrinėti prašymą dėl žemės sklypo (kad. Nr. 4162/0200:1124, esančioVilniaus r. sav., Nemėžio sen., Daržininkų k., (toliau – Žemės sklypas) pagrindinės žemės naudojimo paskirties ir žemės naudojimo būdo keitimą. Prašymo tikslas: 0,9954 ha ploto žemės ūkio paskirties Žemės sklypo pagrindinės žemės naudojimo paskirties ir žemės naudojimo būdo keitimas į kitos – komercinė paskirties teritorijos. Su prašymu galima susipažinti nuo 2024-04-16 iki 2024-04-29 Lietuvos Respublikos teritorijų planavimo dokumentų rengimo ir teritorijų planavimo proceso valstybės priežiūros informacinėje svetainėje (TPDRIS.lt) ir Vilniaus rajono savivaldybės interneto svetainėje (vrsa.lt). Pasiūlymus dėl pagrindinės žemės naudojimo paskirties ir žemės naudojimo būdo keitimo galima teikti iki 2024-04-29 Vilniaus rajono savivaldybės administracijai (Rinktinės g. 50, Vilnius) raštu ir Lietuvos Respublikos teritorijų planavimo dokumentų rengimo ir teritorijų planavimo proceso valstybinės priežiūros informacinėje sistemoje.

Ištrauka iš Vilniaus rajono savivaldybės teritorijos dalies („U" žemės naudojimo funkcinės zonos Avižienių, Juodšilių, Nemėžio, Pagirių, Riešės, Rudaminos ir Zujūnų seniūnijose) bendrojo plano

Prašymas

2024-04-16

Informuojame apie pateiktą nagrinėti prašymą dėl žemės sklypo (kad. Nr. 4103/0200:2687), esančio Vilniaus r. sav., Avižienių sen., Avižienių k., Ožiarūčių g. 23, (toliau – Žemės sklypas) pagrindinės žemės naudojimo paskirties ir žemės naudojimo būdo keitimą. Prašymo tikslas: 0,4211 ha ploto Pramonės ir sandėliavimo objektų teritorijos Žemės sklypo pagrindinės žemės naudojimo paskirties ir žemės naudojimo būdo keitimas į kitos – komercinė paskirties teritorijos. Su prašymu galima susipažinti nuo 2024-04-16 iki 2024-04-29 Lietuvos Respublikos teritorijų planavimo dokumentų rengimo ir teritorijų planavimo proceso valstybės priežiūros informacinėje svetainėje (TPDRIS.lt) ir Vilniaus rajono savivaldybės interneto svetainėje (vrsa.lt). Pasiūlymus dėl pagrindinės žemės naudojimo paskirties ir žemės naudojimo būdo keitimo galima teikti iki 2024-04-29 Vilniaus rajono savivaldybės administracijai (Rinktinės g. 50, Vilnius) raštu ir Lietuvos Respublikos teritorijų planavimo dokumentų rengimo ir teritorijų planavimo proceso valstybinės priežiūros informacinėje sistemoje.

Ištrauka iš Vilniaus rajono savivaldybės teritorijos dalies („U" žemės naudojimo funkcinės zonos Avižienių, Juodšilių, Nemėžio, Pagirių, Riešės, Rudaminos ir Zujūnų seniūnijose) bendrojo plano

Prašymas

2024-04-16

Priimtas sprendimas dėl žemės sklypo (kad. Nr. 4174/0200:8796), esančio Vilniaus r. sav.,Avižienių sen., Bendorių k., pagrindinės žemės naudojimo paskirties ir žemės naudojimo būdo keitimo.

Sprendimas

2024-04-12

 

Priimtas sprendimas dėl žemės sklypo (kad. Nr. 4174/0200:2688), esančio Vilniaus r. sav.,Avižienių sen., Bendorių k., pagrindinės žemės naudojimo paskirties ir žemės naudojimo būdo keitimo.

Sprendimas

2024-04-12

 

Priimtas sprendimas dėl žemės sklypo (kad. Nr. 4174/0200:3161), esančio Vilniaus r. sav.,Avižienių sen., Bendorių k., pagrindinės žemės naudojimo paskirties ir žemės naudojimo būdo keitimo.

Sprendimas

2024-04-12

 

Informuojame apie pateiktą nagrinėti prašymą dėl žemės sklypo (kad. Nr. 4147/0200:1093), esančio Vilniaus r. sav., Maišiagalos sen., Kiemelių k., (toliau – Žemės sklypas) pagrindinės žemės naudojimo paskirties ir žemės naudojimo būdo keitimą. Prašymo tikslas: 5,7500 ha ploto žemės ūkio paskirties Žemės sklypo pagrindinės žemės naudojimo paskirties ir žemės naudojimo būdo keitimas į miškų ūkio. Su prašymu galima susipažinti nuo 2024-04-11 iki 2024-04-25 Lietuvos Respublikos teritorijų planavimo dokumentų rengimo ir teritorijų planavimo proceso valstybės priežiūros informacinėje svetainėje (TPDRIS.lt) ir Vilniaus rajono savivaldybės interneto svetainėje (vrsa.lt). Pasiūlymus dėl pagrindinės žemės naudojimo paskirties ir žemės naudojimo būdo keitimo galima teikti iki 2024-04-25 Vilniaus rajono savivaldybės administracijai (Rinktinės g. 50, Vilnius) raštu ir Lietuvos Respublikos teritorijų planavimo dokumentų rengimo ir teritorijų planavimo proceso valstybinės priežiūros informacinėje sistemoje.

Ištrauka iš Kraštovaizdžio spec. plano

Prašymas

2024-04-11

 

Informuojame apie pateiktą nagrinėti prašymą dėl žemės sklypo (kad. Nr. 4174/0100:1482), esančio Vilniaus r. sav., Avižienių sen., Riešės k., (toliau – Žemės sklypas) pagrindinės žemės naudojimo paskirties ir žemės naudojimo būdo keitimą. Prašymo tikslas: 0,1300 ha ploto žemės ūkio paskirties Žemės sklypo pagrindinės žemės naudojimo paskirties ir žemės naudojimo būdo keitimas į kitos – komercinė paskirties teritorijos. Su prašymu galima susipažinti nuo 2024-04-11 iki 2024-04-24 Lietuvos Respublikos teritorijų planavimo dokumentų rengimo ir teritorijų planavimo proceso valstybės priežiūros informacinėje svetainėje (TPDRIS.lt) ir Vilniaus rajono savivaldybės interneto svetainėje (vrsa.lt). Pasiūlymus dėl pagrindinės žemės naudojimo paskirties ir žemės naudojimo būdo keitimo galima teikti iki 2024-04-24 Vilniaus rajono savivaldybės administracijai (Rinktinės g. 50, Vilnius) raštu ir Lietuvos Respublikos teritorijų planavimo dokumentų rengimo ir teritorijų planavimo proceso valstybinės priežiūros informacinėje sistemoje.

Ištrauka iš Vilniaus rajono savivaldybės teritorijos dalies („U" žemės naudojimo funkcinės zonos Avižienių, Juodšilių, Nemėžio, Pagirių, Riešės, Rudaminos ir Zujūnų seniūnijose) bendrojo plano

Prašymas

2024-04-11

 

Informuojame apie pateiktą nagrinėti prašymą dėl žemės sklypo (kad. Nr. 4110/0600:800), esančio Vilniaus r. sav., Zujūnų sen., Salotės k. (toliau – Žemės sklypas) pagrindinės žemės naudojimo paskirties ir žemės naudojimo būdo keitimo. Prašymo tikslas: nustatyti 0,1723 ha ploto žemės ūkio paskirties Žemės sklypo pagrindinės žemės naudojimo paskirties ir žemės naudojimo būdo keitimas į kitos – vienbučių ir dvibučių gyvenamųjų pastatų teritorijos. Su prašymu galima susipažinti nuo 2024-04-10 iki 2024-04-23 Lietuvos Respublikos teritorijų planavimo dokumentų rengimo ir teritorijų planavimo proceso valstybės priežiūros informacinėje svetainėje (TPDRIS.lt) ir Vilniaus rajono savivaldybės interneto svetainėje (vrsa.lt). Pasiūlymus dėl pagrindinės žemės naudojimo paskirties ir žemės naudojimo būdo keitimo galima teikti iki 2024-04-23 Vilniaus rajono savivaldybės administracijai (Rinktinės g. 50, Vilnius) raštu ir Lietuvos Respublikos teritorijų planavimo dokumentų rengimo ir teritorijų planavimo proceso valstybinės priežiūros informacinėje sistemoje.

Ištrauka iš Kraštovaizdžio spec. plano

Prašymas

2024-04-10

 

Informuojame apie pateiktą nagrinėti prašymą dėl žemės sklypo (kad. Nr. 4110/0100:472), esančio Vilniaus r. sav., Zujūnų sen., Čekoniškių k. (toliau – Žemės sklypas) pagrindinės žemės naudojimo paskirties ir žemės naudojimo būdo keitimo. Prašymo tikslas: nustatyti 0,5432 ha ploto žemės ūkio paskirties Žemės sklypo pagrindinės žemės naudojimo paskirties ir žemės naudojimo būdo keitimas į kitos – vienbučių ir dvibučių gyvenamųjų pastatų teritorijos. Su prašymu galima susipažinti nuo 2024-04-10 iki 2024-04-23 Lietuvos Respublikos teritorijų planavimo dokumentų rengimo ir teritorijų planavimo proceso valstybės priežiūros informacinėje svetainėje (TPDRIS.lt) ir Vilniaus rajono savivaldybės interneto svetainėje (vrsa.lt). Pasiūlymus dėl pagrindinės žemės naudojimo paskirties ir žemės naudojimo būdo keitimo galima teikti iki 2024-04-23 Vilniaus rajono savivaldybės administracijai (Rinktinės g. 50, Vilnius) raštu ir Lietuvos Respublikos teritorijų planavimo dokumentų rengimo ir teritorijų planavimo proceso valstybinės priežiūros informacinėje sistemoje.

Ištrauka iš Kraštovaizdžio spec. plano

Prašymas

2024-04-10

 

Informuojame apie pateiktą nagrinėti prašymą dėl žemės sklypo (kad. Nr. 4160/0100:502), esančio Vilniaus r. sav., Nemenčinė, Bažnyčios g. 21, (toliau – Žemės sklypas) žemės naudojimo būdo nustatymo. Prašymo tikslas: nustatyti 2,2154 ha ploto kitos paskirties Žemės sklypui naudojimo būdą – Susisiekimo ir inžinerinių komunikacijų aptarnavimo objektų teritorijos. Su prašymu galima susipažinti nuo 2024-04-05 iki 2024-04-18 Lietuvos Respublikos teritorijų planavimo dokumentų rengimo ir teritorijų planavimo proceso valstybės priežiūros informacinėje svetainėje (TPDRIS.lt) ir Vilniaus rajono savivaldybės interneto svetainėje (vrsa.lt). Pasiūlymus dėl pagrindinės žemės naudojimo paskirties ir žemės naudojimo būdo keitimo galima teikti iki 2024-04-18 Vilniaus rajono savivaldybės administracijai (Rinktinės g. 50, Vilnius) raštu ir Lietuvos Respublikos teritorijų planavimo dokumentų rengimo ir teritorijų planavimo proceso valstybinės priežiūros informacinėje sistemoje.

Ištrauka iš Kraštovaizdžio spec. plano

Prašymas

2024-04-05

 

 

Informuojame apie pateiktą nagrinėti prašymą dėl žemės sklypo (kad. Nr. 4124/0700:447), esančio Vilniaus r. sav., Sudervės sen., Elniakampio k. 8, (toliau – Žemės sklypas) pagrindinės žemės naudojimo paskirties ir žemės naudojimo būdo keitimo. Prašymo tikslas: nustatyti 0,7000 ha ploto žemės ūkio paskirties Žemės sklypo pagrindinės žemės naudojimo paskirties ir žemės naudojimo būdo keitimas į kitos – vienbučių ir dvibučių gyvenamųjų pastatų teritorijos. Su prašymu galima susipažinti nuo 2024-04-05 iki 2024-04-18 Lietuvos Respublikos teritorijų planavimo dokumentų rengimo ir teritorijų planavimo proceso valstybės priežiūros informacinėje svetainėje (TPDRIS.lt) ir Vilniaus rajono savivaldybės interneto svetainėje (vrsa.lt). Pasiūlymus dėl pagrindinės žemės naudojimo paskirties ir žemės naudojimo būdo keitimo galima teikti iki 2024-04-18 Vilniaus rajono savivaldybės administracijai (Rinktinės g. 50, Vilnius) raštu ir Lietuvos Respublikos teritorijų planavimo dokumentų rengimo ir teritorijų planavimo proceso valstybinės priežiūros informacinėje sistemoje.

Ištrauka iš Kraštovaizdžio spec. plano

Prašymas

2024-04-05

 

 

Informuojame apie pateiktą nagrinėti prašymą dėl žemės sklypo (kad. Nr. 4154/2600:166), esančio Vilniaus r. sav., Marijampolio sen., Parudaminio k., Vilniaus g. 2A, (toliau – Žemės sklypas) žemės naudojimo būdo nustatymo. Prašymo tikslas: nustatyti 0,1500 ha ploto kitos paskirties Žemės sklypo naudojimo būdą – Susisiekimo ir inžinerinių komunikacijų aptarnavimo objektų teritorijos. Su prašymu galima susipažinti nuo 2024-04-05 iki 2024-04-18 Lietuvos Respublikos teritorijų planavimo dokumentų rengimo ir teritorijų planavimo proceso valstybės priežiūros informacinėje svetainėje (TPDRIS.lt) ir Vilniaus rajono savivaldybės interneto svetainėje (vrsa.lt). Pasiūlymus dėl pagrindinės žemės naudojimo paskirties ir žemės naudojimo būdo keitimo galima teikti iki 2024-04-18 Vilniaus rajono savivaldybės administracijai (Rinktinės g. 50, Vilnius) raštu ir Lietuvos Respublikos teritorijų planavimo dokumentų rengimo ir teritorijų planavimo proceso valstybinės priežiūros informacinėje sistemoje.

Ištrauka iš Kraštovaizdžio spec. plano

Prašymas

2024-04-05

Informuojame apie pateiktą nagrinėti prašymą dėl žemės sklypo (kad. Nr. 4152/0200:653), esančio Vilniaus r. sav., Mickūnų sen., Gailiūnų k., (toliau – Žemės sklypas) žpagrindinės žemės naudojimo paskirties ir žemės naudojimo būdo keitimą. Prašymo tikslas: nustatyti 0,1200 ha ploto žemės ūkio paskirties Žemės sklypo pagrindinės žemės naudojimo paskirties ir žemės naudojimo būdo keitimas į kitos – vienbučių ir dvibučių gyvenamųjų pastatų teritorijos. Su prašymu galima susipažinti nuo 2024-04-05 iki 2024-04-18 Lietuvos Respublikos teritorijų planavimo dokumentų rengimo ir teritorijų planavimo proceso valstybės priežiūros informacinėje svetainėje (TPDRIS.lt) ir Vilniaus rajono savivaldybės interneto svetainėje (vrsa.lt). Pasiūlymus dėl pagrindinės žemės naudojimo paskirties ir žemės naudojimo būdo keitimo galima teikti iki 2024-04-18 Vilniaus rajono savivaldybės administracijai (Rinktinės g. 50, Vilnius) raštu ir Lietuvos Respublikos teritorijų planavimo dokumentų rengimo ir teritorijų planavimo proceso valstybinės priežiūros informacinėje sistemoje.

Ištrauka iš Kraštovaizdžio spec. plano

Prašymas

2024-04-05

Informuojame apie pateiktą nagrinėti prašymą dėl žemės sklypo (kad. Nr. 4170/0700:24), esančio Vilniaus r. sav., Riešės sen., Pranciškonių vs., (toliau – Žemės sklypas) pagrindinės žemės naudojimo paskirties ir žemės naudojimo būdo keitimą. Prašymo tikslas: nustatyti 0,5200 ha ploto žemės ūkio paskirties Žemės sklypo pagrindinės žemės naudojimo paskirties ir žemės naudojimo būdo keitimas į kitos – rekreacinės paskirties objektų teritorijos. Su prašymu galima susipažinti nuo 2024-04-05 iki 2024-04-18 Lietuvos Respublikos teritorijų planavimo dokumentų rengimo ir teritorijų planavimo proceso valstybės priežiūros informacinėje svetainėje (TPDRIS.lt) ir Vilniaus rajono savivaldybės interneto svetainėje (vrsa.lt). Pasiūlymus dėl pagrindinės žemės naudojimo paskirties ir žemės naudojimo būdo keitimo galima teikti iki 2024-04-18 Vilniaus rajono savivaldybės administracijai (Rinktinės g. 50, Vilnius) raštu ir Lietuvos Respublikos teritorijų planavimo dokumentų rengimo ir teritorijų planavimo proceso valstybinės priežiūros informacinėje sistemoje.

Ištrauka iš Kraštovaizdžio spec. plano  

Prašymas 2024-04-05

 

 

 

 

Priimtas sprendimas dėl žemės sklypo (kad. Nr. 4174/0200:664), esančio Vilniaus r. sav., Avižienių sen., Užubalių k., Senajame Ukmergės kel. 5, pagrindinės žemės naudojimo paskirties ir žemės naudojimo būdo keitimo.

Sprendimas

2024-04-04

 

Priimtas sprendimas dėl žemės sklypo (kad. Nr. 4162/0400:679), esančio Vilniaus r. sav., Nemėžio sen., Talkotiškių k., pagrindinės žemės naudojimo paskirties ir žemės naudojimo būdo keitimo.

Sprendimas

2024-04-04

Priimtas sprendimas dėl žemės sklypo (kad. Nr. 4162/0400:1018), esančio Vilniaus r. sav., Nemėžio sen.,Daržininkų k., pagrindinės žemės naudojimo paskirties ir žemės naudojimo būdo keitimo.

Sprendimas

2024-04-03

 

Priimtas sprendimas dėl žemės sklypo (kad. Nr. 4162/0200:2090), esančio Vilniaus r. sav., Nemėžio sen., Didžiasalio k., Filaretų g. 13,   žemės naudojimo būdo keitimo.

Sprendimas 

 

 

Informuojame apie pateiktą nagrinėti prašymą dėl žemės sklypo (kad. Nr. 4162/0200:1395), esančio Vilniaus r. sav., Nemėžio sen., Pakalniškių k., (toliau – Žemės sklypas) pagrindinės žemės naudojimo paskirties ir žemės naudojimo būdo keitimą. Prašymo tikslas: 0,1846 ha ploto žemės ūkio paskirties Žemės sklypo pagrindinės žemės naudojimo paskirties ir žemės naudojimo būdo keitimas į kitos – vienbučių ir dvibučių gyvenamųjų pastatų teritorijos. Su prašymu galima susipažinti nuo 2024-03-28 iki 2024-04-11 Lietuvos Respublikos teritorijų planavimo dokumentų rengimo ir teritorijų planavimo proceso valstybės priežiūros informacinėje svetainėje (TPDRIS.lt) ir Vilniaus rajono savivaldybės interneto svetainėje (vrsa.lt). Pasiūlymus dėl pagrindinės žemės naudojimo paskirties ir žemės naudojimo būdo keitimo galima teikti iki 2024-04-11 Vilniaus rajono savivaldybės administracijai (Rinktinės g. 50, Vilnius) raštu ir Lietuvos Respublikos teritorijų planavimo dokumentų rengimo ir teritorijų planavimo proceso valstybinės priežiūros informacinėje sistemoje.

Ištrauka iš Vilniaus rajono savivaldybės teritorijos dalies („U" žemės naudojimo funkcinės zonos Avižienių, Juodšilių, Nemėžio, Pagirių, Riešės, Rudaminos ir Zujūnų seniūnijose) bendrojo plano

Prašymas

204-03-28

 

 

Informuojame apie pateiktą nagrinėti prašymą dėl žemės sklypo (kad. Nr. 4174/0300:17), esančio Vilniaus r. sav., Avižienių sen., Galinės k., Kalno g. 92, (toliau – Žemės sklypas) žemės naudojimo būdo nustatymo. Prašymo tikslas: nustatyti 1,4505 ha ploto kitos paskirties Žemės sklypo naudojimo būdą – komercinės paskirties objektų teritorijos. Su prašymu galima susipažinti nuo 2024-03-28 iki 2024-04-11 Lietuvos Respublikos teritorijų planavimo dokumentų rengimo ir teritorijų planavimo proceso valstybės priežiūros informacinėje svetainėje (TPDRIS.lt) ir Vilniaus rajono savivaldybės interneto svetainėje (vrsa.lt). Pasiūlymus dėl pagrindinės žemės naudojimo paskirties ir žemės naudojimo būdo keitimo galima teikti iki 2024-04-11 Vilniaus rajono savivaldybės administracijai (Rinktinės g. 50, Vilnius) raštu ir Lietuvos Respublikos teritorijų planavimo dokumentų rengimo ir teritorijų planavimo proceso valstybinės priežiūros informacinėje sistemoje.

Ištrauka iš Kraštovaizdžio spec. plano

Prašymas

2024-03-28

 

Informuojame apie pateiktą nagrinėti prašymą dėl žemės sklypo (kad. Nr. 4130/0300:635), esančio Vilniaus r. sav., Dūkštų sen., Geisiškių k., (toliau – Žemės sklypas) pagrindinės žemės naudojimo paskirties ir žemės naudojimo būdo keitimą. Prašymo tikslas: 0,1830 ha ploto žemės ūkio paskirties Žemės sklypo pagrindinės žemės naudojimo paskirties ir žemės naudojimo būdo keitimas į kitos – vienbučių ir dvibučių gyvenamųjų pastatų teritorijos. Su prašymu galima susipažinti nuo 2024-03-28 iki 2024-04-11 Lietuvos Respublikos teritorijų planavimo dokumentų rengimo ir teritorijų planavimo proceso valstybės priežiūros informacinėje svetainėje (TPDRIS.lt) ir Vilniaus rajono savivaldybės interneto svetainėje (vrsa.lt). Pasiūlymus dėl pagrindinės žemės naudojimo paskirties ir žemės naudojimo būdo keitimo galima teikti iki 2024-04-11 Vilniaus rajono savivaldybės administracijai (Rinktinės g. 50, Vilnius) raštu ir Lietuvos Respublikos teritorijų planavimo dokumentų rengimo ir teritorijų planavimo proceso valstybinės priežiūros informacinėje sistemoje.

Ištrauka iš Kraštovaizdžio spec. plano

Prašymas

2024-03-28

 

Informuojame apie pateiktą nagrinėti prašymą dėl žemės sklypo (kad. Nr. 4174/0200:8572), esančio Vilniaus r. sav., Avižienių sen., Bendorių k., Draugų g. 17, (toliau – Žemės sklypas)  žemės naudojimo būdo keitimą. Prašymo tikslas: 0,1580 ha ploto kitos paskirties Žemės sklypo žemės naudojimo būdo keitimas į kitos – komercinės paskirties objektų teritorijos. Su prašymu galima susipažinti nuo 2024-03-26 iki 2024-04-09 Lietuvos Respublikos teritorijų planavimo dokumentų rengimo ir teritorijų planavimo proceso valstybės priežiūros informacinėje svetainėje (TPDRIS.lt) ir Vilniaus rajono savivaldybės interneto svetainėje (vrsa.lt). Pasiūlymus dėl pagrindinės žemės naudojimo paskirties ir žemės naudojimo būdo keitimo galima teikti iki 2024-04-09 Vilniaus rajono savivaldybės administracijai (Rinktinės g. 50, Vilnius) raštu ir Lietuvos Respublikos teritorijų planavimo dokumentų rengimo ir teritorijų planavimo proceso valstybinės priežiūros informacinėje sistemoje.

Ištrauka iš Vilniaus rajono savivaldybės teritorijos dalies („U" žemės naudojimo funkcinės zonos Avižienių, Juodšilių, Nemėžio, Pagirių, Riešės, Rudaminos ir Zujūnų seniūnijose) bendrojo plano

Prašymas

2024-03-26

 

 

Informuojame apie pateiktą nagrinėti prašymą dėl žemės sklypo (kad. Nr. 4170/0600:72), esančio Vilniaus r. sav., Riešės sen., Pranciškonių vs., (toliau – Žemės sklypas) pagrindinės žemės naudojimo paskirties ir žemės naudojimo būdo keitimą. Prašymo tikslas: 1,52600 ha ploto žemės ūkio paskirties Žemės sklypo pagrindinės žemės naudojimo paskirties ir žemės naudojimo būdo keitimas į kitos – komercinės paskirties objektų teritorijos/Susisiekimo ir inžinerinių komunikacijų aptarnavimo objektų teritorijos. Su prašymu galima susipažinti nuo 2024-03-26 iki 2024-04-09 Lietuvos Respublikos teritorijų planavimo dokumentų rengimo ir teritorijų planavimo proceso valstybės priežiūros informacinėje svetainėje (TPDRIS.lt) ir Vilniaus rajono savivaldybės interneto svetainėje (vrsa.lt). Pasiūlymus dėl pagrindinės žemės naudojimo paskirties ir žemės naudojimo būdo keitimo galima teikti iki 2024-04-09 Vilniaus rajono savivaldybės administracijai (Rinktinės g. 50, Vilnius) raštu ir Lietuvos Respublikos teritorijų planavimo dokumentų rengimo ir teritorijų planavimo proceso valstybinės priežiūros informacinėje sistemoje.

Ištrauka iš Kraštovaizdžio spec. plano

Prašymas

2024-03-26

  •  

 

 

Informuojame apie pateiktą nagrinėti prašymą dėl žemės sklypo (kad. Nr. 4162/0400:1778), esančio Vilniaus r. sav., Nemėžio sen., Skaidiškių k., (toliau – Žemės sklypas) pagrindinės žemės naudojimo paskirties ir žemės naudojimo būdo keitimą. Prašymo tikslas: 0,5425 ha ploto žemės ūkio paskirties Žemės sklypo pagrindinės žemės naudojimo paskirties ir žemės naudojimo būdo keitimas į kitos – vienbučių ir dvibučių gyvenamųjų pastatų teritorijos. Su prašymu galima susipažinti nuo 2024-03-26 iki 2024-04-09 Lietuvos Respublikos teritorijų planavimo dokumentų rengimo ir teritorijų planavimo proceso valstybės priežiūros informacinėje svetainėje (TPDRIS.lt) ir Vilniaus rajono savivaldybės interneto svetainėje (vrsa.lt). Pasiūlymus dėl pagrindinės žemės naudojimo paskirties ir žemės naudojimo būdo keitimo galima teikti iki 2024-04-09 Vilniaus rajono savivaldybės administracijai (Rinktinės g. 50, Vilnius) raštu ir Lietuvos Respublikos teritorijų planavimo dokumentų rengimo ir teritorijų planavimo proceso valstybinės priežiūros informacinėje sistemoje.

Ištrauka iš Vilniaus rajono savivaldybės teritorijos dalies („U" žemės naudojimo funkcinės zonos Avižienių, Juodšilių, Nemėžio, Pagirių, Riešės, Rudaminos ir Zujūnų seniūnijose) bendrojo plano

Prašymas

2024-03-26

 

Informuojame apie pateiktą nagrinėti prašymą dėl žemės sklypo (kad. Nr. 4162/0400:1779), esančio Vilniaus r. sav., Nemėžio sen., Skaidiškių k., (toliau – Žemės sklypas) pagrindinės žemės naudojimo paskirties ir žemės naudojimo būdo keitimą. Prašymo tikslas: 0,5425 ha ploto žemės ūkio paskirties Žemės sklypo pagrindinės žemės naudojimo paskirties ir žemės naudojimo būdo keitimas į kitos – vienbučių ir dvibučių gyvenamųjų pastatų teritorijos. Su prašymu galima susipažinti nuo 2024-03-26 iki 2024-04-09 Lietuvos Respublikos teritorijų planavimo dokumentų rengimo ir teritorijų planavimo proceso valstybės priežiūros informacinėje svetainėje (TPDRIS.lt) ir Vilniaus rajono savivaldybės interneto svetainėje (vrsa.lt). Pasiūlymus dėl pagrindinės žemės naudojimo paskirties ir žemės naudojimo būdo keitimo galima teikti iki 2024-04-09 Vilniaus rajono savivaldybės administracijai (Rinktinės g. 50, Vilnius) raštu ir Lietuvos Respublikos teritorijų planavimo dokumentų rengimo ir teritorijų planavimo proceso valstybinės priežiūros informacinėje sistemoje.

Ištrauka iš Vilniaus rajono savivaldybės teritorijos dalies („U" žemės naudojimo funkcinės zonos Avižienių, Juodšilių, Nemėžio, Pagirių, Riešės, Rudaminos ir Zujūnų seniūnijose) bendrojo plano

Prašymas

 2024-03-26

 

 

Informuojame apie pateiktą nagrinėti prašymą dėl žemės sklypo (kad. Nr. 4162/0400:1780), esančio Vilniaus r. sav., Nemėžio sen., Skaidiškių k., (toliau – Žemės sklypas) pagrindinės žemės naudojimo paskirties ir žemės naudojimo būdo keitimą. Prašymo tikslas: 0,5425 ha ploto žemės ūkio paskirties Žemės sklypo pagrindinės žemės naudojimo paskirties ir žemės naudojimo būdo keitimas į kitos – vienbučių ir dvibučių gyvenamųjų pastatų teritorijos. Su prašymu galima susipažinti nuo 2024-03-26 iki 2024-04-09 Lietuvos Respublikos teritorijų planavimo dokumentų rengimo ir teritorijų planavimo proceso valstybės priežiūros informacinėje svetainėje (TPDRIS.lt) ir Vilniaus rajono savivaldybės interneto svetainėje (vrsa.lt). Pasiūlymus dėl pagrindinės žemės naudojimo paskirties ir žemės naudojimo būdo keitimo galima teikti iki 2024-04-09 Vilniaus rajono savivaldybės administracijai (Rinktinės g. 50, Vilnius) raštu ir Lietuvos Respublikos teritorijų planavimo dokumentų rengimo ir teritorijų planavimo proceso valstybinės priežiūros informacinėje sistemoje.

 

Ištrauka iš Vilniaus rajono savivaldybės teritorijos dalies („U" žemės naudojimo funkcinės zonos Avižienių, Juodšilių, Nemėžio, Pagirių, Riešės, Rudaminos ir Zujūnų seniūnijose) bendrojo plano

Prašymas


 

2024-03-26

 

  •  

Informuojame apie pateiktą nagrinėti prašymą dėl žemės sklypo (kad. Nr. 4162/0400:1777), esančio Vilniaus r. sav., Nemėžio sen., Skaidiškių k., (toliau – Žemės sklypas) pagrindinės žemės naudojimo paskirties ir žemės naudojimo būdo keitimą. Prašymo tikslas: 0,5425 ha ploto žemės ūkio paskirties Žemės sklypo pagrindinės žemės naudojimo paskirties ir žemės naudojimo būdo keitimas į kitos – vienbučių ir dvibučių gyvenamųjų pastatų teritorijos. Su prašymu galima susipažinti nuo 2024-03-26 iki 2024-04-09 Lietuvos Respublikos teritorijų planavimo dokumentų rengimo ir teritorijų planavimo proceso valstybės priežiūros informacinėje svetainėje (TPDRIS.lt) ir Vilniaus rajono savivaldybės interneto svetainėje (vrsa.lt). Pasiūlymus dėl pagrindinės žemės naudojimo paskirties ir žemės naudojimo būdo keitimo galima teikti iki 2024-04-09 Vilniaus rajono savivaldybės administracijai (Rinktinės g. 50, Vilnius) raštu ir Lietuvos Respublikos teritorijų planavimo dokumentų rengimo ir teritorijų planavimo proceso valstybinės priežiūros informacinėje sistemoje.

  •  

Ištrauka iš Vilniaus rajono savivaldybės teritorijos dalies („U" žemės naudojimo funkcinės zonos Avižienių, Juodšilių, Nemėžio, Pagirių, Riešės, Rudaminos ir Zujūnų seniūnijose) bendrojo plano

Prašymas

  • 2024-03-26

 

Informuojame apie pateiktą nagrinėti prašymą dėl žemės sklypo (kad. Nr. 4174/0200:8205), esančio Vilniaus r. sav., Avižienių sen., Bendorių k., Žirgyno g. 5, (toliau – Žemės sklypas) pagrindinės žemės naudojimo paskirties ir žemės naudojimo būdo keitimą. Prašymo tikslas: 0,7000 ha ploto žemės ūkio paskirties Žemės sklypo pagrindinės žemės naudojimo paskirties ir žemės naudojimo būdo keitimas į kitos – komercinės paskirties objektų teritorijos. Su prašymu galima susipažinti nuo 2024-03-26 iki 2024-04-09 Lietuvos Respublikos teritorijų planavimo dokumentų rengimo ir teritorijų planavimo proceso valstybės priežiūros informacinėje svetainėje (TPDRIS.lt) ir Vilniaus rajono savivaldybės interneto svetainėje (vrsa.lt). Pasiūlymus dėl pagrindinės žemės naudojimo paskirties ir žemės naudojimo būdo keitimo galima teikti iki 2024-04-09 Vilniaus rajono savivaldybės administracijai (Rinktinės g. 50, Vilnius) raštu ir Lietuvos Respublikos teritorijų planavimo dokumentų rengimo ir teritorijų planavimo proceso valstybinės priežiūros informacinėje sistemoje.

  •  

Ištrauka iš Vilniaus rajono savivaldybės teritorijos dalies („U" žemės naudojimo funkcinės zonos Avižienių, Juodšilių, Nemėžio, Pagirių, Riešės, Rudaminos ir Zujūnų seniūnijose) bendrojo plano 

Prašymas

2024-03-26 

 

Informuojame apie pateiktą nagrinėti prašymą dėl žemės sklypo (kad. Nr. 4103/0100:432), esančio Vilniaus r. sav., Avižienių sen., Pikutiškių k., (toliau – Žemės sklypas) pagrindinės žemės naudojimo paskirties ir žemės naudojimo būdo keitimą. Prašymo tikslas: 0,7380 ha ploto žemės ūkio paskirties Žemės sklypo pagrindinės žemės naudojimo paskirties ir žemės naudojimo būdo keitimas į kitos – vienbučių ir dvibučių gyvenamųjų pastatų teritorijos. Su prašymu galima susipažinti nuo 2024-03-26 iki 2024-04-09 Lietuvos Respublikos teritorijų planavimo dokumentų rengimo ir teritorijų planavimo proceso valstybės priežiūros informacinėje svetainėje (TPDRIS.lt) ir Vilniaus rajono savivaldybės interneto svetainėje (vrsa.lt). Pasiūlymus dėl pagrindinės žemės naudojimo paskirties ir žemės naudojimo būdo keitimo galima teikti iki 2024-04-09 Vilniaus rajono savivaldybės administracijai (Rinktinės g. 50, Vilnius) raštu ir Lietuvos Respublikos teritorijų planavimo dokumentų rengimo ir teritorijų planavimo proceso valstybinės priežiūros informacinėje sistemoje.

Ištrauka iš Kraštovaizdžio spec. plano

Prašymas

 2024-03-26

 

 

Informuojame apie pateiktą nagrinėti prašymą dėl žemės sklypo (kad. Nr. 4154/2600:1246), esančio Vilniaus r. sav., Marijampolio sen., Parudaminio k., Mokyklos g. 1A, (toliau – Žemės sklypas) pagrindinės žemės naudojimo paskirties ir žemės naudojimo būdo keitimą. Prašymo tikslas: 0,1803 ha ploto kitos paskirties Žemės sklypo  žemės naudojimo būdo keitimas į daugiabučių gyvenamųjų pastatų ir bendrabučių teritorijos. Su prašymu galima susipažinti nuo 2024-03-12 iki 2024-03-25 Lietuvos Respublikos teritorijų planavimo dokumentų rengimo ir teritorijų planavimo proceso valstybės priežiūros informacinėje svetainėje (TPDRIS.lt) ir Vilniaus rajono savivaldybės interneto svetainėje (vrsa.lt). Pasiūlymus dėl pagrindinės žemės naudojimo paskirties ir žemės naudojimo būdo keitimo galima teikti iki 2024-03-25 Vilniaus rajono savivaldybės administracijai (Rinktinės g. 50, Vilnius) raštu ir Lietuvos Respublikos teritorijų planavimo dokumentų rengimo ir teritorijų planavimo proceso valstybinės priežiūros informacinėje sistemoje.

 

Ištrauka iš Kraštovaizdžio spec. plano

Prašymas

2024-03-11

 

 

Informuojame apie pateiktą nagrinėti prašymą dėl žemės sklypo (kad. Nr. 4162/0200:2089), esančio Vilniaus r. sav., Nemėžio sen., Didžiasalio k., (toliau – Žemės sklypas) pagrindinės žemės naudojimo paskirties ir žemės naudojimo būdo keitimą. Prašymo tikslas: 0,0875 ha ploto žemės ūkio paskirties Žemės sklypo žemės naudojimo būdo keitimas į kitos -  komercinės paskirties objektų teritorijos teritorijos. Su prašymu galima susipažinti nuo 2024-03-12 iki 2024-03-25 Lietuvos Respublikos teritorijų planavimo dokumentų rengimo ir teritorijų planavimo proceso valstybės priežiūros informacinėje svetainėje (TPDRIS.lt) ir Vilniaus rajono savivaldybės interneto svetainėje (vrsa.lt). Pasiūlymus dėl pagrindinės žemės naudojimo paskirties ir žemės naudojimo būdo keitimo galima teikti iki 2024-03-25 Vilniaus rajono savivaldybės administracijai (Rinktinės g. 50, Vilnius) raštu ir Lietuvos Respublikos teritorijų planavimo dokumentų rengimo ir teritorijų planavimo proceso valstybinės priežiūros informacinėje sistemoje.

 

Ištrauka iš Vilniaus rajono savivaldybės teritorijos dalies („U" žemės naudojimo funkcinės zonos Avižienių, Juodšilių, Nemėžio, Pagirių, Riešės, Rudaminos ir Zujūnų seniūnijose) bendrojo plano

 

Prašymas

 

2024-03-11

 

 

 

Informuojame apie pateiktą nagrinėti prašymą dėl žemės sklypo (kad. Nr. 4162/0200:2090), esančio Vilniaus r. sav., Nemėžio sen., Didžiasalio k., Filaretų g. 13, (toliau – Žemės sklypas) pagrindinės žemės naudojimo paskirties ir žemės naudojimo būdo keitimą. Prašymo tikslas: 0,1825 ha ploto kitos paskirties Žemės sklypo žemės naudojimo būdo keitimas į kitos -  komercinės paskirties objektų teritorijos. Su prašymu galima susipažinti nuo 2024-03-12 iki 2024-03-25 Lietuvos Respublikos teritorijų planavimo dokumentų rengimo ir teritorijų planavimo proceso valstybės priežiūros informacinėje svetainėje (TPDRIS.lt) ir Vilniaus rajono savivaldybės interneto svetainėje (vrsa.lt). Pasiūlymus dėl pagrindinės žemės naudojimo paskirties ir žemės naudojimo būdo keitimo galima teikti iki 2024-03-25 Vilniaus rajono savivaldybės administracijai (Rinktinės g. 50, Vilnius) raštu ir Lietuvos Respublikos teritorijų planavimo dokumentų rengimo ir teritorijų planavimo proceso valstybinės priežiūros informacinėje sistemoje.

 

Ištrauka iš Vilniaus rajono savivaldybės teritorijos dalies („U" žemės naudojimo funkcinės zonos Avižienių, Juodšilių, Nemėžio, Pagirių, Riešės, Rudaminos ir Zujūnų seniūnijose) bendrojo plano

 

Prašymas

 

2024-03-11

 

 

Informuojame apie pateiktą nagrinėti prašymą dėl žemės sklypo (kad. Nr. 4167/0300:97), esančio Vilniaus r. sav., Pagirių sen., Keturiasdešimt Totorių k., (toliau – Žemės sklypas) pagrindinės žemės naudojimo paskirties ir žemės naudojimo būdo keitimą. Prašymo tikslas: 0,6687 ha ploto žemės ūkio paskirties Žemės sklypo pagrindinės žemės naudojimo paskirties ir žemės naudojimo būdo keitimas į kitos - vienbučių ir dvibučių gyvenamųjų pastatų teritorijos. Su prašymu galima susipažinti nuo 2024-03-12 iki 2024-03-25 Lietuvos Respublikos teritorijų planavimo dokumentų rengimo ir teritorijų planavimo proceso valstybės priežiūros informacinėje svetainėje (TPDRIS.lt) ir Vilniaus rajono savivaldybės interneto svetainėje (vrsa.lt). Pasiūlymus dėl pagrindinės žemės naudojimo paskirties ir žemės naudojimo būdo keitimo galima teikti iki 2024-03-25 Vilniaus rajono savivaldybės administracijai (Rinktinės g. 50, Vilnius) raštu ir Lietuvos Respublikos teritorijų planavimo dokumentų rengimo ir teritorijų planavimo proceso valstybinės priežiūros informacinėje sistemoje.

 

Ištrauka iš Kraštovaizdžio spec. plano

Prašymas

2024-03-11

 

 

 

Informuojame apie pateiktą nagrinėti prašymą dėl žemės sklypų (kad. Nr. 4174/0200:3161, 4174/0200:2688, 4174/0200:8796), esančių Vilniaus r. sav., Avižienių sen., Bendorių k., (toliau – Žemės sklypas) pagrindinės žemės naudojimo paskirties ir žemės naudojimo būdo keitimą. Prašymo tikslas: 0,1500 ha, 0,1500 ha, 0,1500 ha plotų žemės ūkio paskirties Žemės sklypų žemės naudojimo būdo keitimas į kitos -  vienbučių ir dvibučių gyvenamųjų pastatų teritorijos. Su prašymu galima susipažinti nuo 2024-03-12 iki 2024-03-25 Lietuvos Respublikos teritorijų planavimo dokumentų rengimo ir teritorijų planavimo proceso valstybės priežiūros informacinėje svetainėje (TPDRIS.lt) ir Vilniaus rajono savivaldybės interneto svetainėje (vrsa.lt). Pasiūlymus dėl pagrindinės žemės naudojimo paskirties ir žemės naudojimo būdo keitimo galima teikti iki 2024-03-25 Vilniaus rajono savivaldybės administracijai (Rinktinės g. 50, Vilnius) raštu ir Lietuvos Respublikos teritorijų planavimo dokumentų rengimo ir teritorijų planavimo proceso valstybinės priežiūros informacinėje sistemoje.

 

Ištrauka iš Vilniaus rajono savivaldybės teritorijos dalies („U" žemės naudojimo funkcinės zonos Avižienių, Juodšilių, Nemėžio, Pagirių, Riešės, Rudaminos ir Zujūnų seniūnijose) bendrojo plano

 

Prašymas

 

2024-03-11

 

 

Informuojame apie pateiktą nagrinėti prašymą dėl žemės sklypo (kad. Nr. 4110/0700:1228), esančio Vilniaus r. sav., Zujūnų sen., Geležių k., (toliau – Žemės sklypas) pagrindinės žemės naudojimo paskirties ir žemės naudojimo būdo keitimą. Prašymo tikslas: 0,4367 ha ploto žemės ūkio paskirties Žemės sklypo žemės naudojimo būdo keitimas į kitos -  vienbučių ir dvibučių gyvenamųjų pastatų teritorijos. Su prašymu galima susipažinti nuo 2024-03-07 iki 2024-03-21 Lietuvos Respublikos teritorijų planavimo dokumentų rengimo ir teritorijų planavimo proceso valstybės priežiūros informacinėje svetainėje (TPDRIS.lt) ir Vilniaus rajono savivaldybės interneto svetainėje (vrsa.lt). Pasiūlymus dėl pagrindinės žemės naudojimo paskirties ir žemės naudojimo būdo keitimo galima teikti iki 2024-03-21 Vilniaus rajono savivaldybės administracijai (Rinktinės g. 50, Vilnius) raštu ir Lietuvos Respublikos teritorijų planavimo dokumentų rengimo ir teritorijų planavimo proceso valstybinės priežiūros informacinėje sistemoje.

 

Ištrauka iš Vilniaus rajono savivaldybės teritorijos dalies („U" žemės naudojimo funkcinės zonos Avižienių, Juodšilių, Nemėžio, Pagirių, Riešės, Rudaminos ir Zujūnų seniūnijose) bendrojo plano

 

Prašymas

 

2024-03-07

 

 

Informuojame apie pateiktą nagrinėti prašymą dėl žemės sklypo (kad. Nr. 4110/0700:4996), esančio Vilniaus r. sav., Zujūnų sen., Zujūnų k., (toliau – Žemės sklypas) pagrindinės žemės naudojimo paskirties ir žemės naudojimo būdo keitimą. Prašymo tikslas: 1,5000 ha ploto kitos paskirties Žemės sklypo žemės naudojimo būdo keitimas į kitos -  vienbučių ir dvibučių gyvenamųjų pastatų teritorijos. Su prašymu galima susipažinti nuo 2024-03-07 iki 2024-03-21 Lietuvos Respublikos teritorijų planavimo dokumentų rengimo ir teritorijų planavimo proceso valstybės priežiūros informacinėje svetainėje (TPDRIS.lt) ir Vilniaus rajono savivaldybės interneto svetainėje (vrsa.lt). Pasiūlymus dėl pagrindinės žemės naudojimo paskirties ir žemės naudojimo būdo keitimo galima teikti iki 2024-03-21 Vilniaus rajono savivaldybės administracijai (Rinktinės g. 50, Vilnius) raštu ir Lietuvos Respublikos teritorijų planavimo dokumentų rengimo ir teritorijų planavimo proceso valstybinės priežiūros informacinėje sistemoje.

 

Ištrauka iš Vilniaus rajono savivaldybės teritorijos dalies („U" žemės naudojimo funkcinės zonos Avižienių, Juodšilių, Nemėžio, Pagirių, Riešės, Rudaminos ir Zujūnų seniūnijose) bendrojo plano

 

Prašymas

 

2024-03-07

 

 

Informuojame apie pateiktą nagrinėti prašymą dėl žemės sklypo (kad. Nr. 4107/0600:661), esančio Vilniaus r. sav., Bezdonių sen., Sakiškių k., Pušų al. 38, (toliau – Žemės sklypas) pagrindinės žemės naudojimo paskirties ir žemės naudojimo būdo keitimą. Prašymo tikslas: 0,3185 ha ploto žemės ūkio paskirties Žemės sklypo pagrindinės žemės naudojimo paskirties ir žemės naudojimo būdo keitimas į kitos - vienbučių ir dvibučių gyvenamųjų pastatų teritorijos. Su prašymu galima susipažinti nuo 2024-03-07 iki 2024-03-21 Lietuvos Respublikos teritorijų planavimo dokumentų rengimo ir teritorijų planavimo proceso valstybės priežiūros informacinėje svetainėje (TPDRIS.lt) ir Vilniaus rajono savivaldybės interneto svetainėje (vrsa.lt). Pasiūlymus dėl pagrindinės žemės naudojimo paskirties ir žemės naudojimo būdo keitimo galima teikti iki 2024-03-21 Vilniaus rajono savivaldybės administracijai (Rinktinės g. 50, Vilnius) raštu ir Lietuvos Respublikos teritorijų planavimo dokumentų rengimo ir teritorijų planavimo proceso valstybinės priežiūros informacinėje sistemoje.

 

Ištrauka iš Kraštovaizdžio spec. plano

Prašymas

2024-03-07

 

 

Informuojame apie pateiktą nagrinėti prašymą dėl žemės sklypo (kad. Nr. 4174/0200:664), esančio Vilniaus r. sav., Avižienių sen., Užubalių k., Senasis Ukmergės kel. 5, (toliau – Žemės sklypas) pagrindinės žemės naudojimo paskirties ir žemės naudojimo būdo keitimą. Prašymo tikslas: 0,3350 ha ploto kitos paskirties Žemės sklypo žemės naudojimo būdo keitimas į kitos -  komercinės paskirties objektų teritorijos. Su prašymu galima susipažinti nuo 2024-03-07 iki 2024-03-21 Lietuvos Respublikos teritorijų planavimo dokumentų rengimo ir teritorijų planavimo proceso valstybės priežiūros informacinėje svetainėje (TPDRIS.lt) ir Vilniaus rajono savivaldybės interneto svetainėje (vrsa.lt). Pasiūlymus dėl pagrindinės žemės naudojimo paskirties ir žemės naudojimo būdo keitimo galima teikti iki 2024-03-21 Vilniaus rajono savivaldybės administracijai (Rinktinės g. 50, Vilnius) raštu ir Lietuvos Respublikos teritorijų planavimo dokumentų rengimo ir teritorijų planavimo proceso valstybinės priežiūros informacinėje sistemoje.

 

Ištrauka iš Vilniaus rajono savivaldybės teritorijos dalies („U" žemės naudojimo funkcinės zonos Avižienių, Juodšilių, Nemėžio, Pagirių, Riešės, Rudaminos ir Zujūnų seniūnijose) bendrojo plano

 

Prašymas

 

2024-03-07

 

 

Informuojame apie pateiktą nagrinėti prašymą dėl žemės sklypo (kad. Nr. 4184/0500:471), esančio Vilniaus r. sav., Sudervės sen., Grikienių k., (toliau – Žemės sklypas) pagrindinės žemės naudojimo paskirties ir žemės naudojimo būdo keitimą. Prašymo tikslas: 0,0623 ha ploto kitos paskirties Žemės sklypo žemės naudojimo būdo keitimas į kitos - vienbučių ir dvibučių gyvenamųjų pastatų teritorijos. Su prašymu galima susipažinti nuo 2024-03-07 iki 2024-03-21 Lietuvos Respublikos teritorijų planavimo dokumentų rengimo ir teritorijų planavimo proceso valstybės priežiūros informacinėje svetainėje (TPDRIS.lt) ir Vilniaus rajono savivaldybės interneto svetainėje (vrsa.lt). Pasiūlymus dėl pagrindinės žemės naudojimo paskirties ir žemės naudojimo būdo keitimo galima teikti iki 2024-03-21 Vilniaus rajono savivaldybės administracijai (Rinktinės g. 50, Vilnius) raštu ir Lietuvos Respublikos teritorijų planavimo dokumentų rengimo ir teritorijų planavimo proceso valstybinės priežiūros informacinėje sistemoje.

 

Ištrauka iš Vilniaus rajono savivaldybės administracijos Vilniaus rajono savivaldybės teritorijos dalies („ZRg" žemės naudojimo funkcinės zonos Sudervės seniūnijoje) bendrojo plano

 

Prašymas

 

2024-03-07